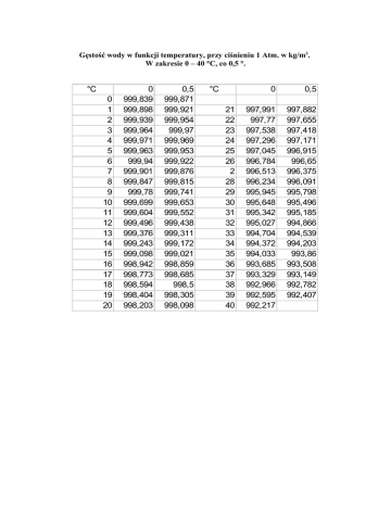
Gęstość wody w funkcji temperatury, przy ciśnieniu 1 Atm

Transkrypt

Gęstość wody w funkcji temperatury, przy ciśnieniu 1 Atm
Gęstość wody w funkcji temperatury, przy ciśnieniu 1 Atm. w kg/m3.
W zakresie 0 – 40 °C, co 0,5 °.
°C
0
1
2
3
4
5
6
7
8
9
10
11
12
13
14
15
16
17
18
19
20
0
999,839
999,898
999,939
999,964
999,971
999,963
999,94
999,901
999,847
999,78
999,699
999,604
999,496
999,376
999,243
999,098
998,942
998,773
998,594
998,404
998,203
0,5
999,871
999,921
999,954
999,97
999,969
999,953
999,922
999,876
999,815
999,741
999,653
999,552
999,438
999,311
999,172
999,021
998,859
998,685
998,5
998,305
998,098
°C
21
22
23
24
25
26
2
28
29
30
31
32
33
34
35
36
37
38
39
40
0
0,5
997,991
997,77
997,538
997,296
997,045
996,784
996,513
996,234
995,945
995,648
995,342
995,027
994,704
994,372
994,033
993,685
993,329
992,966
992,595
992,217
997,882
997,655
997,418
997,171
996,915
996,65
996,375
996,091
995,798
995,496
995,185
994,866
994,539
994,203
993,86
993,508
993,149
992,782
992,407