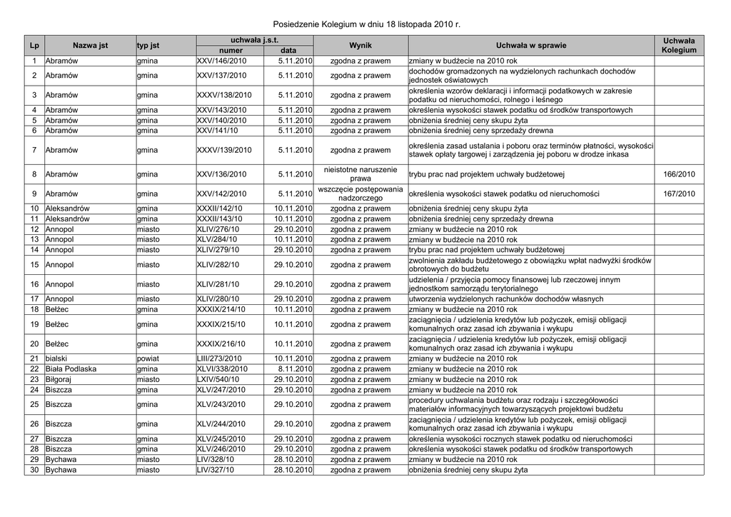
Posiedzenie Kolegium w dniu 18 listopada 2010 r.

Transkrypt

Posiedzenie Kolegium w dniu 18 listopada 2010 r.
Posiedzenie Kolegium w dniu 18 listopada 2010 r.
1
Abramów
gmina
uchwała j.s.t.
numer
data
XXV/146/2010
5.11.2010
2
Abramów
gmina
XXV/137/2010
5.11.2010
zgodna z prawem
3
Abramów
gmina
XXXV/138/2010
5.11.2010
zgodna z prawem
4
5
6
Abramów
Abramów
Abramów
gmina
gmina
gmina
XXV/143/2010
XXV/140/2010
XXV/141/10
5.11.2010
5.11.2010
5.11.2010
zgodna z prawem
zgodna z prawem
zgodna z prawem
7
Abramów
gmina
XXXV/139/2010
5.11.2010
zgodna z prawem
8
Abramów
gmina
XXV/136/2010
5.11.2010
9
Abramów
gmina
XXV/142/2010
5.11.2010
10
11
12
13
14
Aleksandrów
Aleksandrów
Annopol
Annopol
Annopol
gmina
gmina
miasto
miasto
miasto
XXXII/142/10
XXXII/143/10
XLIV/276/10
XLV/284/10
XLIV/279/10
10.11.2010
10.11.2010
29.10.2010
10.11.2010
29.10.2010
nieistotne naruszenie
prawa
wszczęcie postępowania
nadzorczego
zgodna z prawem
zgodna z prawem
zgodna z prawem
zgodna z prawem
zgodna z prawem
15 Annopol
miasto
XLIV/282/10
29.10.2010
zgodna z prawem
16 Annopol
miasto
XLIV/281/10
29.10.2010
zgodna z prawem
17 Annopol
18 Bełżec
miasto
gmina
XLIV/280/10
XXXIX/214/10
29.10.2010
10.11.2010
zgodna z prawem
zgodna z prawem
19 Bełżec
gmina
XXXIX/215/10
10.11.2010
zgodna z prawem
20 Bełżec
gmina
XXXIX/216/10
10.11.2010
zgodna z prawem
21
22
23
24
powiat
gmina
miasto
gmina
LIII/273/2010
XLVI/338/2010
LXIV/540/10
XLV/247/2010
10.11.2010
8.11.2010
29.10.2010
29.10.2010
zgodna z prawem
zgodna z prawem
zgodna z prawem
zgodna z prawem
25 Biszcza
gmina
XLV/243/2010
29.10.2010
zgodna z prawem
26 Biszcza
gmina
XLV/244/2010
29.10.2010
zgodna z prawem
27
28
29
30
gmina
gmina
miasto
miasto
XLV/245/2010
XLV/246/2010
LIV/328/10
LIV/327/10
29.10.2010
29.10.2010
28.10.2010
28.10.2010
zgodna z prawem
zgodna z prawem
zgodna z prawem
zgodna z prawem
Lp
Nazwa jst
bialski
Biała Podlaska
Biłgoraj
Biszcza
Biszcza
Biszcza
Bychawa
Bychawa
typ jst
Wynik
zgodna z prawem
Uchwała w sprawie
Uchwała
Kolegium
zmiany w budżecie na 2010 rok
dochodów gromadzonych na wydzielonych rachunkach dochodów
jednostek oświatowych
określenia wzorów deklaracji i informacji podatkowych w zakresie
podatku od nieruchomości, rolnego i leśnego
określenia wysokości stawek podatku od środków transportowych
obniżenia średniej ceny skupu żyta
obniżenia średniej ceny sprzedaży drewna
określenia zasad ustalania i poboru oraz terminów płatności, wysokości
stawek opłaty targowej i zarządzenia jej poboru w drodze inkasa
trybu prac nad projektem uchwały budżetowej
166/2010
określenia wysokości stawek podatku od nieruchomości
167/2010
obniżenia średniej ceny skupu żyta
obniżenia średniej ceny sprzedaży drewna
zmiany w budżecie na 2010 rok
zmiany w budżecie na 2010 rok
trybu prac nad projektem uchwały budżetowej
zwolnienia zakładu budżetowego z obowiązku wpłat nadwyżki środków
obrotowych do budżetu
udzielenia / przyjęcia pomocy finansowej lub rzeczowej innym
jednostkom samorządu terytorialnego
utworzenia wydzielonych rachunków dochodów własnych
zmiany w budżecie na 2010 rok
zaciągnięcia / udzielenia kredytów lub pożyczek, emisji obligacji
komunalnych oraz zasad ich zbywania i wykupu
zaciągnięcia / udzielenia kredytów lub pożyczek, emisji obligacji
komunalnych oraz zasad ich zbywania i wykupu
zmiany w budżecie na 2010 rok
zmiany w budżecie na 2010 rok
zmiany w budżecie na 2010 rok
zmiany w budżecie na 2010 rok
procedury uchwalania budżetu oraz rodzaju i szczegółowości
materiałów informacyjnych towarzyszących projektowi budżetu
zaciągnięcia / udzielenia kredytów lub pożyczek, emisji obligacji
komunalnych oraz zasad ich zbywania i wykupu
określenia wysokości rocznych stawek podatku od nieruchomości
określenia wysokości stawek podatku od środków transportowych
zmiany w budżecie na 2010 rok
obniżenia średniej ceny skupu żyta
Posiedzenie Kolegium w dniu 18 listopada 2010 r.
31 Chełm
32 Chełm
33 Chełm
gmina
gmina
gmina
LIV/428/2010
LIV/432/2010
LIV/433/2010
5.11.2010
5.11.2010
5.11.2010
zgodna z prawem
zgodna z prawem
zgodna z prawem
34 Chełm
gmina
LIV/434/2010
5.11.2010
zgodna z prawem
35
36
37
38
39
40
41
42
43
44
45
46
47
gmina
gmina
gmina
gmina
gmina
gmina
gmina
Zgromadzenie
miasto
miasto
miasto
gmina
gmina
LIV/430/2010
LIV/431/2010
LIV/429/2010
XXXII/247/10
XXXII/246/10
XXXII/244/10
XXXII/245/10
10/2010
LXXI/433/2010
LXXI/435/10
LXXI/434/10
XLIII/318/2010
LXI/239/10
5.11.2010
5.11.2010
5.11.2010
2.11.2010
2.11.2010
2.11.2010
2.11.2010
28.10.2010
10.11.2010
10.11.2010
10.11.2010
10.11.2010
4.11.2010
zgodna z prawem
zgodna z prawem
zgodna z prawem
zgodna z prawem
zgodna z prawem
zgodna z prawem
zgodna z prawem
zgodna z prawem
zgodna z prawem
zgodna z prawem
zgodna z prawem
zgodna z prawem
zgodna z prawem
48 Dorohusk
gmina
LXI/238/10
4.11.2010
zgodna z prawem
49 Dubienka
50 Dzierzkowice
51 Dzierzkowice
gmina
gmina
gmina
LIV/228/10
XL/225/2010
XL/226/2010
29.10.2010
22.10.2010
22.10.2010
zgodna z prawem
zgodna z prawem
zgodna z prawem
52 Dzierzkowice
gmina
XL/228/2010
22.10.2010
zgodna z prawem
53 Fajsławice
gmina
LI/208/10
29.10.2010
zgodna z prawem
54 Fajsławice
gmina
LI/204/10
29.10.2010
zgodna z prawem
55 Fajsławice
gmina
LI/205/10
29.10.2010
zgodna z prawem
56 Fajsławice
gmina
LI/206/10
29.10.2010
zgodna z prawem
57 Fajsławice
gmina
LI/211/2010
29.10.2010
zgodna z prawem
58
59
60
61
62
63
64
65
66
gmina
gmina
miasto
miasto
miasto
miasto
miasto
gmina
gmina
LI/210/2010
LI/209/2010
XLII/235/10
XLIII/239/10
XLIII/240/10
XLIII/237/10
XLIII/238/10
XXXIV/223/10
XXXIX/244/10
29.10.2010
29.10.2010
27.10.2010
10.11.2010
10.11.2010
10.11.2010
10.11.2010
3.11.2010
28.10.2010
zgodna z prawem
zgodna z prawem
zgodna z prawem
zgodna z prawem
zgodna z prawem
zgodna z prawem
zgodna z prawem
zgodna z prawem
zgodna z prawem
Chełm
Chełm
Chełm
Cyców
Cyców
Cyców
Cyców
CZG „Proekob”
Dęblin
Dęblin
Dęblin
Dołhobyczów
Dorohusk
Fajsławice
Fajsławice
Frampol
Frampol
Frampol
Frampol
Frampol
Garbów
Godziszów
zmiany w budżecie na 2010 rok
udzielenia poręczenia kredytu
udzielenia poręczenia kredytu
udzielenia / przyjęcia pomocy finansowej lub rzeczowej innym
jednostkom samorządu terytorialnego
określenia wysokości rocznych stawek podatku od nieruchomości
określenia wysokości stawek podatku od środków transportowych
obniżenia średniej ceny skupu żyta
zmiany w budżecie na 2010 rok
określenia wysokości rocznych stawek podatku od nieruchomości
określenia wysokości stawek podatku od środków transportowych
obniżenia średniej ceny skupu żyta
zmiany w budżecie na 2010 rok
zmiany w budżecie na 2010 rok
określenia wysokości rocznych stawek podatku od nieruchomości
określenia wysokości stawek podatku od środków transportowych
zmiany w budżecie na 2010 rok
zmiany w budżecie na 2010 rok
udzielenia / przyjęcia pomocy finansowej lub rzeczowej innym
jednostkom samorządu terytorialnego
zmiany w budżecie na 2010 rok
zmiany w budżecie na 2010 rok
utworzenia wydzielonych rachunków dochodów własnych
zasad udzielania dotacji na sfinansowanie prac konserwatorskich,
restauratorskich lub robót budowlanych przy obiekcie wpisanym do
rejestru zabytków
trybu prac nad projektem uchwały budżetowej
udzielenia / przyjęcia pomocy finansowej lub rzeczowej innym
jednostkom samorządu terytorialnego
udzielenia / przyjęcia pomocy finansowej lub rzeczowej innym
jednostkom samorządu terytorialnego
udzielenia / przyjęcia pomocy finansowej lub rzeczowej innym
jednostkom samorządu terytorialnego
określenia wzorów deklaracji i informacji podatkowych w zakresie
podatku od nieruchomości, rolnego i leśnego
obniżenia średniej ceny skupu żyta
obniżenia średniej ceny sprzedaży drewna
zmiany w budżecie na 2010 rok
określenia wysokości rocznych stawek podatku od nieruchomości
określenia wysokości stawek podatku od środków transportowych
obniżenia średniej ceny skupu żyta
obniżenia średniej ceny sprzedaży drewna
obniżenia średniej ceny skupu żyta
obniżenia średniej ceny skupu żyta
Posiedzenie Kolegium w dniu 18 listopada 2010 r.
67 Goraj
68 Goraj
gmina
gmina
LIII/281/10
LIII/280/10
6.11.2010
6.11.2010
zgodna z prawem
zgodna z prawem
zmiany w budżecie na 2010 rok
obniżenia średniej ceny sprzedaży drewna
69 Goraj
gmina
LII/279/10
28.10.2010
nieważna w części
gromadzenia dochodów na wydzielonym rachunku przez samorządowe
jednostki budżetowe prowadzące działalność w zakresie oświaty
70
71
72
73
74
75
76
77
Gorzków
Gorzków
Gorzków
Gorzków
Gorzków
Hańsk
Hańsk
hrubieszowski
gmina
gmina
gmina
gmina
gmina
gmina
gmina
powiat
XL/240/2010
XL/244/2010
XL/245/2010
XL/246/10
XL/242/2010
XXXIII/241/10
XXXIII/240/10
XXXVIII/321/2010
26.10.2010
26.10.2010
26.10.2010
26.10.2010
26.10.2010
10.11.2010
10.11.2010
26.10.2010
zgodna z prawem
zgodna z prawem
zgodna z prawem
zgodna z prawem
zgodna z prawem
zgodna z prawem
zgodna z prawem
zgodna z prawem
78 hrubieszowski
powiat
XXXVIII/322/2010
26.10.2010
zgodna z prawem
79
80
81
82
Izbica
Jabłonna
Jabłoń
Janów Lubelski
gmina
gmina
gmina
miasto
LVI/266/2010
XXXVI/241/10
XXXVII/203/2010
LI/357/10
9.11.2010
5.11.2010
24.09.2010
29.10.2010
zgodna z prawem
zgodna z prawem
zgodna z prawem
zgodna z prawem
83 Janów Lubelski
miasto
LI/355/10
29.10.2010
zgodna z prawem
84
85
86
87
gmina
gmina
gmina
gmina
XXVIII/321/2010
XXXVII/199/10
XXXVII/201/10
XXXVI/233/10
29.10.2010
5.11.2010
5.11.2010
29.10.2010
zgodna z prawem
zgodna z prawem
zgodna z prawem
zgodna z prawem
88 Karczmiska
gmina
XXXVI/237/10
29.10.2010
zgodna z prawem
89 Karczmiska
gmina
XXXVI/232/10
29.10.2010
zgodna z prawem
90
91
92
93
94
95
96
97
gmina
miasto
miasto
miasto
miasto
miasto
miasto
gmina
XXXVI/234/10
XLVII/328/10
XLVII/329/10
XLVII/326/10
XLVII/327/10
XLVII/324/10
XLVII/325/10
XXXIV/289/2010
29.10.2010
28.10.2010
28.10.2010
28.10.2010
28.10.2010
28.10.2010
28.10.2010
8.11.2010
zgodna z prawem
zgodna z prawem
zgodna z prawem
zgodna z prawem
zgodna z prawem
zgodna z prawem
zgodna z prawem
zgodna z prawem
Janów Podlaski
Jarczów
Jarczów
Karczmiska
Karczmiska
Kazimierz Dolny
Kazimierz Dolny
Kazimierz Dolny
Kazimierz Dolny
Kazimierz Dolny
Kazimierz Dolny
Kąkolewnica Wschodnia
98 Kąkolewnica Wschodnia gmina
XXXIV/293/10
8.11.2010
zgodna z prawem
99 Kąkolewnica Wschodnia gmina
XXXIV/300/10
8.11.2010
zgodna z prawem
100 Kąkolewnica Wschodnia gmina
XXXIV/301/10
8.11.2010
zgodna z prawem
101 Kąkolewnica Wschodnia gmina
XXXIV/295/2010
8.11.2010
zgodna z prawem
zmiany w budżecie na 2010 rok
określenia wysokości rocznych stawek podatku od nieruchomości
wprowadzenia zwolnień w podatku od nieruchomości
wprowadzenia zwolnień od podatku leśnego
określenia wysokości stawek podatku od środków transportowych
określenia wysokości stawek podatku od środków transportowych
obniżenia średniej ceny skupu żyta
zmiany w budżecie na 2010 rok
określenia dochodów gromadzonych przez niektóre jednostki
budżetowe na wydzielonym rachunku bankowym
obniżenia średniej ceny skupu żyta
zmiany w budżecie na 2010 rok
trybu prac nad projektem uchwały budżetowej
trybu prac nad projektem uchwały budżetowej
ustalenia stawek dotacji przedmiotowych za 2010 r. dla Miejskiego
Ośrodka Sportu i Rekreacji w Janowie Lubelskim
zmiany w budżecie na 2010 rok
zmiany w budżecie na 2010 rok
trybu prac nad projektem uchwały budżetowej
zmiany w budżecie na 2010 rok
udzielenia / przyjęcia pomocy finansowej lub rzeczowej innym
jednostkom samorządu terytorialnego
udzielenia / przyjęcia pomocy finansowej lub rzeczowej innym
jednostkom samorządu terytorialnego
obniżenia średniej ceny skupu żyta
zmiany w budżecie na 2010 rok
trybu prac nad projektem uchwały budżetowej
określenia wysokości rocznych stawek podatku od nieruchomości
określenia wysokości stawek podatku od środków transportowych
obniżenia średniej ceny skupu żyta
obniżenia średniej ceny sprzedaży drewna
zmiany w budżecie na 2010 rok
udzielenia / przyjęcia pomocy finansowej lub rzeczowej innym
jednostkom samorządu terytorialnego
udzielenia / przyjęcia pomocy finansowej lub rzeczowej innym
jednostkom samorządu terytorialnego
udzielenia / przyjęcia pomocy finansowej lub rzeczowej innym
jednostkom samorządu terytorialnego
określenia wysokości rocznych stawek podatku od nieruchomości
161/2010
Posiedzenie Kolegium w dniu 18 listopada 2010 r.
102
103
104
105
Kąkolewnica Wschodnia
Kąkolewnica Wschodnia
Komarów Osada
Komarów Osada
gmina
gmina
gmina
gmina
XXXIV/296/2010
XXXIV/294/2010
XLIV/259/10
XLIV/263/10
8.11.2010
8.11.2010
28.10.2010
28.10.2010
106 Komarówka Podlaska
gmina
XLIV/233/2010
29.10.2010
107 Komarówka Podlaska
gmina
XLIV/234/2010
29.10.2010
108 Komarówka Podlaska
gmina
XLV/236/2010
29.10.2010
109 Komarówka Podlaska
gmina
XLV/237/2010
29.10.2010
110
111
112
113
gmina
gmina
gmina
gmina
XLIV/232/2010
XLIV/235/2010
XLV/238/2010
LIV/257/10
29.10.2010
29.10.2010
29.10.2010
28.10.2010
114 Końskowola
gmina
LIV/258/10
28.10.2010
115 Końskowola
gmina
LIV/259/10
28.10.2010
116
117
118
119
120
121
122
123
124
125
126
127
128
129
miasto
gmina
gmina
powiat
miasto
gmina
gmina
gmina
gmina
gmina
gmina
gmina
miasto
miasto
XLV/370/10
XLVII/336/10
XLVII/337/2010
LII-311/2010
XLVI/375/2010
XXXVIII/274/2010
XL/264/10
XXXIII/171/2010
XXXIII/170/2010
XXXI/223/10
XXXI/228/10
XXXI/227/10
1232/XLVI/2010
1260/XLVI/2010
11.11.2010
9.11.2010
9.11.2010
27.10.2010
27.10.2010
30.09.2010
9.11.2010
4.11.2010
4.11.2010
8.11.2010
8.11.2010
8.11.2010
4.11.2010
4.11.2010
130 Lublin
miasto
1263/XLVI/2010
4.11.2010
131 Lublin
132 Lublin
miasto
miasto
1249/XLVI/2010
1252/XLVI/2010
4.11.2010
4.11.2010
133 Lublin
powiat
XLVII/430/10
22.07.2010
134 Lubycza Królewska
135 Lubycza Królewska
gmina
gmina
XXXV/293/2010
XXXV/292/2010
29.10.2010
29.10.2010
Komarówka Podlaska
Komorówka Podlaska
Komorówka Podlaska
Końskowola
Krasnobród
Krasnystaw
Krasnystaw
kraśnicki
Kraśnik
Krynice
Krzywda
Leśna Podlaska
Leśna Podlaska
Leśniowice
Leśniowice
Leśniowice
Lublin
Lublin
zgodna z prawem
zgodna z prawem
zgodna z prawem
zgodna z prawem
określenia wysokości stawek podatku od środków transportowych
obniżenia średniej ceny skupu żyta
zmiany w budżecie na 2010 rok
określenia wysokości stawek podatku od środków transportowych
zaciągnięcia zobowiązania o wartości przekraczającej granice ustalone
zgodna z prawem
przez radę na rok 2010
zaciągnięcia zobowiązania o wartości przekraczającej granice ustalone
zgodna z prawem
przez radę na rok 2011
zaciągnięcia zobowiązania o wartości przekraczającej granice ustalone
zgodna z prawem
przez radę na rok 2012
zaciągnięcia zobowiązania o wartości przekraczającej granice ustalone
zgodna z prawem
przez radę na rok 2013
zgodna z prawem
przystąpienia do projektu
zgodna z prawem
zmiany w budżecie na 2010 rok
zgodna z prawem
zmiany w budżecie na 2010 rok
zgodna z prawem
zmiany w budżecie na 2010 rok
udzielenia / przyjęcia pomocy finansowej lub rzeczowej innym
zgodna z prawem
jednostkom samorządu terytorialnego
udzielenia / przyjęcia pomocy finansowej lub rzeczowej innym
zgodna z prawem
jednostkom samorządu terytorialnego
zgodna z prawem
obniżenia średniej ceny skupu żyta
zgodna z prawem
określenia wysokości stawek podatku od środków transportowych
zgodna z prawem
obniżenia średniej ceny skupu żyta
zgodna z prawem
zmiany w budżecie na 2010 rok
zgodna z prawem
zmiany w budżecie na 2010 rok
zgodna z prawem
zmiany w budżecie na 2010 rok
zgodna z prawem
obniżenia średniej ceny skupu żyta
zgodna z prawem
zmiany w budżecie na 2010 rok
zgodna z prawem
określenia wysokości rocznych stawek podatku od nieruchomości
zgodna z prawem
zmiany w budżecie na 2010 rok
zgodna z prawem
określenia wysokości rocznych stawek podatku od nieruchomości
zgodna z prawem
określenia wysokości stawek podatku od środków transportowych
zgodna z prawem
zabezpieczenia środków w budżecie na realizację projektu
zgodna z prawem
zabezpieczenia środków w budżecie na realizację projektu
zaciągnięcia / udzielenia kredytów lub pożyczek, emisji obligacji
zgodna z prawem
komunalnych oraz zasad ich zbywania i wykupu
zgodna z prawem
określenia wysokości stawek podatku od środków transportowych
zgodna z prawem
zarządzenia poboru opłaty skarbowej
trybu postępowania o udzielenie z budżetu powiatu dotacji na
wszczęcie postępowania realizację zadań innych niż określone w ustawie o działalności pożytku
nadzorczego
publicznego i o wolontariacie, sposobu jej rozliczenia oraz sposobu
kontroli wykonywania zleconego zadania
zgodna z prawem
określenia wysokości rocznych stawek podatku od nieruchomości
zgodna z prawem
obniżenia średniej ceny skupu żyta
163/2010
Posiedzenie Kolegium w dniu 18 listopada 2010 r.
136 Ludwin
137 Łaszczów
138 Łaszczów
gmina
miasto i gmina
miasto i gmina
XL/201/10
XXXIX/263/10
XXXIX/264/10
25.10.2010
4.11.2010
4.11.2010
zgodna z prawem
zgodna z prawem
zgodna z prawem
139 łeczyński
powiat
XLIV/276/2010
5.11.2010
zgodna z prawem
140 łeczyński
powiat
XLIV/277/2010
5.11.2010
zgodna z prawem
141 łęczyński
142 Łomazy
143 Łomazy
powiat
gmina
gmina
XLIV/278/2010
XXXV/196/10
XXXV/197/10
5.11.2010
8.11.2010
8.11.2010
zgodna z prawem
zgodna z prawem
zgodna z prawem
144 łukowski
powiat
XLVI/338/2010
26.10.2010
zgodna z prawem
145 łukowski
powiat
XLVI/339/2010
26.10.2010
zgodna z prawem
146
147
148
149
Łuków
Łuków
Mełgiew
Miączyn
gmina
gmina
gmina
gmina
XLVIII/256/2010
XLVIII/252/2010
XXXVII/206/10
XLI/225/10
4.11.2010
4.11.2010
9.11.2010
29.10.2010
zgodna z prawem
zgodna z prawem
zgodna z prawem
zgodna z prawem
150 Miączyn
gmina
XLI/224/10
29.10.2010
zgodna z prawem
151
152
153
154
Miączyn
Miączyn
Miączyn
Miączyn
gmina
gmina
gmina
gmina
XLI/220/10
XLI/223/10
XLI/221/10
XLI/219/10
29.10.2010
29.10.2010
29.10.2010
29.10.2010
zgodna z prawem
zgodna z prawem
zgodna z prawem
zgodna z prawem
155 Miączyn
gmina
XLI/222/10
29.10.2010
zgodna z prawem
określenia zasad ustalania i poboru oraz terminów płatności, wysokości
stawek opłaty targowej i zarządzenia jej poboru w drodze inkasa
156
157
158
159
160
161
162
163
164
165
166
167
168
169
170
171
gmina
gmina
miasto
gmina
gmina
gmina
gmina
Zgromadzenie
miasto
gmina
gmina
miasto
miasto
miasto
miasto
gmina
LI/295/2010
L/285/2010
LVII/462/2010
LI/292/2010
LI/294/2010
LI/293/2010
XXXVIII/220/2010
XV/60/10
XLII/315/10
XLII/181/10
XLII/180/10
XLII/277/2010
XLIII/217/10
XLIII/218/10
XLIII/219/10
XXXVI/184/10
10.11.2010
27.10.2010
29.10.2010
10.11.2010
10.11.2010
10.11.2010
4.11.2010
19.10.2010
28.10.2010
4.11.2010
4.11.2010
28.10.2010
29.10.2010
29.10.2010
29.10.2010
28.10.2010
zgodna z prawem
zgodna z prawem
zgodna z prawem
zgodna z prawem
zgodna z prawem
zgodna z prawem
zgodna z prawem
zgodna z prawem
zgodna z prawem
zgodna z prawem
zgodna z prawem
zgodna z prawem
zgodna z prawem
zgodna z prawem
zgodna z prawem
zgodna z prawem
wprowadzenia zwolnień w podatku od środków transportowych
zmiany w budżecie na 2010 rok
zmiany w budżecie na 2010 rok
określenia wysokości rocznych stawek podatku od nieruchomości
określenia wysokości stawek podatku od środków transportowych
obniżenia średniej ceny skupu żyta
obniżenia średniej ceny skupu żyta
zmiany w budżecie na 2010 rok
zmiany w budżecie na 2010 rok
zmiany w budżecie na 2010 rok
obniżenia średniej ceny skupu żyta
zmiany w budżecie na 2010 rok
zmiany w budżecie na 2010 rok
utworzenia wydzielonych rachunków dochodów własnych
obniżenia średniej ceny skupu żyta
zmiany w budżecie na 2010 rok
Miedzyrzec Podlaski
Międzyrzec Podlaski
Międzyrzec Podlaski
Międzyrzec Podlaski
Międzyrzec Podlaski
Międzyrzec Podlaski
Milanów
MZC we Włodawie
Nałęczów
Obsza
Obsza
Opole Lubelskie
Ostrów Lubelski
Ostrów Lubelski
Ostrów Lubelski
Ostrówek
zmiany w budżecie na 2010 rok
określenia wysokości rocznych stawek podatku od nieruchomości
obniżenia średniej ceny skupu żyta
zaciągnięcia / udzielenia kredytów lub pożyczek, emisji obligacji
komunalnych oraz zasad ich zbywania i wykupu
zaciągnięcia / udzielenia kredytów lub pożyczek, emisji obligacji
komunalnych oraz zasad ich zbywania i wykupu
trybu prac nad projektem uchwały budżetowej
obniżenia średniej ceny skupu żyta
obniżenia średniej ceny sprzedaży drewna
dochodów gromadzonych na wydzielonych rachunkach dochodów
jednostek oświatowych
dochodów gromadzonych na wydzielonych rachunkach dochodów
jednostek oświatowych
trybu prac nad projektem uchwały budżetowej
określenia wysokości rocznych stawek podatku od nieruchomości
trybu prac nad projektem uchwały budżetowej
zmiany w budżecie na 2010 rok
udzielenia / przyjęcia pomocy finansowej lub rzeczowej innym
jednostkom samorządu terytorialnego
określenia wysokości rocznych stawek podatku od nieruchomości
wprowadzenia zwolnień w podatku od nieruchomości
określenia wysokości stawek podatku od środków transportowych
obniżenia średniej ceny skupu żyta
Posiedzenie Kolegium w dniu 18 listopada 2010 r.
172 parczewski
powiat
XLV/238/2010
173 parczewski
powiat
XLV/239/2010
174
175
176
177
178
gmina
gmina
gmina
gmina
gmina
XXXIV/208/2010
XXXIV/211/2010
XXXIV/209/2010
XXXIV/210/2010
XXXIV/207/2010
179 Podedwórze
gmina
XLVI/238/2010
180 Poniatowa
181 Potok Górny
gmina
gmina
XLVI/274/10
XLIV/243/2010
182 Potok Górny
gmina
XLIV/244/2010
183 Radzyń Podlaski
184 Radzyń Podlaski
185 Radzyń Podlaski
gmina
miasto
miasto
XXXVIII/235/2010
LII/308/2010
LII/296/2010
186 Radzyń Podlaski
miasto
LII/301/2010
187 radzyński
188 radzyński
powiat
powiat
XXXVIII/265/2010
XXXVIII/263/2010
189 radzyński
powiat
XXXVIII/264/2010
190
191
192
193
194
195
196
197
198
199
200
201
202
203
204
205
206
207
208
gmina
gmina
gmina
gmina
gmina
gmina
gmina
gmina
gmina
gmina
gmina
gmina
gmina
gmina
gmina
gmina
gmina
gmina
gmina
XLVII/246/2010
XLVII/249/10
XLI/224/2010
XLI/226/2010
XLI/225/2010
XXXV/143/2010
XLI/194/2010
XLI/196/2010
XLI/197/2010
XLI/195/2010
XL/261/10
XXXVII/279/10
XXXVIII/284/10
XXVII/254/2010
XXVII/255/2010
XXVII/256/2010
XXVII/257/2010
L/287/10
L/286/10
Piszcac
Piszczac
Piszczac
Piszczac
Piszczac
Rejowiec
Rejowiec Fabryczny
Rokitno
Rokitno
Rokitno
Rossosz
Rudnik
Rudnik
Rudnik
Rudnik
Sawin
Siedliszcze
Siedliszcze
Skierbieszów
Skierbieszów
Skierbieszów
Skierbieszów
Sosnowica
Sosnowica
5.11.2010
zgodna z prawem
zmiany w budżecie na 2010 rok
dochodów gromadzonych na wydzielonych rachunkach dochodów
5.11.2010
zgodna z prawem
jednostek oświatowych
27.10.2010
zgodna z prawem
obniżenia średniej ceny sprzedaży drewna
27.10.2010
zgodna z prawem
zmiany w budżecie na 2010 rok
27.10.2010
zgodna z prawem
określenia wysokości rocznych stawek podatku od nieruchomości
27.10.2010
zgodna z prawem
określenia wysokości stawek podatku od środków transportowych
27.10.2010
zgodna z prawem
obniżenia średniej ceny skupu żyta
dochodów gromadzonych na wydzielonych rachunkach dochodów
20.10.2010
zgodna z prawem
jednostek oświatowych
5.11.2010
zgodna z prawem
obniżenia średniej ceny skupu żyta
5.11.2010
zgodna z prawem
określenia wysokości rocznych stawek podatku od nieruchomości
wszczęcie postępowania określenia wysokości rocznych stawek podatku od środków
5.11.2010
nadzorczego
transportowych
28.10.2010
zgodna z prawem
zmiany w budżecie na 2010 rok
4.11.2010
zgodna z prawem
zmiany w budżecie na 2010 rok
4.11.2010
zgodna z prawem
przystąpienia do projektu
trybu udzielania i rozliczania dotacji dla niepublicznych przedszkoli i
wszczęcie postępowania
4.11.2010
innych form wychowania przedszkolnego oraz trybu i zakresu kontroli
nadzorczego
prawidłowości ich wykorzystania
28.10.2010
zgodna z prawem
zmiany w budżecie na 2010 rok
28.10.2010
zgodna z prawem
trybu prac nad projektem uchwały budżetowej
dochodów gromadzonych na wydzielonych rachunkach dochodów
28.10.2010
zgodna z prawem
jednostek oświatowych
10.11.2010
zgodna z prawem
zmiany w budżecie na 2010 rok
15.10.2010
zgodna z prawem
zmiany w budżecie na 2010 rok
8.11.2010
zgodna z prawem
określenia wysokości rocznych stawek podatku od nieruchomości
8.11.2010
zgodna z prawem
wprowadzenia zwolnień w podatku od nieruchomości
8.11.2010
zgodna z prawem
określenia wysokości stawek podatku od środków transportowych
29.10.2010
zgodna z prawem
zmiany w budżecie na 2010 rok
8.11.2010
zgodna z prawem
zmiany w budżecie na 2010 rok
8.11.2010
zgodna z prawem
określenia wysokości rocznych stawek podatku od nieruchomości
8.11.2010
zgodna z prawem
określenia wysokości stawek podatku od środków transportowych
8.11.2010
zgodna z prawem
obniżenia średniej ceny skupu żyta
5.11.2010
zgodna z prawem
obniżenia średniej ceny skupu żyta
20.10.2010
zgodna z prawem
zmiany w budżecie na 2010 rok
9.11.2010
zgodna z prawem
obniżenia średniej ceny skupu żyta
29.10.2010
zgodna z prawem
zmiany w budżecie na 2010 rok
29.10.2010
zgodna z prawem
trybu prac nad projektem uchwały budżetowej
29.10.2010
zgodna z prawem
określenia wysokości rocznych stawek podatku od nieruchomości
29.10.2010
zgodna z prawem
określenia wysokości stawek podatku od środków transportowych
5.11.2010
zgodna z prawem
określenia wysokości rocznych stawek podatku od nieruchomości
5.11.2010
zgodna z prawem
obniżenia średniej ceny skupu żyta
169/2010
168/2010
Posiedzenie Kolegium w dniu 18 listopada 2010 r.
209
210
211
212
213
Spiczyn
Stary Zamość
Stary Zamość
Stoczek Łukowski
Stoczek Łukowski
gmina
gmina
gmina
gmina
gmina
XXXV/206/10
L/235/10
L/234/10
LVI/351/10
LVI/352/2010
23.10.2010
29.10.2010
29.10.2010
29.10.2010
29.10.2010
zgodna z prawem
zgodna z prawem
zgodna z prawem
zgodna z prawem
zgodna z prawem
214 Stoczek Łukowski
gmina
LVI/350/2010
29.10.2010
zgodna z prawem
215 Stoczek Łukowski
gmina
LVI/347/2010
29.10.2010
zgodna z prawem
216
217
218
219
220
221
222
223
gmina
gmina
gmina
gmina
gmina
gmina
gmina
gmina
LVI/355/2010
LVI/357/2010
LVI/356/2010
LVII/236/10
XXXV/243/2010
XXXV/244/2010
XXXV/235/2010
XXXV/233/2010
29.10.2010
29.10.2010
29.10.2010
26.10.2010
5.11.2010
5.11.2010
5.11.2010
5.11.2010
224 Sułów
gmina
XXXV/234/2010
5.11.2010
225
226
227
228
229
230
231
232
233
234
gmina
miasto
miasto i gmina
miasto i gmina
miasto i gmina
miasto
gmina
gmina
miasto
gmina
LXLII/243/2010
L/285/2010
L/289/10
L/290/10
L/288/10
LIX/387/2010
XXXII/209/10
XXXIV/196/2010
XLI/228/2010
XXXIV/197/2010
28.10.2010
27.10.2010
27.10.2010
27.10.2010
27.10.2010
28.10.2010
9.11.2010
10.11.2010
27.10.2010
10.11.2010
zgodna z prawem
zgodna z prawem
zgodna z prawem
zgodna z prawem
zgodna z prawem
zgodna z prawem
zgodna z prawem
zgodna z prawem
wszczęcie postępowania
nadzorczego
zgodna z prawem
zgodna z prawem
zgodna z prawem
zgodna z prawem
zgodna z prawem
zgodna z prawem
zgodna z prawem
zgodna z prawem
zgodna z prawem
zgodna z prawem
235 Terespol
gmina
XXXIV/204/2010
10.11.2010
zgodna z prawem
236 Terespol
237 Terespol
238 Terespol
gmina
gmina
gmina
XXXIV/198/10
XXXIV/199/10
XXXIV/200/10
10.11.2010
10.11.2010
10.11.2010
zgodna z prawem
zgodna z prawem
zgodna z prawem
239 Terespol
gmina
XXXIV/201/2010
10.11.2010
zgodna z prawem
240
241
242
243
gmina
gmina
gmina
gmina
XXXIV/179/2010
XXXIV/174/2010
XXXV/179/2010
LXIV/266/10
29.10.2010
29.10.2010
12.11.2010
28.10.2010
zgodna z prawem
zgodna z prawem
zgodna z prawem
zgodna z prawem
miasto i gmina
XLV/298/2010
10.11.2010
zgodna z prawem
Stoczek Łukowski
Stoczek Łukowski
Stoczek Łukowski
Strzyżewice
Sułów
Sułów
Sułów
Sułów
Szastarka
Szczebrzeszyn
Szczebrzeszyn
Szczebrzeszyn
Szczebrzeszyn
Świdnik
Telatyn
Terespol
Terespol
Terespol
Trzebieszów
Tuczna
Tuczna
Turobin
244 Tyszowce
obniżenia średniej ceny skupu żyta
zmiany w budżecie na 2010 rok
trybu prac nad projektem uchwały budżetowej
zmiany w budżecie na 2010 rok
trybu prac nad projektem uchwały budżetowej
zaciągnięcia / udzielenia kredytów lub pożyczek, emisji obligacji
komunalnych oraz zasad ich zbywania i wykupu
udzielenia / przyjęcia pomocy finansowej lub rzeczowej innym
jednostkom samorządu terytorialnego
określenia wysokości rocznych stawek podatku od nieruchomości
wprowadzenia zwolnień w podatku od nieruchomości
określenia wysokości stawek podatku od środków transportowych
zmiany w budżecie na 2010 rok
zmiany w budżecie na 2010 rok
zmiany w budżecie na 2010 rok
wprowadzenia zwolnień od podatku rolnego
obniżenia średniej ceny skupu żyta
wprowadzenia zwolnień od podatku od nieruchomości
zmiany w budżecie na 2010 rok
udzielenia dotacji dla OSP
określenia wysokości rocznych stawek podatku od nieruchomości
wprowadzenia zwolnień od podatku rolnego
obniżenia średniej ceny skupu żyta
zmiany w budżecie na 2010 rok
zmiany w budżecie na 2010 rok
zmiany w budżecie na 2010 rok
zmiany w budżecie na 2010 rok
trybu prac nad projektem uchwały budżetowej
udzielenia / przyjęcia pomocy finansowej lub rzeczowej innym
jednostkom samorządu terytorialnego
określenia wysokości rocznych stawek podatku od nieruchomości
określenia wysokości stawek podatku od środków transportowych
obniżenia średniej ceny skupu żyta
określenia zasad ustalania i poboru oraz terminów płatności, wysokości
stawek opłaty miejscowej i zarządzenia jej poboru w drodze inkasa
zmiany w budżecie na 2010 rok
zmiany w budżecie na 2010 rok
obniżenia średniej ceny sprzedaży drewna
zmiany w budżecie na 2010 rok
zaciągnięcia / udzielenia kredytów lub pożyczek, emisji obligacji
komunalnych oraz zasad ich zbywania i wykupu
162/2010
Posiedzenie Kolegium w dniu 18 listopada 2010 r.
245
246
247
248
Tyszowce
Tyszowce
Tyszowce
Uchanie
miasto i gmina
miasto i gmina
miasto i gmina
gmina
XLIV/284/2010
XLIV/282/2010
XLIV/283/2010
XXXIX/200/2010
4.11.2010
4.11.2010
4.11.2010
29.10.2010
zgodna z prawem
zgodna z prawem
zgodna z prawem
zgodna z prawem
249 Uchanie
gmina
XXXIX/198/2010
29.10.2010
zgodna z prawem
250 Uchanie
gmina
XXXIX/199/2010
29.10.2010
zgodna z prawem
251
252
253
254
255
256
257
258
259
260
261
262
263
264
265
266
267
268
269
270
gmina
gmina
gmina
gmina
gmina
gmina
gmina
gmina
gmina
gmina
gmina
gmina
gmina
miasto
miasto
gmina
gmina
gmina
powiat
gmina
XXXIX/195/2010
XXXIX/196/2010
XXXIX/197/2010
XLII/186/10
XLVI/271/10
XXXIV/247/2010
LVII/170/2010
XLIII/248/2010
XLIII/249/2010
XLIII/246/2010
XLIII/247/2010
L/412/10
LI/417/10
LVII/341/10
LVII/344/10
LI/418/10
LI/419/10
LI/420/10
XXXIII/343/10
XLIII/210/2010
29.10.2010
29.10.2010
29.10.2010
27.10.2010
29.10.2010
9.11.2010
27.10.2010
10.11.2010
10.11.2010
10.11.2010
10.11.2010
15.10.2010
29.10.2010
28.10.2010
28.10.2010
29.10.2010
29.10.2010
29.10.2010
28.10.2010
5.11.2010
zgodna z prawem
zgodna z prawem
zgodna z prawem
zgodna z prawem
zgodna z prawem
zgodna z prawem
zgodna z prawem
zgodna z prawem
zgodna z prawem
zgodna z prawem
zgodna z prawem
zgodna z prawem
zgodna z prawem
zgodna z prawem
zgodna z prawem
zgodna z prawem
zgodna z prawem
zgodna z prawem
zgodna z prawem
zgodna z prawem
271 Wohyń
gmina
XLIII/208/2010
5.11.2010
zgodna z prawem
272
273
274
275
276
277
278
279
280
gmina
gmina
gmina
gmina
gmina
gmina
gmina
gmina
gmina
XLIII/207/2010
XLIII/206/2010
XLV/232/10
XLV/228/10
XLV/231/10
XLV/230/10
XLV/229/10
XLV/226/10
XLV/227/10
5.11.2010
5.11.2010
29.10.2010
29.10.2010
29.10.2010
29.10.2010
29.10.2010
29.10.2010
29.10.2010
zgodna z prawem
zgodna z prawem
zgodna z prawem
zgodna z prawem
zgodna z prawem
zgodna z prawem
zgodna z prawem
zgodna z prawem
zgodna z prawem
Uchanie
Uchanie
Uchanie
Ulhówek
Ułęż
Urszulin
Wilków
Wisznice
Wisznice
Wisznice
Wisznice
Włodawa
Włodawa
Włodawa
Włodawa
Włodawa
Włodawa
Włodawa
włodawski
Wohyń
Wohyń
Wohyń
Wojciechów
Wojciechów
Wojciechów
Wojciechów
Wojciechów
Wojciechów
Wojciechów
określenia wysokości rocznych stawek podatku od nieruchomości
określenia wysokości stawek podatku od środków transportowych
obniżenia średniej ceny skupu żyta
trybu prac nad projektem uchwały budżetowej
zaciągnięcia / udzielenia kredytów lub pożyczek, emisji obligacji
komunalnych oraz zasad ich zbywania i wykupu
zasad udzielania dotacji na sfinansowanie prac konserwatorskich,
restauratorskich lub robót budowlanych przy obiekcie wpisanym do
rejestru zabytków
określenia wysokości rocznych stawek podatku od nieruchomości
określenia wysokości stawek podatku od środków transportowych
obniżenia średniej ceny skupu żyta
zmiany w budżecie na 2010 rok
obniżenia średniej ceny skupu żyta
określenia wysokości rocznych stawek podatku od nieruchomości
zmiany w budżecie na 2010 rok
określenia wysokości rocznych stawek podatku od nieruchomości
określenia wysokości stawek podatku od środków transportowych
obniżenia średniej ceny skupu żyta
obniżenia średniej ceny sprzedaży drewna
zmiany w budżecie na 2010 rok
zmiany w budżecie na 2010 rok
zmiany w budżecie na 2010 rok
zmiany w budżecie na 2010 rok
określenia wysokości rocznych stawek podatku od nieruchomości
określenia wysokości stawek podatku od środków transportowych
obniżenia średniej ceny skupu żyta
zmiany w budżecie na 2010 rok
zmiany w budżecie na 2010 rok
udzielenia / przyjęcia pomocy finansowej lub rzeczowej innym
jednostkom samorządu terytorialnego
określenia wysokości rocznych stawek podatku od nieruchomości
obniżenia średniej ceny skupu żyta
zmiany w budżecie na 2010 rok
określenia wysokości rocznych stawek podatku od nieruchomości
wprowadzenia zwolnień w podatku od nieruchomości
wprowadzenia zwolnień od podatku rolnego
określenia wysokości stawek podatku od środków transportowych
obniżenia średniej ceny skupu żyta
obniżenia średniej ceny sprzedaży drewna
Posiedzenie Kolegium w dniu 18 listopada 2010 r.
281 Wojciechów
gmina
XLIV/220/10
282
283
284
285
286
287
288
289
gmina
gmina
gmina
gmina
gmina
gmina
gmina
gmina
XLVI/177/2010
XXXVIII/247/2010
XXXVIII/242/2010
XXXVIII/243/2010
XXXVIII/241/2010
XLII/242/10
LX/394/2010
LX/396/10
290 Wólka
gmina
LX/398/2010
291
292
293
294
295
296
297
298
gmina
gmina
gmina
gmina
gmina
gmina
miasto i gmina
miasto i gmina
XXXVI/219/2010
XXXVI/220/2010
XXXVI/218/2010
XLI/224/2010
XLI/225/10
LI/723/10
LXVII/464/10
LXVII/469/10
299 Żmudź
gmina
XLIII/252/2010
300 Żółkiewka
gmina
XLVI/255/10
Wojsławice
Wola Mysłowska
Wola Mysłowska
Wola Mysłowska
Wola Mysłowska
Wola Uhruska
Wólka
Wólka
Wyryki
Wyryki
Wyryki
Wysokie
Wysokie
Zamość
Zwierzyniec
Zwierzyniec
sprawie trybu postępowania o udzielenie z budżetu gminy dotacji na
wszczęcie postępowania realizację zadań innych niż określone w ustawie o działalności pożytku
7.09.2010
nadzorczego
publicznego i o wolontariacie, sposobu jej rozliczenia oraz sposobu
kontroli wykonywania zleconego zadania
9.11.2010
zgodna z prawem
obniżenia średniej ceny skupu żyta
8.11.2010
zgodna z prawem
trybu prac nad projektem uchwały budżetowej
8.11.2010
zgodna z prawem
określenia wysokości rocznych stawek podatku od nieruchomości
8.11.2010
zgodna z prawem
określenia wysokości stawek podatku od środków transportowych
8.11.2010
zgodna z prawem
obniżenia średniej ceny skupu żyta
26.10.2010
zgodna z prawem
zmiany w budżecie na 2010 rok
5.11.2010
zgodna z prawem
trybu prac nad projektem uchwały budżetowej
5.11.2010
zgodna z prawem
obniżenia średniej ceny skupu żyta
wszczęcie postępowania
5.11.2010
wprowadzenia zwolnień w podatku od środków transportowych
nadzorczego
9.11.2010
zgodna z prawem
określenia wysokości rocznych stawek podatku od nieruchomości
9.11.2010
zgodna z prawem
określenia wysokości stawek podatku od środków transportowych
9.11.2010
zgodna z prawem
obniżenia średniej ceny skupu żyta
4.11.2010
zgodna z prawem
zmiany w budżecie na 2010 rok
4.11.2010
zgodna z prawem
trybu prac nad projektem uchwały budżetowej
8.11.2010
zgodna z prawem
obniżenia średniej ceny skupu żyta
28.10.2010
zgodna z prawem
zmiany w budżecie na 2010 rok
28.10.2010
zgodna z prawem
określenia wysokości stawek podatku od środków transportowych
udzielenia / przyjęcia pomocy finansowej lub rzeczowej innym
4.11.2010
zgodna z prawem
jednostkom samorządu terytorialnego
26.10.2010
zgodna z prawem
zmiany w budżecie na 2010 rok
164/2010
165/2010