Wałbrzych, 16.08.2007 r. ZAWIADOMIENIE Dot. Zmiany Specyfikacji

Transkrypt

Wałbrzych, 16.08.2007 r. ZAWIADOMIENIE Dot. Zmiany Specyfikacji
Wałbrzych, 16.08.2007 r.
ZAWIADOMIENIE
Dot. Zmiany Specyfikacji Istotnych Warunków Zamówienia do przetargu na sprzęt
komputerowy i oprogramowanie.
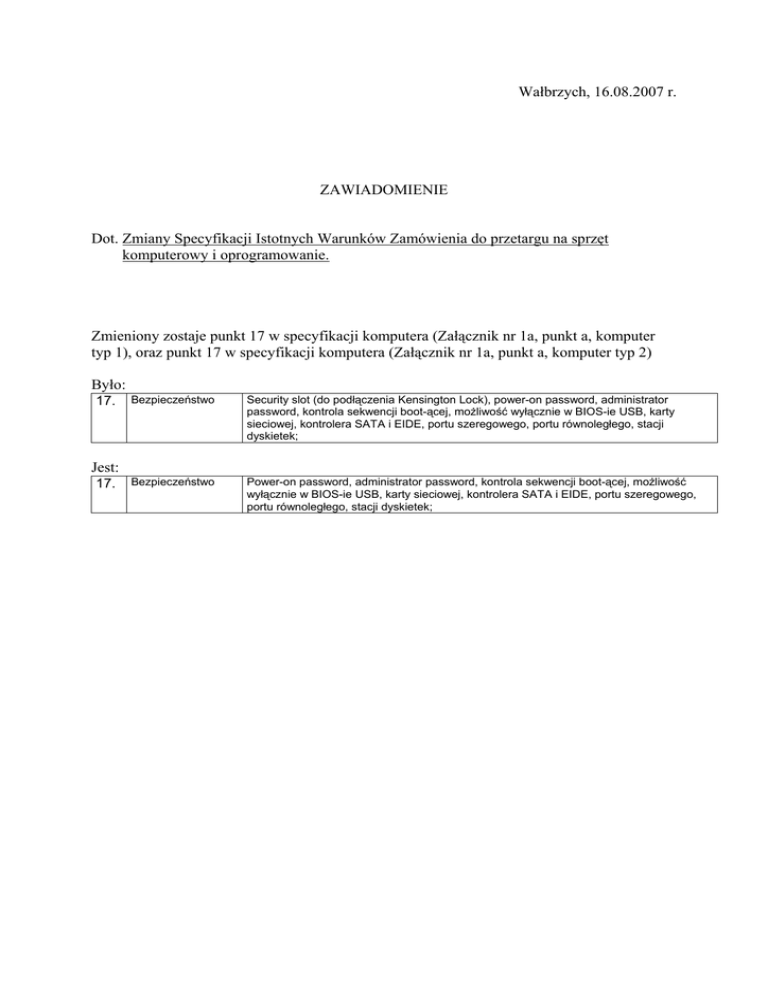
Zmieniony zostaje punkt 17 w specyfikacji komputera (Załącznik nr 1a, punkt a, komputer
typ 1), oraz punkt 17 w specyfikacji komputera (Załącznik nr 1a, punkt a, komputer typ 2)
Było:
17.
Bezpieczeństwo
Security slot (do podłączenia Kensington Lock), power-on password, administrator
password, kontrola sekwencji boot-ącej, możliwość wyłącznie w BIOS-ie USB, karty
sieciowej, kontrolera SATA i EIDE, portu szeregowego, portu równoległego, stacji
dyskietek;
Bezpieczeństwo
Power-on password, administrator password, kontrola sekwencji boot-ącej, możliwość
wyłącznie w BIOS-ie USB, karty sieciowej, kontrolera SATA i EIDE, portu szeregowego,
portu równoległego, stacji dyskietek;
Jest:
17.