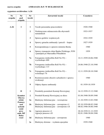
nr zespołu

Transkrypt

nr zespołu
nazwa zespołu:
AMBASADA R.P. W BUKARESZCIE
sygnatura archiwalna: A.26
Zawartość teczki
Nr
zespołu
Nr
pod
zespołu
Nr
teczki
Czasokres
A.26
I
1
Teczki personalne pracowników
1928-1940
2
Niedoręczone odznaczenia dla obywateli
rumuńskich
1933-1937
3
Sprawa grobów wojskowych
1932-1939
4
Sprawy gmachu ambasady i parceli – kupno
1927-1939
5
Korespondencja w sprawie ministra Becka
1940
6
Sprawy transportu złota Banku Polskiego, FON
i pamiątek po Marszałku Piłsudskim
1939
7a
Fonogramy (mikrofilm Roll No 93) –
wychodzące 400
14.11.1939-24.06.1940
7b
Fonogramy (mikrofilm Roll No 93) –
wychodzące 115
24.06.1940-23.10.1940
7c
Fonogramy (mikrofilm Roll No 93) –
wchodzące 76
12.11.1939-20.10.1940
8
Rozmieszczenie obozów uchodźców i sprawy
ewakuacji
9
Odpisy depesz ambasady
II
1
Protokóły posiedzeń Komisji Rewizyjnej
16.12.1939-15.12.1940
Komitet
Obywa
telski
Pomocy
nad
uchodź
cami
przy
amb. RP
Buka
reszt
2
Protokół Komisji Rewizyjnej za okres
01.04.1940-30.09.1940
3a
Biuletyny Informacyjne – wewnętrzne
11.10.1939-12.03.1940
3b
Biuletyny Informacyjne – zewnętrzne t.I
Biuletyny Informacyjne – zewnętrzne t.II
05.10.1939-08.02.1940
08.02.1940-30.06.1940
3c
Agencje prasowe t.I
Agencje prasowe t.II
20.10.1939-31.12.1939
02.01.1940-30.04.1940
3d
Biuletyny Informacyjne – zewnętrzne
1940
3e
Biuletyny dzienne – wydania specjalne
1939-1940
1940
01.1939-10.1939
nazwa zespołu:
AMBASADA R.P. W BUKARESZCIE
sygnatura archiwalna: A.26
Zawartość teczki
Nr
zespołu
Nr
pod
zespołu
Nr
teczki
Czasokres
A.26
II
3f
Biuletyny tygodniowe
Komitet
Obywa
telski
Pomocy
nad
uchodź
cami
przy
amb. RP
Buka
reszt
3g
Biuletyny z pieczecią YMCA
3h
„Przegląd Polski”
1940
3i
Wydawnictwa dla obozów wojskowych
„Wiarus”, „Rozrywki umysłowe”, „Na wesoło”,
„Ze świata” itp.
1940
4a
Wydawnictwa różne przeznaczone dla
uchodźców – Biblioteka powieści Nr 1 – 15
1939
4b
Wydawnictwa różne przeznaczone dla
uchodźców – fragment „Potop”
1939
4c
Wydawnictwa różne przeznaczone dla
uchodźców – mały zbiorek modlitw
1939
4d
Wydawnictwa różne przeznaczone dla
uchodźców – kalendarz na rok 1940
1940
4e
Wydawnictwa różne przeznaczone dla
uchodźców – Modlitwa Obozowa
4f
Wydawnictwa różne przeznaczone dla
uchodźców – „Krzyżacy” Sienkiewicza
4g
Wydawnictwa różne przeznaczone dla
uchodźców – Wybór nowel Nr 1
4h
Wydawnictwa różne przeznaczone dla
uchodźców – Współczesna poezja wojenna
4i
Wydawnictwa różne przeznaczone dla
uchodźców – Polski śpiewnik na obczyźnie
4j
Wydawnictwa różne przeznaczone dla
uchodźców – Przedstawiciele Polskiego Narodu
mówią
4k
Wydawnictwa różne przeznaczone dla
uchodźców – Wydawnictwa okolicznościowe
1940
04.10.1939-31.01.1940
nazwa zespołu:
AMBASADA R.P. W BUKARESZCIE
sygnatura archiwalna: A.26
Zawartość teczki
Nr
zespołu
Nr
pod
zespołu
Nr
teczki
Czasokres
A.26
II
4l
Wydawnictwa różne przeznaczone dla
uchodźców – Materiały do referatów
1
Akta poszczególnych spraw, m.in. dotyczące
FONu, Falangi, Berezy Kartuskiej, ewakuacji
więzień w 1939 r, sprawa gen. S. DąbBiernackiego, sprawy indywidualnych osób o
przywłaszczenia gospodarcze
1940
1
Akta spraw, m.in. wykazy samochodów do
rewindykacji, samochodów sprzedanych przez
Rumunów, korespondencja, notatki urzędowe
1940
Komitet
Obywa
telski
Pomocy
nad
uchodź
cami
przy
amb. RP
Buka
reszt
III
Komisja
Badaw
cza przy
Ambasa
dzie RP
w
Bukare
szcie
IV
Biuro
Weryfi
kacji
Samocho
dów
przy
Ambasa
dzie RP
nazwa zespołu:
AMBASADA R.P. W BUKARESZCIE
sygnatura archiwalna: A.26
Zawartość teczki
Nr
zespołu
Nr
pod
zespołu
Nr
teczki
A.26
V
1
Sprawozdania, protokóły, inne
1940
Komisja
Ochrony
Mienia
Państwo
wego
2
Zestawienia
1940
3
Protokóły odbiorcze i inne
1940
4
Instrukcje, regulaminy. Rejestracja
samochodów
1940
5
Sprawy mienia państwowego ewakuowanego
do Rumunii
6
Różne sprawozdania i zestawienia
1940
7
Zestawienia sprzętu wojskowego
1940
1
Wyciągi listów z Polski (patrz A.26-II/3a, 3i,
4c)
1940
VI
Biuro
Prasy i
Propa
gandy
Czasokres
1939-1940