Dokumentacja projektowa - Instalacja siły, sterowania i automatyki

Transkrypt

Dokumentacja projektowa - Instalacja siły, sterowania i automatyki
JM SANTECH
Modernizacja stacji uzdatniania wody w m. Maniewo gm. Oborniki
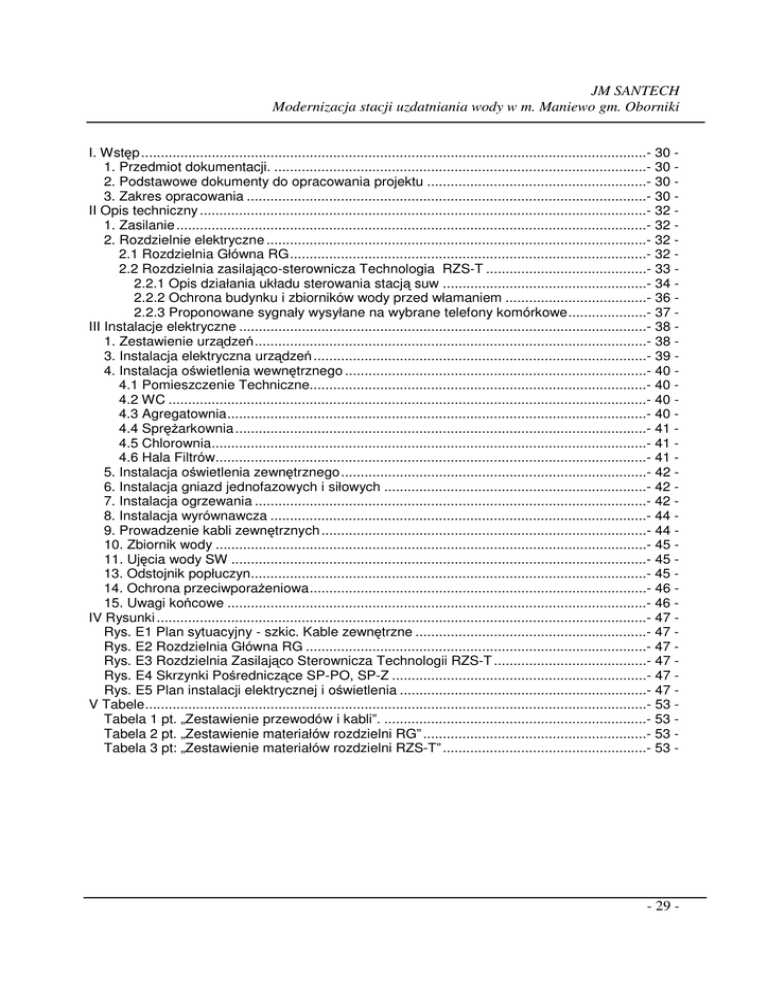
I. Wstęp.................................................................................................................................- 30 1. Przedmiot dokumentacji. ...............................................................................................- 30 2. Podstawowe dokumenty do opracowania projektu ........................................................- 30 3. Zakres opracowania ......................................................................................................- 30 II Opis techniczny ..................................................................................................................- 32 1. Zasilanie ........................................................................................................................- 32 2. Rozdzielnie elektryczne .................................................................................................- 32 2.1 Rozdzielnia Główna RG...........................................................................................- 32 2.2 Rozdzielnia zasilająco-sterownicza Technologia RZS-T .........................................- 33 2.2.1 Opis działania układu sterowania stacją suw ....................................................- 34 2.2.2 Ochrona budynku i zbiorników wody przed włamaniem ....................................- 36 2.2.3 Proponowane sygnały wysyłane na wybrane telefony komórkowe....................- 37 III Instalacje elektryczne ........................................................................................................- 38 1. Zestawienie urządzeń....................................................................................................- 38 3. Instalacja elektryczna urządzeń .....................................................................................- 39 4. Instalacja oświetlenia wewnętrznego .............................................................................- 40 4.1 Pomieszczenie Techniczne......................................................................................- 40 4.2 WC ..........................................................................................................................- 40 4.3 Agregatownia...........................................................................................................- 40 4.4 Sprężarkownia .........................................................................................................- 41 4.5 Chlorownia...............................................................................................................- 41 4.6 Hala Filtrów..............................................................................................................- 41 5. Instalacja oświetlenia zewnętrznego..............................................................................- 42 6. Instalacja gniazd jednofazowych i siłowych ...................................................................- 42 7. Instalacja ogrzewania ....................................................................................................- 42 8. Instalacja wyrównawcza ................................................................................................- 44 9. Prowadzenie kabli zewnętrznych ...................................................................................- 44 10. Zbiornik wody ..............................................................................................................- 45 11. Ujęcia wody SW ..........................................................................................................- 45 13. Odstojnik popłuczyn.....................................................................................................- 45 14. Ochrona przeciwporażeniowa......................................................................................- 46 15. Uwagi końcowe ...........................................................................................................- 46 IV Rysunki .............................................................................................................................- 47 Rys. E1 Plan sytuacyjny - szkic. Kable zewnętrzne ...........................................................- 47 Rys. E2 Rozdzielnia Główna RG .......................................................................................- 47 Rys. E3 Rozdzielnia Zasilająco Sterownicza Technologii RZS-T .......................................- 47 Rys. E4 Skrzynki Pośredniczące SP-PO, SP-Z .................................................................- 47 Rys. E5 Plan instalacji elektrycznej i oświetlenia ...............................................................- 47 V Tabele................................................................................................................................- 53 Tabela 1 pt. „Zestawienie przewodów i kabli”. ...................................................................- 53 Tabela 2 pt. „Zestawienie materiałów rozdzielni RG” .........................................................- 53 Tabela 3 pt: „Zestawienie materiałów rozdzielni RZS-T” ....................................................- 53 -
- 29 -
JM SANTECH
Modernizacja stacji uzdatniania wody w m. Maniewo gm. Oborniki
I. Wstęp
1. Przedmiot dokumentacji.
Przedmiotem dokumentacji jest instalacja siły, sterowania i automatyki dla Stacji Uzdatniania
Wody w m. Maniewo.
2. Podstawowe dokumenty do opracowania projektu
2.1 Zlecenie inwestora
2.2 Plan zagospodarowania terenu
2.3 Projektu technologicznego
2.4 Dokumentacji techniczno – ruchowych
2.5 Aktualnych norm min :
−
PN-IEC 60364 „Instalacje elektryczne w obiektach budowlanych”
−
PN-86/E-05003/01,02 „Ochrona odgromowa obiektów budowlanych – wymagania ogólne,
ochrona podstawowa”
−
PN-IEC 61024-1 „Ochrona odgromowa obiektów budowlanych. Zasady ogólne. Wybór
poziomów ochrony dla urządzeń piorunochronnych”
−
PN-IEC 60364-4-4-43:1999 „Instalacje elektryczne w obiektach budowlanych. Ochrona dla
zapewnienia bezpieczeństwa. Ochrona przed przepięciami atmosferycznymi i łączeniowymi”
−
„Instalacje elektryczne i teletechniczne” Wydawnictwo Verlag Dashofer W-wa 2002r
3. Zakres opracowania
Opracowanie niniejsze obejmuje projekty wszystkich prac instalacyjno - montażowych branży
elektrycznej stacji uzdatniania wody w miejscowości Maniewo.
Zakres dokumentacji obejmuje:
-
Rozdzielnia Główna RG
-
Rozdzielnia Zasilająco-Sterownicza Technologii RSZ-T
-
Skrzynki Przyłączeniowe: SP-PO, SP-Z
-
Transmisja bezprzewodowa GSM/GPRS
-
Instalacja ogrzewania elektrycznego
-
Instalacja elektroenergetyczna urządzeń technologicznych stacji uzdatniania wody
-
Instalacja oświetlenia wewnętrznego i zewnętrznego
-
Instalacja gniazd jednofazowych i siłowych
- 30 -
JM SANTECH
Modernizacja stacji uzdatniania wody w m. Maniewo gm. Oborniki
-
Instalacja połączeń wyrównawczych
- 31 -
JM SANTECH
Modernizacja stacji uzdatniania wody w m. Maniewo gm. Oborniki
II Opis techniczny
1. Zasilanie
Stacja Uzdatniania Wody w m. Maniewo zwana dalej stacją SUW zasilana jest w energię
elektryczną z istniejącej stacji transformatorowej znajdującej się na terenie działki stacji
uzdatniania wody.
Zgodnie z umową nr 6/633/2000 moc zapotrzebowana 29kW
przy zabezpieczeniu
przelicznikowym 80A.
Granica stron na wyjściu przewodów od zabezpieczenia w złączu w kierunku instalacji odbiorcy.
Obecnie układ pomiarowy półpośredni znajduje w budynku w pomieszczeniu hali filtrów. Ze
względu na planowaną modernizację stacji SUW wnioskuje się do Enea Operator Rejon
Szamotuły o wyniesienie układu pomiarowego na zewnątrz budynku. Dokumentacja projektowa
złącza kablowo-pomiarowego stanowić będzie odrębne opracowanie.
Stacja SUW oprócz zasilania podstawowego z sieci elektroenergetycznej przewiduje układ
zasilania rezerwowego wyposażony w gniazdo do podłączenia agregatu prądotwórczego z
przełącznikiem Sieć-0-Agregat zainstalowanym w Rozdzielni Głównej RG. System ochrony od
porażeń prądem elektrycznym – TN.
2. Rozdzielnie elektryczne
Rozbudowa stacji SUW zakłada demontaż starych rozdzielnic składających się z 21 modułów
skrzynek metalowych.
Dla stacji SUW przewiduje się następujące rozdzielnice:
-
Złącze kontrolno pomiarowe (ujęte w oddzielnym opracowaniu)
-
Rozdzielnia Główna RG
-
Rozdzielnia Zasilająco-Sterownicza Technologii RZS-T
-
Skrzynki Przyłączeniowe: SP-O, SP-Z
2.1 Rozdzielnia Główna RG
W hali filtrów budynku SUW należy zamontować rozdzielnię RG, do której należy wprowadzić
kable i przewody zgodnie z Tabelą 1 pt. „Zestawienie przewodów i kabli”. Schemat elektryczny,
rozmieszczenie elementów, oraz wygląd elewacji drzwi projektowanej rozdzielnicy RG
- 32 -
JM SANTECH
Modernizacja stacji uzdatniania wody w m. Maniewo gm. Oborniki
przedstawiony jest na rysunku E2 pt. „Rozdzielnia Główna RG”. Należy ją oznaczyć napisem
RG. Natomiast lokalizacja przedstawiona jest na rysunku E5 pt: Plan instalacji elektrycznej i
oświetlenia”. Rozdzielnia o wymiarach 1800x800x400mm z cokołem 200mm powinna posiadać
stopień ochrony nie mniejszy niż IP 54.
Do rozdzielni RG doprowadzony jest przewód z szafy agregatu z układem SZR zasilające
zgodnie z Tabelą 1 pt. „Zestawienie przewodów i kabli”.
W rozdzielnicy RG znajduje się przełącznik główny o znamionowym prądzie 630A. Obsługa
przełącznika odbywa się na drzwiach rozdzielnicy poprzez pokrętło.
Zestawienie materiałów rozdzielni RG patrz Tabela 2 pt. „Zestawienie Materiałów rozdzielni RG”
Zacisk ochronny rozdzielnicy RG wraz z jej konstrukcją połączyć z uziomem o wartości
rezystancji R<10 Ω.
Rozdzielnica RG zasila:
-
Rozdzielnię Zasilająco Sterowniczą Technologio RZS-T
-
Rozdzielnię Zasilająco Sterowniczą Hydroforni RZS-H
-
Oświetlenie wewnętrzne i zewnętrzne
-
Ogrzewanie
-
Gniazda 400V/16A, 230V/16A, 24V
-
Wentylator w chlorowni
-
Podgrzewacz wody
-
osuszacze
UWAGA
Przewody wprowadzić od dołu rozdzielni RG
System ochrony od porażeń prądem elektrycznym – TN.
2.2 Rozdzielnia zasilająco-sterownicza Technologia RZS-T
Rozdzielnica Technologiczna jest rozdzielnią zawierającą urządzenia pośrednie dla elementów
elektrycznych Stacji Uzdatniania Wody. Zasilana jest z Rozdzielni Głównej napięciem 3x400V
kablem pięciożyłowym. Zawiera ona w sobie zasilanie i sterowanie pompami głębinowymi,
pompą płuczną, przepustnicami, elektrozaworami, dmuchawą. Znajdują się w niej również
zabezpieczenia zwarciowe i zabezpieczenia termiczne dla sterowanych urządzeń. Jest ona
także miejscem przyłączenia wszelkich elementów pomiarowo - kontrolnych takich jak
sygnalizatorów poziomu w zbiorniku retencyjnym wody uzdatnionej, wodomierzy oraz
- 33 -
JM SANTECH
Modernizacja stacji uzdatniania wody w m. Maniewo gm. Oborniki
przetworników ciśnienia. Na drzwiach rozdzielni zamontowany jest panel dotykowy, dzięki
któremu możemy sterować pracą całej Stacji z wyłączeniem Zestawu Hydroforowego i agregatu
sprężarkowego, które posiadają własne regulatory. Włączanie odpowiednich urządzeń
następuje poprzez aparaturę łączeniową produkcji Moeller (kompaktowe wyłączniki silnikowe
PKZM0, styczniki DILM) oraz przekaźniki RM84.
Układ sterowania wyposażony jest w mikroprocesorowy sterownik S7-200
z panelem
dotykowym LCD. Układ zapewnia komunikację za pomocą modemu GPRS/GSM typu MT101.
Schemat elektryczny projektowanej rozdzielnicy RZS-RT, oraz wygląd elewacji drzwi
przedstawiony jest na rysunku E3 pt. „Rozdzielnia Zasilająco Sterownicza Technologii RZS-T”.
Należy ją oznaczyć napisem RZS-T. Natomiast lokalizacja przedstawiona jest na rysunku E5 pt:
„Plan instalacji elektrycznej i oświetlenia”. Rozdzielnia o wymiarach 1800x800x400mm z
cokołem 200mm powinna posiadać stopień ochrony nie mniejszy niż IP 54.
Zestawienie materiałów rozdzielni RZS-T patrz Tabela 3 pt: „Zestawienie materiałów rozdzielni
RZS-T”
2.2.1 Opis działania układu sterowania stacją suw
Sterownik mikroprocesorowy
Swobodnie programowalny sterownik typu S7-200 służy do sterowania pracą urządzeń
stosowanych na Stacjach Uzdatniania Wody. Dzięki zastosowaniu pamięci typu Flash możliwe
jest wykonywanie różnych funkcji sterujących zgodnych z wymaganiami Zamawiającego.
Posiada on wejścia pomiarowe pozwalające na podłączenie różnych urządzeń pomiarowych
takich jak ciśnieniomierze i przepływomierze, co przy odpowiednim oprogramowaniu umożliwia
realizację rozmaitych funkcji dodatkowych (pomiary i rejestracja ciśnień, przepływów,
sygnalizacja przekroczeń i stanów awaryjnych itp.).
Sterownik S7-200 wystawia odpowiednie sygnały sterujące włączające i wyłączające określone
urządzenia
na
podstawie
sygnałów
otrzymywanych
z
czujników
poziomu
wody,
przepływomierzy, prądowych przetworników ciśnienia oraz programu wewnętrznego jak i
wewnętrznego programowalnego zegara wyznaczającego rozpoczęcie procesu płukania.
Sterownik
S7-200
na
podstawie
sygnałów
analogowych
dostarczanych
z
czujników
zewnętrznych (ciśnieniomierze, czujniki poziomu wody, wodomierze, sondy konduktometryczne i
hydrostatyczne) realizuje rozmaite zadania:
włącza i wyłącza pompy I stopnia w zależności od poziomu wody w zbiorniku retencyjnym;
- 34 -
JM SANTECH
Modernizacja stacji uzdatniania wody w m. Maniewo gm. Oborniki
podczas procesu płukania załącza zawory elektromagnetyczne doprowadzające powietrze do
filtrów;
zabezpiecza pompę płuczną przed suchobiegiem w przypadku, gdy poziom wody w zbiorniku
retencyjnym obniży się poniżej określonego poziomu lub przy braku przepływu mierzonego
wodomierzem przy pompie płucznej;
blokuje włączenie pompy płucznej jeżeli układ elektryczny wykazuje awarię;
steruje pracą przepustnic z napędem pneumatycznym przy filtrach;
umożliwia odczyt aktualnych parametrów podczas pracy oraz przy zablokowanej możliwości
włączenia urządzeń;
umożliwia ręczne sterowanie poszczególnymi urządzeniami
opcjonalnie umożliwia całodobowy monitoring stacji uzdatniania wody.
Sterowanie pracą stacji
Projektowana Stacja Uzdatniania Wody pracować ma całkowicie automatycznie. Pracą
zarządzać będzie sterownik mikroprocesorowy swobodnie programowalny zapewniający
automatyczne działanie procesów filtracji oraz płukania filtrów. Po przepompowaniu zadanej
ilości wody ze studni głębinowych lub upłynięciu określonej liczby dni, sterownik realizuje
automatycznie cały proces płukania ze wskazaniem na okres nocny.
Pracą pomp pierwszego stopnia steruje sonda hydrostatyczna zawieszona w rurze pomiarowej
spiętej ze zbiornikiem zapasu wody.
Pracą pomp stopnia drugiego steruje inny odrębny sterownik mikroprocesorowy znajdujący się
w wyposażeniu istniejącego Zestawu Hydroforowego pomp II stopnia i utrzymujący ciśnienie
wody na wyjściu ze stacji na stałym poziomie.
Praca stacji w trybie uzdatniania wody
Na podstawie sygnałów z sygnalizatorów poziomów dokonywane jest napełnianie zbiornika
retencyjnego pompami głębinowymi. Tłoczą one wodę ze studni głębinowych do budynku stacji i
poprzez aerator, zespół filtrów do zbiornika retencyjnego.
W zbiorniku retencyjnym znajdują się sygnalizatory poziomu wody odpowiedzialne za załączenie
(bądź wyłączenie) pomp głębinowych. Podczas pracy pomp głębinowych dokonywany jest
pomiar ilości przepompowanej wody.
Uzdatniona woda znajdująca się w zbiorniku wyrównawczym pobierana jest przez sekcję I (
sekcję gospodarczą) Zestawu Hydroforowego pomp II stopnia i tłoczona jest bezpośrednio w
- 35 -
JM SANTECH
Modernizacja stacji uzdatniania wody w m. Maniewo gm. Oborniki
sieć wodociągową. Zestaw Hydroforowy jest zabezpieczony przed suchobiegiem sygnalizatorem
pływakowym zawieszonym w każdym zbiorniku wyrównawczym.
Praca stacji w trybie płukania
Proces płukania rozpoczyna się o ustawionej programowo godzinie płukania i upłynięciu
określonej liczby dni bądź określonej zadanej ilości wody mierzonej wodomierzem za pompami
głębinowymi na wejściu do Stacji. W początkowej fazie napełniane jest zbiornik retencyjny do
poziomu maksymalnego. W następnej kolejności układ przechodzi do spustu wody z pierwszego
filtru. Po spuszczeniu wody następuje otwarcie odpowiednich przepustnic i rozpoczyna się
płukanie (wzruszenie złoża) filtru powietrzem z dmuchawy, po czym filtr płukany jest wodą przy
innym odpowiednim ustawieniu przepustnic. W następnej kolejności woda tłoczona jest poprzez
filtr do odstojnika stabilizując złoże. Po zakończeniu powyższych procedur układ kończy
płukanie filtra nr 1 i przechodzi do płukania kolejnych filtrów w identyczny sposób wg ustalonej
procedury. Po zakończeniu płukania filtrów następuje przejście do pracy w trybie uzdatniania.
Sterowanie ręczne
Sterowanie ręczne każdej pompy może być prowadzone poprzez panel operatorski.
Do uruchamiania i wyłączania pompy służą przyciski sterownicze na panelu operatorskim.
W położeniu <0> pokrętła / STEROWNIE A – 0 – R / na drzwiach szafy sterowniczej, pompa jest
wyłączona z ruchu.
Opis elementów sygnalizacyjnych
Biała lampka oznaczone napisem ZASILANIE sygnalizują prawidłowe zasilanie.
Zielone lampki oznaczone napisem (PRACA), sygnalizują pracę urządzenia
Czerwone lampki oznaczone napisem (AWARIA), sygnalizują awarię urządzenia
Żółte lampki oznaczone napisem (Suchobieg), sygnalizują brak wody w studni pomp
głębinowych.
2.2.2 Ochrona budynku i zbiorników wody przed włamaniem
Obiekt zabezpieczony jest przed włamaniem poprzez
-
Budynek – krańcówki;
-
Ujęcia wody PG1, PG2 – Obudowy Lange nr1 i nr2 – krańcówki;
- 36 -
JM SANTECH
Modernizacja stacji uzdatniania wody w m. Maniewo gm. Oborniki
-
Zbiorniki wody Z1, Z2 - Włazy nr1 i nr2 – krańcówki;
Urządzenia sygnalizacyjne połączone są ze sterownikiem. Jeżeli po określonym czasie osoba,
która weszła do budynku nie wykona autoryzacji na panelu operatorskim LCD sterownik z
rozdzielni RZS-T wyśle komunikat alarmowy włamanie na wybrane telefony komórkowe
użytkownika.
2.2.3 Proponowane sygnały wysyłane na wybrane telefony komórkowe
-
Brak zasilania podstawowego RZS-T
-
Awaria urządzenia (tj. pompy głębinowej, pompy płucznej, pomp w odstojniku,
dmuchawy)
-
Suchobieg pomp głębinowych
-
Błąd płukania filtra
-
Wymagane płukanie filtra zasilanie z agregatu
-
Włamanie do budynku
-
Włamanie do zbiornika wody Z
-
Włamanie do studni głębinowych
Inwestor ma prawo dołożyć inne sygnały, które w jego odczuciu są ważne. Musi to jednak
uczynić w formie pisemnej przed rozruchem technologicznym.
- 37 -
JM SANTECH
Modernizacja stacji uzdatniania wody w m. Maniewo gm. Oborniki
III Instalacje elektryczne
Istniejącą instalację elektroenergetyczną w budynku stacji SUW należy zdemontować, instalację
oświetlenia wewnętrznego i zewnętrznego należy zdemontować. W ich miejsce projektuje się
nową instalację elektryczną.
1. Zestawienie urządzeń
Napięcie
L.p.
Typ urządzenia
Moc
Ilość Moc zainstalowana obliczeniowa
zasilania
-
-
Pi
Szt.
kW
kW
kW
kW
kW
47,21
2,2
23,63
Pompa Głębinowa PG1
400
1
2,2
2,2
2
Pompa Głębinowa PG2
400
1
2,2
2,2
Ogrzewanie obudowa Lange
230
1
0,2
0,2
230
1
0,2
0,2
4
PB
V
1
3
Moc
2,2
PG1
Ogrzewanie obudowa Lange
PG2
5
Dmuchawa D
400
1
3
3
6
Pompa Płuczna PP
400
1
1,5
1,5
7
Sprężarka S1
400
1
0,75 0,75
0,75
8
Sprężarka S2
400
1
2,2
2,2
9
Popma Odstojnika PO
400
1
0,75 0,75
10 Zestaw Hydoroforowy ZH
400
3
2,2
6,6
4,4
11 Chlorator Ch
230
1
0,03 0,03
0,03
12 Wentylator w chlorowni
400
1
0,03 0,03
230
1
0,04 0,04
230
14
0,07 1,01
230
4
0,01 0,04
13
14
15
Oświetlenie
wewnętrzne
2,2
3
0,0216
budynku "A
Oświetlenie wew. budynku
"B;C;D;E;F;H;I;J"
Oświetlenie zewn. i wewn.
0,0264
- 38 -
JM SANTECH
Modernizacja stacji uzdatniania wody w m. Maniewo gm. Oborniki
budynku "C,G"
230
5
0,1
0,5
400
4
2
8
pomieszczenia
400
2
2
4
pomieszczenia
230
1
0,3
0,3
20 Osuszacz powietrza
230
2
1
2
21 Podgrzewacz wody
230
1
1,5
1,5
400
1
4
4
230
2
2
4
230/24
1
400
1
16
Oświetlenie
zewnętrzne
budynku "H"
17 Ogrzewanie hali pomp G1
18
19
22
23
Ogrzewanie
4,8
inne G2
Ogrzewanie
inne G3
Gniazdo siłowe w budynku
2
sterowni
Gniazdo
jednofazowe
w
budynku sterowni
24 Gniazdo napięcie bezpieczne
25 Inne
-
Moc zainstalowana Pi=47,21 kW
-
Moc szczytowa-obliczeniowa PB=23,63 kW
-
Prąd szczytowo-obliczeniowy IB= 42,05 A
0,16 0,16
2
2
2
3. Instalacja elektryczna urządzeń
Instalację elektroenergetyczną prowadzić w korytach z PVC minimum 2x90x60mm. Koryta
montować nad oknami.
Obwody instalacji w hali filtrów i w pomieszczeniu agregatu należy umieścić w korycie z PVC o
wymiarach 90x60mm. W pozostałych pomieszczeniach prowadzić w korytkach z PVC koloru
białego 40x40mm
W Tabeli 1 pt. „Zestawienie przewodów i kabli” zestawiono przewody, które należy ułożyć
między rozdzielnicami, a urządzeniami. Tabela zawiera typ przewodu jego przewidywaną
długość oraz początek i koniec. Natomiast rysunek E5 pt: Plan instalacji elektrycznej i
oświetlenia” pokazuje lokalizację urządzeń układu technologicznego.
- 39 -
JM SANTECH
Modernizacja stacji uzdatniania wody w m. Maniewo gm. Oborniki
4. Instalacja oświetlenia wewnętrznego
Obliczenia dokonano dla produktów Philips i Nokalux. Obliczenia wykonano w programie Dialux
stosując się do wymagań PN-EN 12464-1 „Światło i oświetlenie Cz1. Oświetlenie miejsc pracy” i
załączono w Załączniku 4 pt: „Obliczenia natężenia oświetlenia wewnętrznego”
Plan rozmieszczenia opraw oświetlenia wewnętrznego przedstawiono na rysunku E5 pt: Plan
instalacji elektrycznej i oświetlenia”.
4.1 Pomieszczenie Techniczne
W pomieszczeniu tym zgodnie z PN-EN 12464-1 „Światło i oświetlenie Cz1. Oświetlenie miejsc
pracy” przyjęto, że na płaszczyźnie pracy należy spełnić 500lx. Wysokość montażu 2,5m,
montaż na zwieszakach. Płaszczyzna robocza h =0,85m. Do oświetlenia wnętrza zastosowano
oprawy przemysłowe Pacific TCW216 2xTL-D36W/830 IP 65 2x36W firmy Philips. Są to oprawy
do montażu na zwieszaku lub nasufitowego. Wykonane z tworzywa. Oprawy należy rozmieścić
zgodnie z wytycznymi z programu Dialux. Wyniki obliczeń dołączono w załączniku. Jedna z
opraw w każdym z pomieszczeń należy dodatkowo wyposażyć w moduł awaryjny pozwalający
na bezpiecznie opuszczenie pomieszczenia podczas zaniku napięcia.
Można zastosować oprawy innych producentów lecz podobnych parametrach jak przyjęte w
projekcie oprawy.
4.2 WC
W pomieszczeniu tym przyjęto 100lx jako poziom wystarczający. Do oświetlenia tych
pomieszczeń zastosowano oprawy typu Alien Maxi 2x18W. Wysokość montażu 3,6m. Jest to
opraw typu plafon montowana na suficie, wykonana z tworzywa sztucznego w kolorze białym.
Można zastosować oprawy innych producentów lecz podobnych parametrach jak przyjęte w
projekcie oprawy.
4.3 Agregatownia
W pomieszczeniu tym zgodnie z PN-EN 12464-1 „Światło i oświetlenie Cz1. Oświetlenie miejsc
pracy” przyjęto, że na płaszczyźnie pracy należy spełnić 200lx. Wysokość montażu opraw 3m.
Płaszczyzna robocza h =0,1m. Do oświetlenia wnętrza zastosowano oprawy przemysłowe
Pacific TCW216 2xTL-D36W/830 IP 65 2x36W
firmy Philips. Montaż na zwieszaku 0,5m.
Wykonane z tworzywa. Oprawy należy rozmieścić zgodnie z wytycznymi z programu Dialux.
Wyniki obliczeń dołączono w załączniku. Jedna z opraw w każdym z pomieszczeń należy
dodatkowo
wyposażyć
w
moduł
awaryjny
pozwalający na
bezpiecznie
opuszczenie
pomieszczenia podczas zaniku napięcia.
- 40 -
JM SANTECH
Modernizacja stacji uzdatniania wody w m. Maniewo gm. Oborniki
Można zastosować oprawy innych producentów lecz podobnych parametrach jak przyjęte w
projekcie oprawy.
4.4 Sprężarkownia
W pomieszczeniu tym zgodnie z PN-EN 12464-1 „Światło i oświetlenie Cz1. Oświetlenie miejsc
pracy” przyjęto, że na płaszczyźnie pracy należy spełnić 200lx. Wysokość montażu opraw 3m.
Płaszczyzna robocza h =0,1m. Do oświetlenia wnętrza zastosowano oprawy przemysłowe
Pacific TCW216 2xTL-D36W/830 IP 65 2x36W
firmy Philips. Montaż na zwieszaku 0,5m.
Wykonane z tworzywa. Oprawy należy rozmieścić zgodnie z wytycznymi z programu Dialux.
Wyniki obliczeń dołączono w załączniku. Jedna z opraw w każdym z pomieszczeń należy
dodatkowo
wyposażyć
w
moduł
awaryjny
pozwalający na
bezpiecznie
opuszczenie
pomieszczenia podczas zaniku napięcia.
Można zastosować oprawy innych producentów lecz podobnych parametrach jak przyjęte w
projekcie oprawy.
4.5 Chlorownia
W pomieszczeniu tym zgodnie z PN-EN 12464-1 „Światło i oświetlenie Cz1. Oświetlenie miejsc
pracy” przyjęto, że na płaszczyźnie pracy należy spełnić 200lx. Wysokość montażu opraw 3m.
Płaszczyzna robocza h =0,1m. Do oświetlenia wnętrza zastosowano oprawy przemysłowe
Pacific TCW216 2xTL-D36W/830 IP 65 2x36W
firmy Philips. Montaż na zwieszaku 0,5m.
Wykonane z tworzywa. Oprawy należy rozmieścić zgodnie z wytycznymi z programu Dialux.
Wyniki obliczeń dołączono w załączniku. Jedna z opraw w każdym z pomieszczeń należy
dodatkowo
wyposażyć
w
moduł
awaryjny
pozwalający na
bezpiecznie
opuszczenie
pomieszczenia podczas zaniku napięcia.
Można zastosować oprawy innych producentów lecz podobnych parametrach jak przyjęte w
projekcie oprawy.
4.6 Hala Filtrów
W pomieszczeniu tym zgodnie z PN-EN 12464-1 należy zapewnić 200lx na miejscu pracy.
Wysokość montażu 2,5m. Płaszczyzna robocza h =0,1m. W projekcie zastosowano również
oprawy przemysłowe Pacific TCW216 2xTL-D36W/830 IP 65 2x36W firmy Philips. Oprawy
należy rozmieścić zgodnie z wytycznymi z programu Dialux. Wyniki obliczeń dołączono w
załączniku. Można zastosować oprawy innych producentów lecz podobnych parametrach jak
- 41 -
JM SANTECH
Modernizacja stacji uzdatniania wody w m. Maniewo gm. Oborniki
przyjęte w projekcie oprawy. W obszarze zestawów filtrujących oprawy zamontować w
przestrzeniach miedzy poszczególnymi zbiornikami.
5. Instalacja oświetlenia zewnętrznego
Istniejące oświetlenie zewnętrzne składające się z czterech opraw typu opraw typu SGS104
1xSON-TPP70W firmy Philips na wysięgniku (zastosować wysięgniki W=1m, kąt 15 stopni), oraz
nad wejściami do pomieszczeń składające się opraw typu PK211 (11W). Połączenie oprawy
zewnętrznej
z
instalacją
elektryczną
następuje
w
środku
budynku
poprzez
puszki
przyłączeniowe. Instalację elektryczną zaprojektowano przewodami YDYżo 3x1,5mm2 , o
napięciu znamionowym izolacji 750V
Oświetlenie zewnętrzne załączane jest ręcznie, lub za pośrednictwem automatu zmierzchowego
z rozdzielnicy RG. Plan rozmieszczenia opraw oświetlenia zewnętrznego przedstawiono na
rysunku E5 pt: Plan instalacji elektrycznej i oświetlenia”
6. Instalacja gniazd jednofazowych i siłowych
Instalację gniazd jednofazowych i siłowych zaprojektowano przewodami YDYżo 2x2,5mm2 ,
YDYżo 3x1,5mm2 , YDYżo 3x2,5mm2 , YDYżo 5x2,5mm2 o napięciu znamionowym izolacji
750V. Instalację gniazd prowadzić w głównych trasach kablowych w korytkach metalowych
150x50mm, a odejścia w korytach plastikowych natynkowych. Osprzęt instalacyjny stosować
bryzgoszczelny.
Plan rozmieszczenia gniazd przedstawiono na rysunku E5 pt: Plan instalacji elektrycznej i
oświetlenia”.
7. Instalacja ogrzewania
a) Ogrzewanie Hala filtrów
Ogrzewanie hali filtrów realizowane jest poprzez piece akumulacyjne z dynamicznym
rozładowaniem wykonane w II klasie ochronności. Dobrano pięć pieców akumulacyjnych z
dynamicznym rozładowaniem o mocy 2,0kW/400V każdy. Do pieca akumulacyjnego z
dynamicznym rozładowaniem należy doprowadzić przewód YDYżo 5x2,5mm2 (zasilanie
grzałki), oraz YDYżo 3x1,5mm2 (zasilanie wentylatora). Podłączenia pieca akumulacyjnego
wykonać poprzez puszki.
- 42 -
JM SANTECH
Modernizacja stacji uzdatniania wody w m. Maniewo gm. Oborniki
Sterowanie piecem akumulacyjnym z dynamicznym rozładowaniem realizowane jest dwu torowo
tzn.
−
zasilanie grzałki pieców akumulacyjnych odbywa się za pomocą zegara sterującego
PCZ-521.1, który to załącza stycznik. Nastawy czasowe programatora muszą być
zgodnie ze strefami czasowymi zakwalifikowanymi do grupy taryfowej C12a (jeżeli
inwestor zdecyduje się na taką taryfę). Dane te publikowane są stronie internetowej
zakładu energetycznego.
−
zasilanie wentylatora pieców akumulacyjnych realizowane jest poprzez regulator
temperatury RT typu Auraton 2020. Regulator zlokalizowany jest zgodnie z rysunkiem E5
pt: Plan instalacji elektrycznej i oświetlenia”. Wymagana temperatura pomieszczenia
nastawiana jest na regulatorze.
Taki sposób sterowania pozwala na duże oszczędności, ponieważ rozładowanie cieplne pieca
akumulacyjnego następuje poprzez nastawę temperatury pomieszczenia (np.+18°C) na
regulatorze RT. W zależności od stopnia rozładowania pieca akumulacyjnego następuje jego
doładowanie w czasie tańszej strefy czasowej. Wyłączenie ładowania pieca akumulacyjnego
następuje poprzez wewnętrzny termostat pieca.
Grzejniki zlokalizowane są zgodnie z rysunkiem E5 pt: Plan instalacji elektrycznej i oświetlenia”.
Całość instalacji wykonać zgodnie z normą PN-IEC-60364.
b) Ogrzewanie pozostałe pomieszczenia
Ogrzewanie pozostałych pomieszczeń realizowane jest poprzez piece akumulacyjne z
dynamicznym rozładowaniem wykonane w II klasie ochronności. Do pieca akumulacyjnego z
dynamicznym rozładowaniem należy doprowadzić przewód YDYżo 5x2,5mm2 (zasilanie
grzałki). Podłączenia pieca akumulacyjnego wykonać poprzez puszki. Sterowanie piecem
akumulacyjnym z dynamicznym rozładowaniem realizowane w tych pomieszczeniach od
wbudowanego termostatu.
Grzejniki zlokalizowane są zgodnie z rysunkiem E5 pt: Plan instalacji elektrycznej i oświetlenia”.
Całość instalacji wykonać zgodnie z normą PN-IEC-60364.
c) Ogrzewanie łazienki
Ogrzewanie łazienki realizowane jest poprzez grzejnik elektryczny w I klasie ochronności
łazienkowy o mocy 0,3kW/230V z wbudowanym termostatem. Zasilanie grzejnika odbywać się
będzie z opisanego wcześniej obwodu gniazd 230V (obwód gniazd łazienka) przewodem YDYżo
- 43 -
JM SANTECH
Modernizacja stacji uzdatniania wody w m. Maniewo gm. Oborniki
3x2,5mm2. Podłączenie grzejnika wykonać rozłącznie gniazdo-wtyka. Sterowanie grzejnikiem
odbywa się za pomocą wbudowanego termostatu.
Grzejnik zlokalizowany jest zgodnie z rysunkiem E5 pt: Plan instalacji elektrycznej i oświetlenia”
Całość instalacji wykonać zgodnie z normą PN-IEC-60364.
8. Instalacja wyrównawcza
Instalacja uziemienia budynku pozostaje bez zmian. Przedłożone protokoły pomiarów są
prawidłowe. Istniejące wejścia bednarki do budynku zostaną wykorzystane do przyłączenia
połączeń wyrównawczych. Istniejące połączenia wyrównawcze należy zdemontować.
Do połączenia wyrównawczego należy przyłączyć: ramę zestawu hydroforowego, zbiorniki
filtrów obudowy rozdzielnic, konstrukcje, instalacje rurowe, oraz punkt rozdziału przewodu
neutralno-ochronnego PEN na przewód ochronny PE i neutralny N.
Plan prowadzenia połączeń wyrównawczych pokazany jest na rysunku E5 pt: Plan instalacji
elektrycznej i oświetlenia”
9. Prowadzenie kabli zewnętrznych
Przewody w ziemi układać w rowach kablowych o głębokości 0,8m na 10-cio
centymetrowej podsypce z piasku, następnie ułożone przewody należy zasypać warstwą piasku
o grubości 10cm i warstwą gruntu rodzimego bez kamieni o grubości co najmniej 20cm i
przykryć folią koloru niebieskiego wzdłuż całej trasy przewodów. Folia z tworzywa sztucznego
powinna mieć grubość co najmniej 0,5mm i szerokość taką , aby przykrywała ułożone przewody.
Przy układaniu przewodów należy je zginać tylko w przypadku koniecznym, przy czym promień
zgięcia powinien być możliwie duży i nie mniejszy niż 10-krotna zewnętrzna średnica przewodu.
Przewody przy wprowadzaniu do budynku należy zabezpieczyć przed uszkodzeniami
mechanicznymi wmurowaną osłoną. Osłony ułożyć ze spadkiem na zewnątrz budynku.
Wprowadzając przewody do budynku, należy na zewnątrz pozostawić ich zapas w postaci pętli
ułożonej w ziemi. Po wciągnięciu przewodów do wnętrza budynku przez rury, oba końce rur
należy uszczelnić, aby zapobiec przedostawaniu się wody do wnętrza budynku.
Prowadzenie kabli na zewnątrz pokazuje rysunek nr E1 „Plan sytuacyjny - szkic. Kable
zewnętrzne”
Po zakończonych robotach montażowych, przywrócić nawierzchnię do stanu pierwotnego.
- 44 -
JM SANTECH
Modernizacja stacji uzdatniania wody w m. Maniewo gm. Oborniki
10. Zbiornik wody
W budynku w pomieszczeniu hali pomp zainstalowano rurę która odzwierciedla poziom w
zbiorniku będąc naczyniem połączonym. Przy tej rurze należy zainstalować Skrzynkę
Pośredniczącą wykonaną z tworzywa sztucznego o stopniu ochrony IP 65 i wymiarach
270x180x170mm ze złączkami 4mm2 3szt. Należy je oznaczyć SP-Z. Składowanie skrzynek
powinno odbywać się w zamkniętym, suchym pomieszczeniu, zabezpieczonym przed
dostawaniem się kurzu i przed uszkodzeniami mechanicznymi. Do zainstalowanych skrzynek
należy wprowadzić i podłączyć sondę hydrostatyczną.
Ze względu na ochronę obiektu przewiduje się zainstalowanie krańcówek do włazów klap
zbiorników, do których to krańcówek należy poprowadzić kable zewnętrzne zgodnie z Tabelą 1
pt. „Zestawienie przewodów i kabli”.
Stosować materiały równoważne pod względem jakości i zatwierdzone.
11. Ujęcia wody SW
W ujęciach studni pomp głębinowych należy zastosować prefabrykowane obudowy studni
głębinowych -wersję kompletną typu „LANGE”. Obudowa Lange wyposażona jest fabrycznie w
skrzynkę elektryczną z rozłącznikiem, w której to należy zamontować złączkami 35mm2- 4szt,
4mm2- 6szt. Skrzynki elektryczne należy oznaczyć SP-PG1 – dla studni 1 i SP-PG2 – dla studni
2.Do skrzynek wprowadzić przewód od pompy głębinowej oraz przewód od krańcówki
sygnalizującej otwarcie obudowy zgodnie z Tabelą 1 pt. „Zestawienie przewodów i kabli”.
Schemat połączeń skrzynek pośredniczących, przedstawiony jest na rysunku E3 pt.
„Rozdzielnia Zasilająco Sterownicza Technologii RZS-T”.
13. Odstojnik popłuczyn
Obok zbiornika popłuczyn zamontowana jest Skrzynka Pośrednicząca SP-O, do której należy
przyłączyć kabel zasilający pompy PO1 oraz sondę hydrostatyczą zgodnie z Tabelą 1 pt.
„Zestawienie przewodów i kabli”. Dobrano obudowę ART.-55 produkcji Uriarte Polska wykonaną
z tłoczywa poliestrowo-szklanego termoutwardzanego IP44 w kolorze RAL 7035 o wymiarach
500x500x300mm z fundamentem F1-500 ze złączkami 4mm2
-
10szt w środku, należy ją
oznaczyć napisem SP-PO. Schemat połączeń projektowanej skrzynki pośredniczącej, oraz
wygląd przedstawiony jest na rysunku E4 pt. „Skrzynki Pośredniczące SP-PO, SP-Z”.
- 45 -
JM SANTECH
Modernizacja stacji uzdatniania wody w m. Maniewo gm. Oborniki
14. Ochrona przeciwporażeniowa
Jako dodatkową ochronę zastosowano szybkie wyłączenie uszkodzonego obwodu poprzez:
−
wyłączniki silnikowe z wyzwalaczami zwarciowymi bezzwłocznymi;
−
dobór wielkości zabezpieczeń dla poszczególnych odbiorów;
−
wyłącznik różnicowo-pradowy;
−
połączenia wyrównawcze;
Nastawy zabezpieczeń zwarciowych i przeciążeniowych należy nastawić w czasie prac
rozruchowych, uwzględniając faktyczne warunki rozruchu silnika pomp.
Skuteczność ochrony przeciwporażeniowej potwierdzić pomiarami po zakończeniu prac
montażowych i przekazać protokoły użytkownikowi PN-IEC-60364-4-41.
15. Uwagi końcowe
Całość instalacji elektrycznej należy wykonać zgodnie z „ warunkami technicznymi wykonania i
odbioru robót budowlano-montażowych tom V – Instalacje elektryczne”.
- 46 -
JM SANTECH
Modernizacja stacji uzdatniania wody w m. Maniewo gm. Oborniki
IV Rysunki
Rys. E1 Plan sytuacyjny - szkic. Kable zewnętrzne
Rys. E2 Rozdzielnia Główna RG
Rys. E3 Rozdzielnia Zasilająco Sterownicza Technologii RZS-T
Rys. E4 Skrzynki Pośredniczące SP-PO, SP-Z
Rys. E5 Plan instalacji elektrycznej i oświetlenia
- 47 -
JM SANTECH
Modernizacja stacji uzdatniania wody w m. Maniewo gm. Oborniki
V Tabele
Tabela 1 pt. „Zestawienie przewodów i kabli”.
Tabela 2 pt. „Zestawienie materiałów rozdzielni RG”
Tabela 3 pt: „Zestawienie materiałów rozdzielni RZS-T”
- 53 -