j. polski - ZS1 Goleniów

Transkrypt

j. polski - ZS1 Goleniów
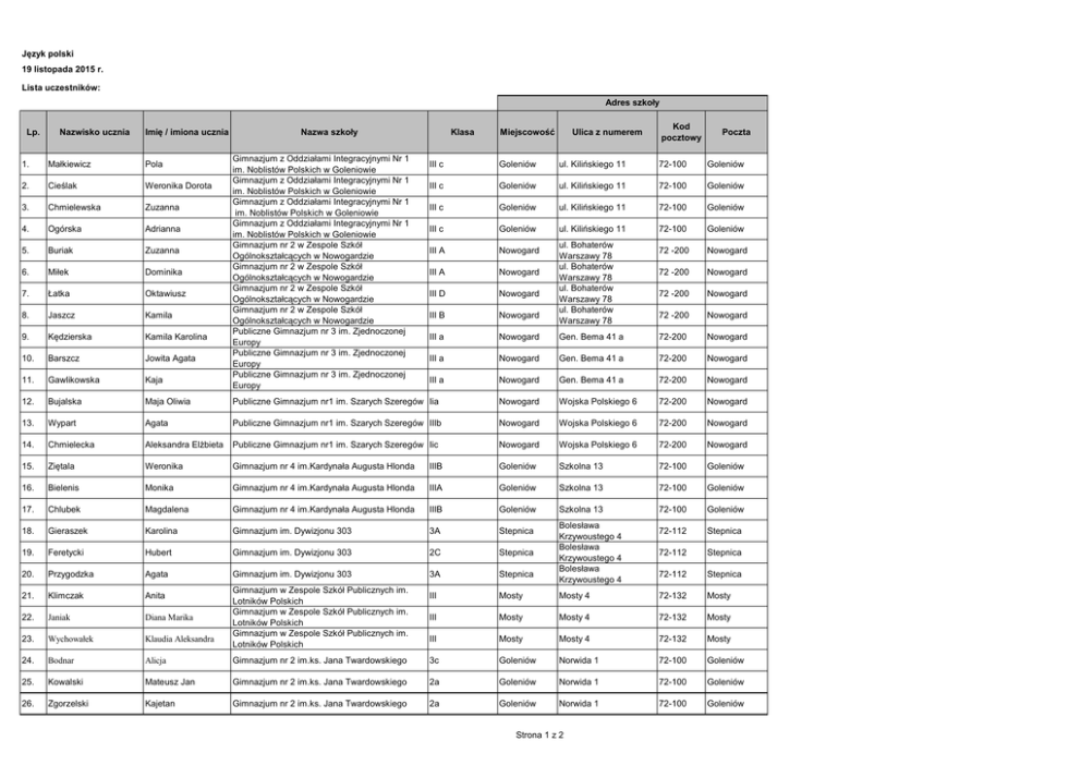
Język polski
19 listopada 2015 r.
Lista uczestników:
Adres szkoły
Lp.
Nazwisko ucznia
Imię / imiona ucznia
1.
Małkiewicz
Pola
2.
Cieślak
Weronika Dorota
3.
Chmielewska
Zuzanna
4.
Ogórska
Adrianna
5.
Buriak
Zuzanna
6.
Miłek
Dominika
7.
Łatka
Oktawiusz
8.
Jaszcz
Kamila
9.
Kędzierska
Kamila Karolina
10.
Barszcz
Jowita Agata
11.
Gawlikowska
Kaja
12.
Bujalska
Maja Oliwia
13.
Wypart
14.
Nazwa szkoły
Gimnazjum z Oddziałami Integracyjnymi Nr 1
im. Noblistów Polskich w Goleniowie
Gimnazjum z Oddziałami Integracyjnymi Nr 1
im. Noblistów Polskich w Goleniowie
Gimnazjum z Oddziałami Integracyjnymi Nr 1
im. Noblistów Polskich w Goleniowie
Gimnazjum z Oddziałami Integracyjnymi Nr 1
im. Noblistów Polskich w Goleniowie
Gimnazjum nr 2 w Zespole Szkół
Ogólnokształcących w Nowogardzie
Gimnazjum nr 2 w Zespole Szkół
Ogólnokształcących w Nowogardzie
Gimnazjum nr 2 w Zespole Szkół
Ogólnokształcących w Nowogardzie
Gimnazjum nr 2 w Zespole Szkół
Ogólnokształcących w Nowogardzie
Publiczne Gimnazjum nr 3 im. Zjednoczonej
Europy
Publiczne Gimnazjum nr 3 im. Zjednoczonej
Europy
Publiczne Gimnazjum nr 3 im. Zjednoczonej
Europy
Klasa
Miejscowość
Ulica z numerem
Kod
pocztowy
Poczta
III c
Goleniów
ul. Kilińskiego 11
72-100
Goleniów
III c
Goleniów
ul. Kilińskiego 11
72-100
Goleniów
III c
Goleniów
ul. Kilińskiego 11
72-100
Goleniów
III c
Goleniów
ul. Kilińskiego 11
72-100
Goleniów
72 -200
Nowogard
72 -200
Nowogard
72 -200
Nowogard
72 -200
Nowogard
ul. Bohaterów
Warszawy 78
ul. Bohaterów
Warszawy 78
ul. Bohaterów
Warszawy 78
ul. Bohaterów
Warszawy 78
III A
Nowogard
III A
Nowogard
III D
Nowogard
III B
Nowogard
III a
Nowogard
Gen. Bema 41 a
72-200
Nowogard
III a
Nowogard
Gen. Bema 41 a
72-200
Nowogard
III a
Nowogard
Gen. Bema 41 a
72-200
Nowogard
Publiczne Gimnazjum nr1 im. Szarych Szeregów Iia
Nowogard
Wojska Polskiego 6
72-200
Nowogard
Agata
Publiczne Gimnazjum nr1 im. Szarych Szeregów IIIb
Nowogard
Wojska Polskiego 6
72-200
Nowogard
Chmielecka
Aleksandra Elżbieta
Publiczne Gimnazjum nr1 im. Szarych Szeregów Iic
Nowogard
Wojska Polskiego 6
72-200
Nowogard
15.
Ziętala
Weronika
Gimnazjum nr 4 im.Kardynała Augusta Hlonda
IIIB
Goleniów
Szkolna 13
72-100
Goleniów
16.
Bielenis
Monika
Gimnazjum nr 4 im.Kardynała Augusta Hlonda
IIIA
Goleniów
Szkolna 13
72-100
Goleniów
17.
Chlubek
Magdalena
Gimnazjum nr 4 im.Kardynała Augusta Hlonda
IIIB
Goleniów
Szkolna 13
72-100
Goleniów
72-112
Stepnica
72-112
Stepnica
72-112
Stepnica
Bolesława
Krzywoustego 4
Bolesława
Krzywoustego 4
Bolesława
Krzywoustego 4
18.
Gieraszek
Karolina
Gimnazjum im. Dywizjonu 303
3A
Stepnica
19.
Feretycki
Hubert
Gimnazjum im. Dywizjonu 303
2C
Stepnica
20.
Przygodzka
Agata
Gimnazjum im. Dywizjonu 303
3A
Stepnica
III
Mosty
Mosty 4
72-132
Mosty
III
Mosty
Mosty 4
72-132
Mosty
III
Mosty
Mosty 4
72-132
Mosty
Gimnazjum w Zespole Szkół Publicznych im.
Lotników Polskich
Gimnazjum w Zespole Szkół Publicznych im.
Lotników Polskich
Gimnazjum w Zespole Szkół Publicznych im.
Lotników Polskich
21.
Klimczak
Anita
22.
Janiak
Diana Marika
23.
Wychowałek
Klaudia Aleksandra
24.
Bodnar
Alicja
Gimnazjum nr 2 im.ks. Jana Twardowskiego
3c
Goleniów
Norwida 1
72-100
Goleniów
25.
Kowalski
Mateusz Jan
Gimnazjum nr 2 im.ks. Jana Twardowskiego
2a
Goleniów
Norwida 1
72-100
Goleniów
26.
Zgorzelski
Kajetan
Gimnazjum nr 2 im.ks. Jana Twardowskiego
2a
Goleniów
Norwida 1
72-100
Goleniów
Strona 1 z 2
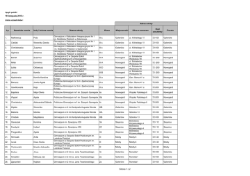
27.
Pierzchała
Justyna
Gimnazjum nr 2 im.ks. Jana Twardowskiego
3c
Goleniów
28.
Grzeszczyk
Joanna Karolina
Publiczne Gimnazjum w Osinie
III
Osina
29.
Walczak
Natalia
Gimnazjum Publiczne im.Noblistów Polskich
III
Przybiernów
Mieszka I 1
72-110
Przybiernów
30.
Romanus
Wiktoria Anna
Gimnazjum Publiczne im.Noblistów Polskich
III
Przybiernów
Mieszka I 1
72-110
Przybiernów
31.
Mikłasz
Miłosz Grzegorz
Gimnazjum Publiczne im.Noblistów Polskich
III
Przybiernów
Mieszka I 1
72-110
Przybiernów
32.
Płóciennik
Weronika
Gimnazjum im. Jana Pawła II w Maszewie
III c
Maszewo
Szkolna 14
72-130
Maszewo
33.
Belka
Anna Maria
Gimnazjum im. Jana Pawła II w Maszewie
III b
Maszewo
Szkolna 14
72-130
Maszewo
34.
Alama
Natalia Agata
Gimnazjum im. Jana Pawła II w Maszewie
III b
Maszewo
Szkolna 14
72-130
Maszewo
Piastowska 11
72-123
Piastowska 11
72-123
Piastowska 11
72-123
35.
36.
37.
Laskowska
Julia Anna
Przygodzka
Maja
Polus
Maja Julia
Gimnazjum im. Polskich Olimpijczyków w
Kliniskach Wielkich
Gimnazjum im. Polskich Olimpijczyków w
Kliniskach Wielkich
Gimnazjum im. Polskich Olimpijczyków w
Kliniskach Wielkich
3B
3B
3A
Kliniska
Wielkie
Kliniska
Wielkie
Kliniska
Wielkie
Norwida 1
72-100
54 72-221
Strona 2 z 2
Goleniów
Osina
Kliniska
Wielkie
Kliniska
Wielkie
Kliniska
Wielkie