Korzystając z poznanych w czasie zajęć znaczników języka HTML

Transkrypt

Korzystając z poznanych w czasie zajęć znaczników języka HTML
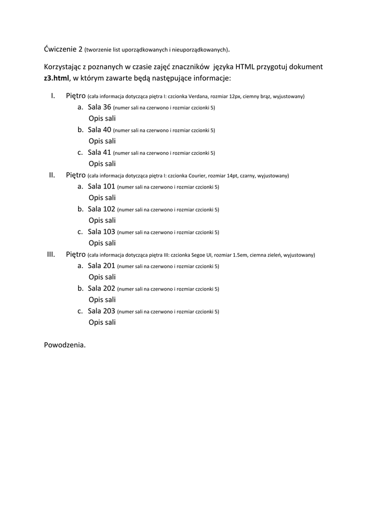
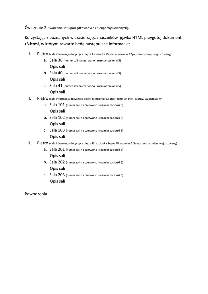
Ćwiczenie 2 (tworzenie list uporządkowanych i nieuporządkowanych).
Korzystając z poznanych w czasie zajęć znaczników języka HTML przygotuj dokument
z3.html, w którym zawarte będą następujące informacje:
I.
II.
III.
Piętro (cała informacja dotycząca piętra I: czcionka Verdana, rozmiar 12px, ciemny brąz, wyjustowany)
a. Sala 36 (numer sali na czerwono i rozmiar czcionki 5)
Opis sali
b. Sala 40 (numer sali na czerwono i rozmiar czcionki 5)
Opis sali
c. Sala 41 (numer sali na czerwono i rozmiar czcionki 5)
Opis sali
Piętro (cała informacja dotycząca piętra I: czcionka Courier, rozmiar 14pt, czarny, wyjustowany)
a. Sala 101 (numer sali na czerwono i rozmiar czcionki 5)
Opis sali
b. Sala 102 (numer sali na czerwono i rozmiar czcionki 5)
Opis sali
c. Sala 103 (numer sali na czerwono i rozmiar czcionki 5)
Opis sali
Piętro (cała informacja dotycząca piętra III: czcionka Segoe UI, rozmiar 1.5em, ciemna zieleń, wyjustowany)
a. Sala 201 (numer sali na czerwono i rozmiar czcionki 5)
Opis sali
b. Sala 202 (numer sali na czerwono i rozmiar czcionki 5)
Opis sali
c. Sala 203 (numer sali na czerwono i rozmiar czcionki 5)
Opis sali
Powodzenia.