Ja.............................................................niniejszym informuję

Transkrypt

Ja.............................................................niniejszym informuję
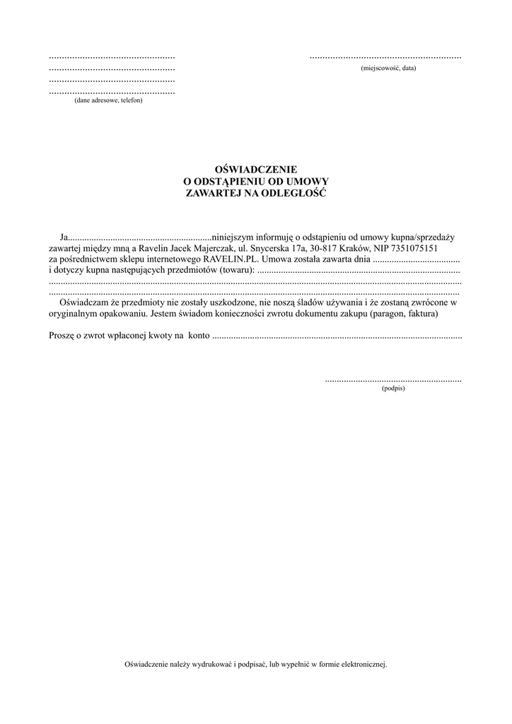
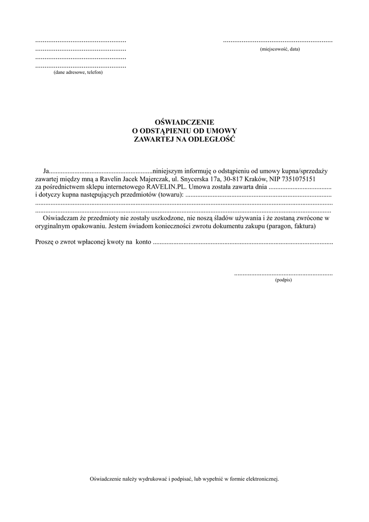
.................................................
.................................................
.................................................
.................................................
...........................................................
(miejscowość, data)
(dane adresowe, telefon)
OŚWIADCZENIE
O ODSTĄPIENIU OD UMOWY
ZAWARTEJ NA ODLEGŁOŚĆ
Ja.............................................................niniejszym informuję o odstąpieniu od umowy kupna/sprzedaży
zawartej między mną a Ravelin Jacek Majerczak, ul. Snycerska 17a, 30-817 Kraków, NIP 7351075151
za pośrednictwem sklepu internetowego RAVELIN.PL. Umowa została zawarta dnia .....................................
i dotyczy kupna następujących przedmiotów (towaru): ......................................................................................
...............................................................................................................................................................................
..............................................................................................................................................................................
Oświadczam że przedmioty nie zostały uszkodzone, nie noszą śladów używania i że zostaną zwrócone w
oryginalnym opakowaniu. Jestem świadom konieczności zwrotu dokumentu zakupu (paragon, faktura)
Proszę o zwrot wpłaconej kwoty na konto ..........................................................................................................
..........................................................
(podpis)
Oświadczenie należy wydrukować i podpisać, lub wypełnić w formie elektronicznej.