Zamienny opis techniczny

Transkrypt

Zamienny opis techniczny
1
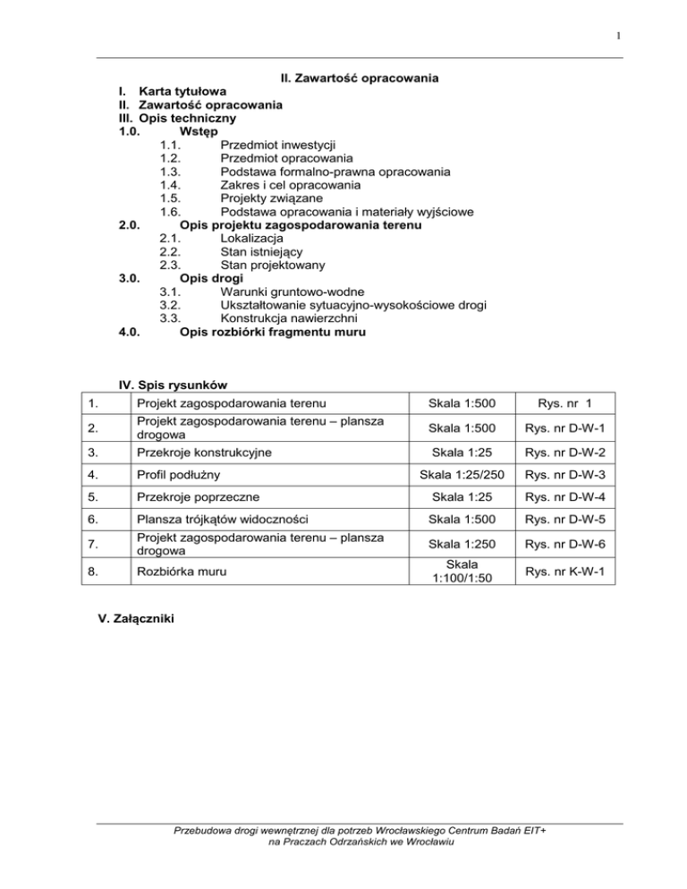
II. Zawartość opracowania
I. Karta tytułowa
II. Zawartość opracowania
III. Opis techniczny
1.0.
Wstęp
1.1.
Przedmiot inwestycji
1.2.
Przedmiot opracowania
1.3.
Podstawa formalno-prawna opracowania
1.4.
Zakres i cel opracowania
1.5.
Projekty związane
1.6.
Podstawa opracowania i materiały wyjściowe
2.0.
Opis projektu zagospodarowania terenu
2.1.
Lokalizacja
2.2.
Stan istniejący
2.3.
Stan projektowany
3.0.
Opis drogi
3.1.
Warunki gruntowo-wodne
3.2.
Ukształtowanie sytuacyjno-wysokościowe drogi
3.3.
Konstrukcja nawierzchni
4.0.
Opis rozbiórki fragmentu muru
IV. Spis rysunków
1.
Projekt zagospodarowania terenu
Skala 1:500
Rys. nr 1
2.
Projekt zagospodarowania terenu – plansza
drogowa
Skala 1:500
Rys. nr D-W-1
3.
Przekroje konstrukcyjne
Skala 1:25
Rys. nr D-W-2
4.
Profil podłużny
Skala 1:25/250
Rys. nr D-W-3
5.
Przekroje poprzeczne
Skala 1:25
Rys. nr D-W-4
6.
Plansza trójkątów widoczności
Skala 1:500
Rys. nr D-W-5
7.
Projekt zagospodarowania terenu – plansza
drogowa
Skala 1:250
Rys. nr D-W-6
8.
Rozbiórka muru
Skala
1:100/1:50
Rys. nr K-W-1
V. Załączniki
Przebudowa drogi wewnętrznej dla potrzeb Wrocławskiego Centrum Badań EIT+
na Praczach Odrzańskich we Wrocławiu
2
III. Opis techniczny
1.0.
Wstęp
1.1.
Przedmiot inwestycji
Przedmiotem inwestycji jest przebudowa układu drogowego w rejonie siedziby EIT+ na
Praczach Odrzańskich we Wrocławiu.
W zakres inwestycji wchodzi, zgodnie z warunkami zamówienia wykonanie jezdni
i jednostronnego chodnika w pasie drogowym ul. Prackiej wraz z drogą wewnętrzną
w rejonie siedziby EIT+.
Przedmiot inwestycji podzielono na 2 zadania.
Zadanie 1. obejmuje przebudowę drogi gminnej - ulicy Prackiej od skrzyżowania z ulicą
Stabłowicką we Wrocławiu na odcinku około 106 m.
Zadanie to będzie realizowane zgodnie ze ZRID.
Zadanie 2. obejmuje przebudowę drogi wewnętrznej od ulicy Prackiej we Wrocławiu na
odcinku około 87 m dla potrzeb Wrocławskiego Centrum Badań EIT+.
1.2.
Przedmiot opracowania
Przedmiotem opracowania jest projekt wykonawczy przebudowy drogi wewnętrznej, dla
potrzeb Wrocławskiego Centrum Badawczego EIT+ wraz z rozbiórką fragmentu muru.
1.3.
Podstawa formalno-prawna opracowania
Podstawę opracowania stanowi umowa nr TXZ/TPR/093/81/2015 z dnia 27.03.2015r.
zawarta pomiędzy Zarządem Dróg i Utrzymania Miasta z/s we Wrocławiu
a firmą Biuro Projektowania, Wycen i Obrotu Nieruchomościami mgr inż. Ryszard Borek z/s
w Dzierżoniowie.
1.4.
Zakres i cel opracowania
Zakres opracowania obejmuje rozwiązania sytuacyjno - wysokościowe oraz konstrukcyjne
nawierzchni drogi wewnętrznej dla potrzeb komunikacji samochodowej i pieszej,
odwodnienie drogi oraz rozbiórkę fragmentu muru.
Droga wewnętrzna realizowana jest dla potrzeb Wrocławskiego Centrum Badań EIT+ oraz
innych użytkowników kompleksu obiektów usytuowanych na Terenie Dawnego Zespołu
Szpitalnego przy ul. Stabłowickiej 147/149 we Wrocławiu wpisanego do rejestru zabytków
pod numerem A/2345/460/Wm.
1.5.
Projekty związane
1. Projekt wykonawczy kanalizacji deszczowej.
1.6.
•
•
•
•
•
•
•
•
•
•
•
•
Podstawa opracowania i materiały wyjściowe
Mapa zasadnicza do celów projektowych w skali 1:500
Projekt budowlany przebudowy drogi wewnętrznej, dla potrzeb Wrocławskiego
Centrum Badawczego EIT+ wraz z budową kanalizacji deszczowej i rozbiórką
fragmentu muru.
Rozporządzenie MTiGM z dnia 2 marca 1999r. w sprawie warunków technicznych
jakim powinny odpowiadać drogi publiczne i ich usytuowanie (Dz.U. Nr 43 poz. 430
z dnia 14 maja 1999r.)
RMI z dnia 3 lipca 2003r. w/s szczegółowych warunków technicznych dla znaków i
sygnałów drogowych oraz urządzeń bezpieczeństwa ruchu drogowego i warunków
ich umieszczania na drogach (Dz. U. Nr 220, poz.2181)
Specyfikacja istotnych warunków zamówienia
Wytyczne ZDIUM we Wrocławiu
Uzgodnienia ze ZDIUM we Wrocławiu
WT-2, Nawierzchnie asfaltowe na drogach publicznych
Katalog standardów nawierzchni chodników dla Wrocławia, Wrocław 2013
Opinia Miejskiego Konserwatora Zabytków we Wrocławiu – MKZ-ZZ.410.92.2015
z dnia 14.07.2015r.
Opinia geotechniczna opracowana przez GeoJust Spółka Cywilna-Czerwiec 2015r.
Uzgodnienia międzybranżowe
Przebudowa drogi wewnętrznej dla potrzeb Wrocławskiego Centrum Badań EIT+
na Praczach Odrzańskich we Wrocławiu
3
•
Obowiązujące przepisy i normatywy.
2.0. OPIS PROJEKTU ZAGOSPODAROWANIA TERENU
2.1. Lokalizacja
Przedmiotowa droga wewnętrzna
wraz z podlegającym rozbiórce fragmentem muru
zlokalizowane są na działkach 1/16,1/17, 1/18, 1/22 AM 30 obręb Pracze Odrzańskie we
Wrocławiu w rejonie siedziby EIT+ na Terenie Dawnego Zespołu Szpitalnego przy
ul. Stabłowickiej 147/149 we Wrocławiu wpisanego do rejestru zabytków pod numerem
A/2345/460/Wm.
2.2. Stan istniejący
2.2.1. Istniejący układ drogowy
Droga wewnętrzna na odcinku objętym opracowaniem posiada jezdnię z kostki kamiennej
szer. ok. 4,00m.
Ul. Pracka do której włącza się komunikacyjnie drogę wewnętrzną posiada jezdnię z kostki
kamiennej szer. ok. 3,50 m z obustronnymi poboczami gruntowymi.
2.2.2. Istniejące uzbrojenie w obrębie drogi wewnętrznej
Uzbrojenie w pobliżu i obrębie projektowanej drogi wewnętrznej stanowią sieci:
- wodociągowa o średnicach: Ø80,
- gazowa czynna o średnicy: Ø315, gA50 nieczynna
- kanalizacji deszczowej o średnicy: Ø600,
- kanalizacji sanitarnej o średnicy: Ø150,
- cieplna cA250 nieczynna, 2xcA130 nieczynna,
- telekomunikacyjna,
- podziemna sieć energetyczna
2.2.3. Istniejący mur ogrodzeniowy
Na granicy pomiędzy pasem drogi gminnej – ul. Prackiej (dz. nr 52 AM 30, obręb Pracze
Odrzańskie) a istniejącą drogą wewnętrzną (usytuowaną na dz. nr 1/17 AM 30, obręb
Pracze Odrzańskie) znajduje się mur ogrodzeniowy z cegły pełnej grubości 1,5 c i wysokości
3,20 m.
Mur u góry zakończony jest daszkiem betonowym dwuspadowym..
W przeszłości zamurowano fragment muru na szerokości drogi wewnętrznej, która miała
bezpośrednie połączenie komunikacyjne z ulicą Pracką.
2.3. Stan projektowany
Projekt zakłada przebudowę ulicy wewnętrznej o szerokości 4,0m od skrzyżowania z ulicą
Pracką.
Dla zrealizowania połączenia projektowanej drogi wewnętrznej z ul. Pracą należy wyburzyć
fragment istniejącego muru.
Wody opadowe z projektowanej części ulicy będą odprowadzone do projektowanej
kanalizacji deszczowej w ulicy Prackiej.
3.0. OPIS DROGI
3.1. Warunki gruntowo-wodne
Zgodnie z opinią geotechniczną pod warstwami konstrukcyjnymi jezdni (o łącznej grubości
40-60cm) znajduje się grunt rodzimy – ił z piaskiem lub piasek z iłem w stanie plastycznym.
Poziom wody gruntowej znajduje się na 2,15-2,60 m ppt. W jednym z otworów ma charakter
napięty i stabilizuje się na 1,8 m ppt.
Na podstawie badań kategorię nośności podłoża gruntowego określono na G4.
Projektowana inwestycja, ze względu na jej charakter (wykonywanie płytkich wykopów
i niewielkich nasypów) oraz proste warunki gruntowe zalicza się do I kategorii
geotechnicznej.
3.2. Ukształtowanie sytuacyjno-wysokościowe drogi
Projektowany zjazd z ul. Prackiej na przedmiotową drogę wewnętrzną w granicach pasa
drogowego jest przedmiotem oddzielnego pozwolenia na budowę w ramach przebudowy
ul. Prackiej.
Przebudowa drogi wewnętrznej dla potrzeb Wrocławskiego Centrum Badań EIT+
na Praczach Odrzańskich we Wrocławiu
4
Zjazd z ul. Prackiej na drogę wewnętrzną EIT+ będzie posiadał szer. 5,0 m
z promieniami wyokrąglającymi R=5,0 i R= 6,0m.
Drogę wewnętrzną EIT+ zaprojektowano po jej istniejącym śladzie, z drobnymi korektami
sytuacyjnymi i wysokościowymi.
Na terenie EIT+ droga wewnętrzna będzie posiadała szer. 4,0 m z jednostronnym spadkiem
poprzecznym wielkości 2%.
Wysokościowo projektowana droga wewnętrzna zostanie dowiązana do włączenia do
ul. Prackiej, terenu laboratorium badawczego CUPRUM oraz istniejącej drogi wewnętrznej.
Spadki podłużne proj. jezdni wahają się w przedziale 0,50-2,14%. Załamania pionowe
niwelety wyokrąglono łukami pionowymi R=150m i R=200m. Przebieg niwelety obrazuje
profil podłużny projektowanej drogi.
Teren przylegający bezpośrednio do jezdni drogi wewnętrznej na szer. ok. 1,0 m należy
pokryć warstwą humusu gr. 20 cm obsiać trawą.
Szczegóły rozwiązań sytuacyjnych i wysokościowych pokazano na załączonej planszy
zagospodarowania terenu.
3.3. Konstrukcja nawierzchni
Droga wewnętrzna z kostki kamiennej:
- kostka kamienna 18/20
- podsypka cem-piask 1:4
gr. 3 cm;
- beton cementowy C16/20
gr. 18 cm
- piasek stabilizowany cementem Rm=2,5 MPa
gr. 25 cm
- grunt rodzimy stabilizowany wapnem Rm=1,5 MPa
gr. 10 cm
3.4. Krawężniki
Nawierzchnia jezdni zostanie ograniczona krawężnikiem betonowym 15×30x100 cm,
wystającym (h=12) lub obniżonym na długości zjazdu (h=2 cm), posadowionym na ławie
betonowej C16/20 z opore
Lokalnie, wzdłuż terenu laboratoriom CUPRUM wysokość krawężnika należy dostosować
istniejących nawierzchni w przedziale 2-16 cm.
3.5. Odwodnienie
Odwodnienie realizowane będzie przez spadki poprzeczne i podłużne nawierzchni jezdni do
projektowanych wpustów ulicznych.
Jezdnia będzie posiadała spadek jednostronny wielkości 2%.
3.6. Roboty ziemne
Po demontażu istniejącej nawierzchni zasadnicze roboty ziemne sprowadzają się do
wykonania korytowania i profilowania dna koryta.
Dno koryta należy zagęścić do uzyskania Is≥1,0.
Przed przystąpieniem do robót nawierzchniowych należy skontrolować zagęszczenie
zasypek po pracach instalacyjnych.
W rejonie sieci uzbrojenia podziemnego roboty ziemne należy prowadzić ręcznie
z zachowaniem odpowiedniej ostrożności.
3.7. Budowa przepustu rezerwowego pod drogą wewnętrzną
W celu umożliwienia budowy sieci kablowej bez konieczności ingerowania w nowo
wybudowaną nawierzchnię drogową na terenie EIT+ projektuje się ułożenie przepustu
rezerwowego rurą DVK110 po długości 6,0m.
Opracowanie:
mgr inż. Adam ZOGA
Przebudowa drogi wewnętrznej dla potrzeb Wrocławskiego Centrum Badań EIT+
na Praczach Odrzańskich we Wrocławiu
5
4.0. OPIS ROZBIÓRKI FRAGMENTU MURU OGRODZENIOWEGO
Przewiduje się rozbiórkę fragmentu istniejącego muru ogrodzeniowego z cegły pełnej
grubości 1,5 c i wysokości 3,20m usytuowanego na granicy pomiędzy pasem drogi gminnej
– ul. Prackiej (dz. nr 52 AM 30, obręb Pracze Odrzańskie a istniejącą drogą wewnętrzną
usytuowaną na dz. nr 1/17 AM 30, obręb Pracze Odrzańskie we Wrocławiu.
Szerokość fragmentu rozbieranego muru ogrodzeniowego należy dostosować do warunków
komunikacyjnych drogi wewnętrznej tj. z zachowaniem skrajni jezdni szerokości min. 0,50m
z każdej strony projektowanej drogi.
Do rozbiórki można użyć dowolnego sprzętu spełniającego wymagania bhp.
Kolejność robót rozbiórkowych:
- wymierzenie szerokości fragmentu muru ogrodzeniowego przeznaczonego do wyburzenia
z uwzględnieniem rozebrania dodatkowych odcinków muru po każdej ze stron szerokości
min. 1 c.
- rozbiórka betonowego daszku fragmentu muru
- rozbiórka fragmentów konstrukcji stalowo-drewnianej opartej na wyburzanym murze
- rozbiórka wymierzonego fragmentu muru, z pozostawieniem na jego końcach strzępi
- rozbiórka elementów stalowych wbudowanych w murze
- rozbiórka fundamentów muru
- przemurowanie końcówek muru na szerokości min. 1 c. ; do przemurowania użyć nowej
cegły pełnej min. kl. 10, względnie oczyszczonej cegły z odzysku i zaprawy cem-wap.
Porozbiórkowy materiał składować w wyznaczonym miejscu na placu budowy.
Po ukończeniu prac rozdrobniony na mniejsze kawałki materiał porozbiórkowy
przetransportować na wysypisko.
opracowanie:
mgr inż. Ryszard Borek
Przebudowa drogi wewnętrznej dla potrzeb Wrocławskiego Centrum Badań EIT+
na Praczach Odrzańskich we Wrocławiu
6
V. ZAŁĄCZNIKI – UZGODNIENIA Z INSTYTUCJAMI
1. Opinia Woj.
Urzędu
Ochrony
Zabytków
we Wrocławiu
–
pismo
nr
WZA.5161.1011.2015.AZ z dn. 19.08.2015r.
2. Zgoda Cuprum Wrocław na wyburzenie muru – pismo nr WY/2015/02653 z dn.
03.08.2015r.
3. Uzgodnienie
ZDiUM
Wrocław
projektu
branży
drogowej
–
pismo
nr
TR.4110.12.76213.2014.BP z dn. 27.07.2015r.
4. Protokół nr ZKK17.TZ.6630.9350.2015 z narady koordynacyjnej w zakresie uzgodnienia
dokumentacji projektowej z dnia 22.07.2015r.
5. Zgoda ZZK Wrocław na wyburzenie muru – pismo nr ZZK.TO.4110.10990.2015.TO-4 z
dn. 30.07.2015r.
6. Zgoda ZZK Wrocław na wyburzenie muru – pismo nr ZZK.TO.4110.10990.2015.TO-4 z
dn. 31.07.2015r.
7. Opinia i wytyczne konserwatorskie Miejskiego Konserwatora Zabytków we Wrocławiu pismo nr MKZ-ZZ.410.92.2015 z dn. 14.07.2015r.
8. Opinia pozytywna rozwiązań geometrycznych drogi Wydziału Inżynierii Miejskiej Urzędu
Miejskiego we Wrocławiu - pismo nr WIM-ERZ.7211.48.2015.PM z dnia 25.05.2015r.
9. Opinia pozytywna PSG sp. z o.o. - pismo nr OIU-AJ/150/198-1/2015 z dnia 28.05.20415r.
Przebudowa drogi wewnętrznej dla potrzeb Wrocławskiego Centrum Badań EIT+
na Praczach Odrzańskich we Wrocławiu