strzałka w prawo

Transkrypt

strzałka w prawo
-1–
opr. mr’Osa
EDYTOR TEKSTU
PODSTAWY EDYCJI
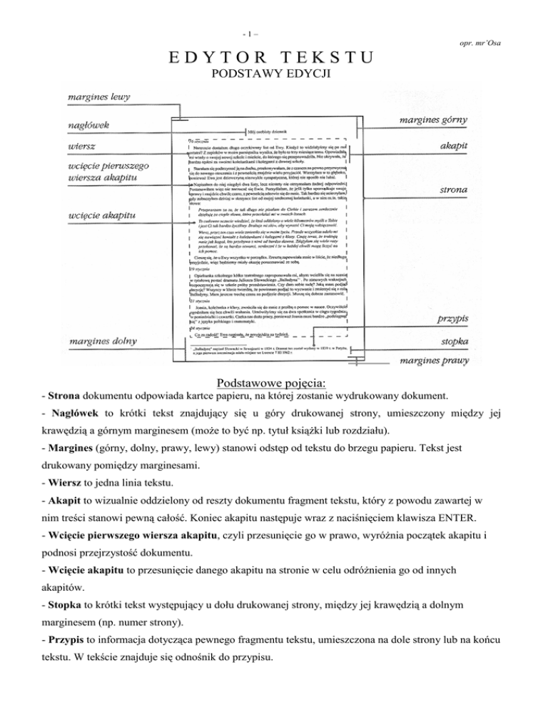
Podstawowe pojęcia:
- Strona dokumentu odpowiada kartce papieru, na której zostanie wydrukowany dokument.
- Nagłówek to krótki tekst znajdujący się u góry drukowanej strony, umieszczony między jej
krawędzią a górnym marginesem (moŜe to być np. tytuł ksiąŜki lub rozdziału).
- Margines (górny, dolny, prawy, lewy) stanowi odstęp od tekstu do brzegu papieru. Tekst jest
drukowany pomiędzy marginesami.
- Wiersz to jedna linia tekstu.
- Akapit to wizualnie oddzielony od reszty dokumentu fragment tekstu, który z powodu zawartej w
nim treści stanowi pewną całość. Koniec akapitu następuje wraz z naciśnięciem klawisza ENTER.
- Wcięcie pierwszego wiersza akapitu, czyli przesunięcie go w prawo, wyróŜnia początek akapitu i
podnosi przejrzystość dokumentu.
- Wcięcie akapitu to przesunięcie danego akapitu na stronie w celu odróŜnienia go od innych
akapitów.
- Stopka to krótki tekst występujący u dołu drukowanej strony, między jej krawędzią a dolnym
marginesem (np. numer strony).
- Przypis to informacja dotycząca pewnego fragmentu tekstu, umieszczona na dole strony lub na końcu
tekstu. W tekście znajduje się odnośnik do przypisu.
-2–
opr. mr’Osa
Po uruchomieniu edytor zgłasza się z nową stroną dokumentu, której wygląd określany jest przez
domyślne wartości parametrów. Na wygląd strony dokumentu mają wpływ m.in.:
- rozmiar strony (domyślnie jest to formatA4 (210 mmx 297 mm),
- wielkość marginesów (domyślnie wszystkie mają szerokość 2,5 cm),
- nagłówki i stopki (w edytorze Word umieszczane domyślnie w odległości 1,25 cm od brzegu strony,
a w edytorze Works - w odległości l, 3 cm),
- orientacja strony, czyli ustawienie strony pionowe (domyślnie) lub poziome,
- rozmieszczenie tekstu na stronie,
- rozmieszczenie (wyrównanie) tekstu w poszczególnych akapitach,
- wygląd tekstu w poszczególnych akapitach.
Zasady prawidłowej edycji tekstu:
1. Tekst naleŜy dzielić na niezbyt duŜe akapity.
2. Akapit powinien w całości mieścić się na stronie.
3. Odległości pomiędzy akapitami powinny być większe niŜ pomiędzy wierszami w akapicie.
4. W jednostronicowym dokumencie trzeba rozmieścić tekst na całej stronie, nie naleŜy „ściskać" go
na części strony.
5. W dokumentach wielostronicowych naleŜy w stopce lub nagłówku umieścić numer strony.
6. Tytuł kolejnego rozdziału tekstu nie moŜe być ostatnim wierszem na stronie.
7. W pismach urzędowych i oficjalnych dokumentach naleŜy zachować rozmieszczenie tekstu na
stronie zgodnie z zasadami obowiązującymi przy tworzeniu tychŜe dokumentów.
8. Klawisza ENTER uŜywaj tylko na zakończenie akapitu, nie naciskaj go natomiast na końcu linii
tekstu. Jeśli wyraz wykracza poza prawy margines, to edytor sam przenosi go do następnej linii.
Chcąc rozpocząć pisanie w nowej linii w tym samym akapicie, naciśnij kombinację klawiszy
SHIFT + ENTER.
9. Przed znakiem interpunkcyjnym: kropką, przecinkiem, średnikiem, dwukropkiem, wykrzyknikiem i
znakiem zapytania nie wstawiaj spacji, umieszczaj ją natomiast zawsze po znaku interpunkcyjnym.
10. Nie wstawiaj spacji po nawiasach otwierających (,[,{, ani przed nawiasami zamykającymi:),],}.
11. Nie wstawiaj spacji między znakami cudzysłowu a tekstem ujętym w cudzysłów.
12. Na końcu wiersza nie zostawiaj spójników. W tym celu po spójniku zamiast zwykłej spacji wstaw
spację nie rozdzielającą (tzw. twardą), uŜywając kombinacji klawiszy: SHIFT + CTRL + SPACJA.
(np. 2 zł, 10 kg).
-3–
opr. mr’Osa
EDYCJĄ I FORMATOWANIEM TEKSTU
Pisanie tekstu
Aby napisać
Polską literę; literę ź; duŜą literę; duŜą polską literę
Naciśnij
prawy ALT + literę ( np. o); prawy ALT + literę x; SHIFT
+ literę; SHIFT + prawy ALT + literę.
Górny znak na klawiszu z dwoma znakami: SHIFT +
klawisz (np. !,@,?,$)
Aby
Naciśnij
Zmienić wielkość liter
CAPSLOK
Ponownie zmienić wielkość liter CAPSLOK
Wstawić odstęp między wyrazami SPACJA
Przejść do nowego wiersza
SHIFT + ENTER
Przejść do nowego akapitu
ENTER
Usunąć jeden znak w lewo
BACKSPASE
Usunąć jeden znak w prawo
DELETE
Usunąć zaznaczony fragment tekstu DELETE
Usunąć grafikę lub inny obiekt Kliknij w obiekt i
naciśnij klawisz
DELRTE
Wstawić wcięcie z lewej
Kliknij na początku
akapitu.
Wciśnij klawisz TAB.
Uwaga Aby usunąć wcięcie, naciśnij klawisz
BACKSPACE.
Zaznaczanie tekstu i elementów graficznych
za pomocą myszy
Aby zaznaczyć
Wykonaj poniŜszą czynność
Dowolny fragment tekstu Przeciągnij wskaźnik myszy
nad tekstem.
Wyraz
Dwukrotnie kliknij wyraz.
Grafikę
Kliknij rysunek.
Wiersz tekstu Przesuń wskaźnik na lewo od wiersza w
obszar, w którym przybiera on kształt strzałki
wskazującej w prawo, a następnie kliknij.
Więcej niŜ jeden wiersz tekstu
Przesuń wskaźnik na
lewo od wierszy w obszar, w którym przybiera on kształt
strzałki wskazującej w prawo, a następnie przeciągnij w
górę lub w dół.
Zdanie
Wciśnij klawisz CTRL, a następnie
kliknij gdziekolwiek w zdaniu.
Akapit
Przesuń wskaźnik na lewo od akapitu w
obszar, w którym przybiera on kształt strzałki
wskazującej w prawo, a następnie kliknij dwukrotnie.
Innym sposobem jest trzykrotne kliknięcie
gdziekolwiek w akapicie.
Kilka akapitów
Przesuń wskaźnik na lewo od
akapitów w obszar, w którym przybiera on kształt strzałki
wskazującej w prawo, a następnie dwukrotnie kliknij i
przeciągnij w górę lub w dół.
DuŜy fragment tekstu Kliknij początek fragmentu,
przewiń dokument do końca tego fragmentu, a następnie
wciśnij klawisz SHIFT i kliknij.
Cały dokument
Przesuń wskaźnik na lewo od tekstu
dokumentu w obszar, w którym przybiera on kształt
strzałki wskazującej w prawo, a następnie kliknij
trzykrotnie.
Nagłówki i stopki W widoku normalnym wybierz
polecenie Nagłówek i stopka z menu Widok;
Przenoszenie punktu wstawiania
Aby przenieś punkt wstawiania
Naciśnij
O jeden znak w lewo
STRZAŁKA W LEWO
O jeden znak w prawo
STRZAŁKA W PRAWO
O jeden wyraz w lewo
CTRL+STRZAŁKA W LEWO
O jeden wyraz w prawo CTRL+STRZAŁKA W PRAWO
O jeden akapit w górę
CTRL+STRZAŁKA W GÓRĘ
O jeden akapit w dół
CTRL+STRZAŁKA W DÓŁ
O jedną komórkę w lewo (w tabeli) SHIFT+TAB
O jedną komórkę w prawo (w tabeli) TAB
O jeden wiersz w górę
STRZAŁKA W GÓRĘ
O jeden wiersz w dół
STRZAŁKA W DÓŁ
Na koniec wiersza
END
Na początek wiersza
HOME
Na początek okna
ALT+CTRL+PAGE UP
Na koniec okna
ALT+CTRL+PAGE DOWN
O jeden ekran w górę (przewijanie) PAGE UP
O jeden ekran w dół (przewijanie) PAGE DOWN
Na początek następnej strony
CTRL+PAGE DOWN
Na początek poprzedniej strony CTRL+PAGE UP
Na koniec dokumentu
CTRL+END
Na początek dokumentu
CTRL+HOME
Do poprzedniej poprawki
SHIFT+F5
Do miejsca, w którym znajdował się punkt wstawiania,
gdy dokument był ostatnio zamykany SHIFT+F5
Zaznaczanie tekstu i grafiki
Tekst moŜna zaznaczyć, naciskając i przytrzymując
klawisz SHIFT i jednocześnie naciskając klawisze słuŜące
do przesuwania punktu wstawiania.
Aby rozszerzyć zaznaczony obszar
Naciśnij
O jeden znak w prawo SHIFT+STRZAŁKA W PRAWO
O jeden znak w lewo SHIFT+STRZAŁKA W LEWO
Do końca wyrazu
CTRL+SHIFT+STRZAŁKAW
PRAWO
Do początku wyrazu CTRL+SHIFT+STRZAŁKA W
LEWO
Do końca wiersza
SHIFT+END
Do początku wiersza
SHIFT+HOME
O jeden wiersz w dół
SHIFT+STRZAŁKA W DÓŁ
O jeden wiersz w górę
SHIFT+STRZAŁKA W GÓRĘ
Do końca akapitu CTRL+SHIFT+STRZAŁKA W DÓŁ
Do początku akapitu CTRL+SHIFT+STRZAŁKA W
GÓRĘ
O jeden ekran w dół
SHIFT+PAGE DOWN
O jeden ekran w górę
SHIFT+PAGE UP
Do końca okna
ALT+CTRL+PAGE DOWN
Do początku dokumentu CTRL+SHIFT+HOME
Na cały dokument
CTRL+A
Wskazówka Jeśli znasz kombinację klawiszy, za
pomocą których moŜna przesuwać punkt wstawiania,
moŜesz zaznaczyć tekst, uŜywając tej samej kombinacji i
przytrzymując klawisz SHIFT. Na przykład, za pomocą
kombinacji CTRL+STRZAŁKA WPRAWO moŜna
przesunąć punkt wstawiania o jeden wyraz, a kombinacja
CTRL+SHIFT+STRZAŁKA WPRAWO słuŜy do
zaznaczania tekstu od punktu wstawiania do początku
następnego wyrazu.