SZCZEGÓŁOWY OPIS PRZEDMIOTU ZAMÓWIENIA 1. Nazwa
Transkrypt
										SZCZEGÓŁOWY OPIS PRZEDMIOTU ZAMÓWIENIA 1. Nazwa
                                        
                                        
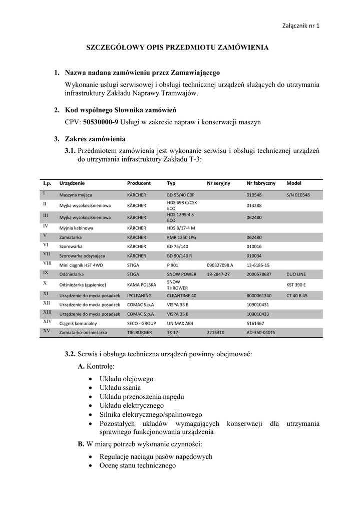
                                Załącznik nr 1 SZCZEGÓŁOWY OPIS PRZEDMIOTU ZAMÓWIENIA 1. Nazwa nadana zamówieniu przez Zamawiającego Wykonanie usługi serwisowej i obsługi technicznej urządzeń służących do utrzymania infrastruktury Zakładu Naprawy Tramwajów. 2. Kod wspólnego Słownika zamówień CPV: 50530000-9 Usługi w zakresie napraw i konserwacji maszyn 3. Zakres zamówienia 3.1. Przedmiotem zamówienia jest wykonanie serwisu i obsługi technicznej urządzeń do utrzymania infrastruktury Zakładu T-3: Lp. Urządzenie Producent Typ I Maszyna myjąca KÄRCHER BD 55/40 CBP Nr seryjny HDS 698 C/CSX ECO HDS 1295-4 S ECO Nr fabryczny Model 010548 S/N 010548 II Myjka wysokociśnieniowa KÄRCHER III Myjka wysokociśnieniowa KÄRCHER IV Myjnia kabinowa KÄRCHER HDS 8/17-4 M V Zamiatarka KÄRCHER KMR 1250 LPG 062480 VI Szorowarka KÄRCHER BD 75/140 010016 VII Szorowarka odsysająca KÄRCHER BD 90/140 R 010034 VIII Mini ciągnik HST 4WD STIGA P 901 090327098 A 13-6185-15 IX Odśnieżarka STIGA SNOW POWER 18-2847-27 2000578687 013288 062480 X Odśnieżarka (gąsienice) KAMA POLSKA SNOW THROWER XI Urządzenie do mycia posadzek IPCLEANING CLEANTIME 40 8000061340 XII Urządzenie do mycia posadzek COMAC S.p.A VISPA 35 B 109010431 XIII Urządzenie do mycia posadzek COMAC S.p.A VISPA 35 B 109010433 XIV Ciągnik komunalny SECO - GROUP UNIMAX AB4 5161467 XV Zamiatarko-odśnieżarka TIELBÜRGER TK 17 DUO LINE KST 390 E 2215310 CT 40 B 45 AD-350-040TS 3.2. Serwis i obsługa techniczna urządzeń powinny obejmować: A. Kontrolę:       Układu olejowego Układu ssania Układu przenoszenia napędu Układu elektrycznego Silnika elektrycznego/spalinowego Pozostałych układów wymagających sprawnego funkcjonowania urządzenia B. W miarę potrzeb wykonanie czynności:   Regulację naciągu pasów napędowych Ocenę stanu technicznego konserwacji dla utrzymania Załącznik nr 1   Smarowanie łożysk silnika Wymianę części eksploatacyjnych, szybko zużywających się na nowe i oryginalne 4. Okres gwarancji Minimum 12 miesięczna gwarancja na wymienione części licząc od daty przyjęcia przez Zamawiającego protokołu z wykonania serwisu i obsługi technicznej urządzenia. 5. Termin realizacji usługi Wykonawca zobowiązany jest do wykonania 12 przeglądów w terminie obowiązywania umowy, tj. w okresie 12 miesięcy (przeglądy comiesięczne). Wykonawca zobowiązany jest do przystąpienia do usunięcia awarii w ciągu 1 godziny od momentu zgłoszenia przez Zleceniodawcę.. Wykonanie przeglądów urządzeń do utrzymania infrastruktury należy wykonać na terenie Zakładu Naprawy Tramwajów. Po wykonanym serwisie i obsłudze technicznej urządzeń Wykonawca dostarczy Zamawiającemu protokół z wykonania usługi. 6. Miejsce wykonania usługi Zakład Naprawy Tramwajów, ul. Młynarska 2 01-205 Warszawa (wjazd od ul. Siedmiogrodzkiej), w dni robocze, w godz. 6.00 – 14.00.
 doc
                    doc download
															download                                                         Reklamacja
															Reklamacja                                                         
		     
		     
		     
		     
		    