Załącznik nr 1

Transkrypt

Załącznik nr 1
5/D/2012
Załącznik nr 1
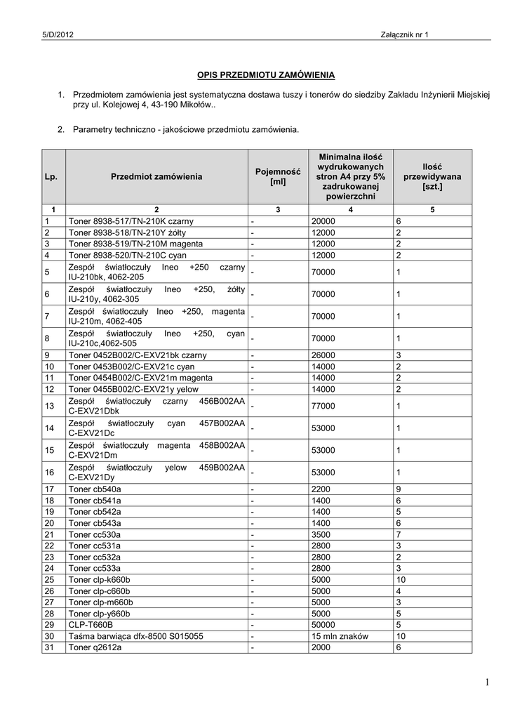
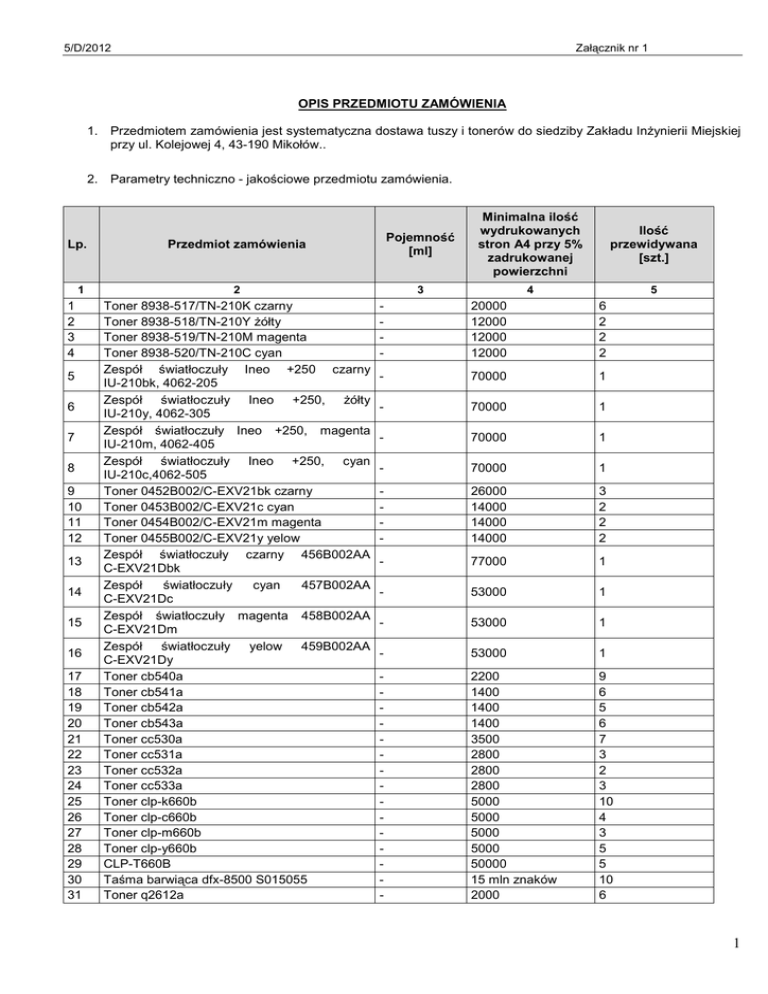
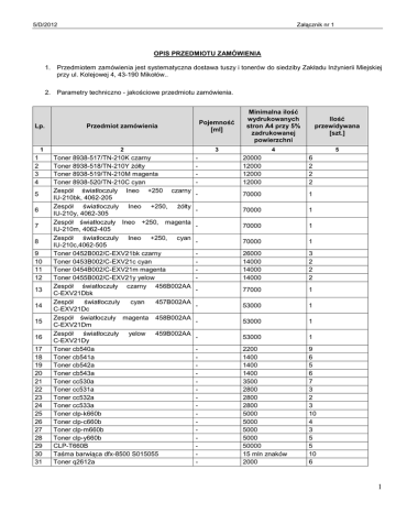
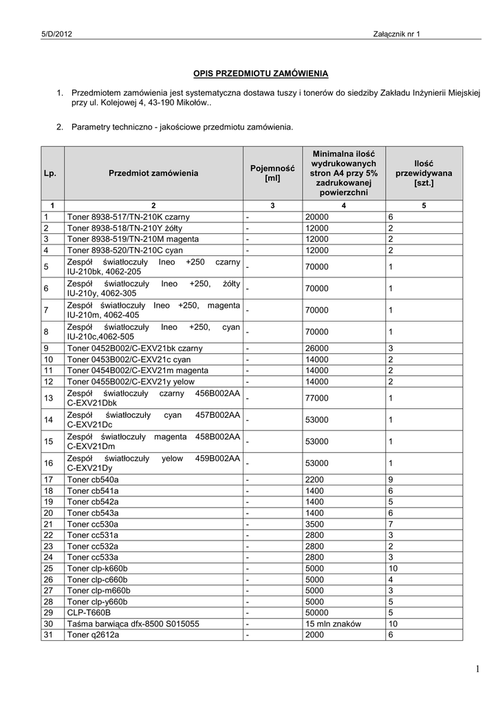
OPIS PRZEDMIOTU ZAMÓWIENIA
1. Przedmiotem zamówienia jest systematyczna dostawa tuszy i tonerów do siedziby Zakładu Inżynierii Miejskiej
przy ul. Kolejowej 4, 43-190 Mikołów..
2. Parametry techniczno - jakościowe przedmiotu zamówienia.
Lp.
1
1
2
3
4
5
6
7
8
9
10
11
12
13
14
15
16
17
18
19
20
21
22
23
24
25
26
27
28
29
30
31
Pojemność
[ml]
Przedmiot zamówienia
2
Toner 8938-517/TN-210K czarny
Toner 8938-518/TN-210Y żółty
Toner 8938-519/TN-210M magenta
Toner 8938-520/TN-210C cyan
Zespół światłoczuły Ineo +250 czarny
IU-210bk, 4062-205
Zespół światłoczuły Ineo +250, żółty
IU-210y, 4062-305
Zespół światłoczuły Ineo +250, magenta
IU-210m, 4062-405
Zespół światłoczuły Ineo +250, cyan
IU-210c,4062-505
Toner 0452B002/C-EXV21bk czarny
Toner 0453B002/C-EXV21c cyan
Toner 0454B002/C-EXV21m magenta
Toner 0455B002/C-EXV21y yelow
Zespół światłoczuły czarny 456B002AA
C-EXV21Dbk
Zespół
światłoczuły
cyan
457B002AA
C-EXV21Dc
Zespół światłoczuły magenta 458B002AA
C-EXV21Dm
Zespół światłoczuły yelow 459B002AA
C-EXV21Dy
Toner cb540a
Toner cb541a
Toner cb542a
Toner cb543a
Toner cc530a
Toner cc531a
Toner cc532a
Toner cc533a
Toner clp-k660b
Toner clp-c660b
Toner clp-m660b
Toner clp-y660b
CLP-T660B
Taśma barwiąca dfx-8500 S015055
Toner q2612a
Minimalna ilość
wydrukowanych
stron A4 przy 5%
zadrukowanej
powierzchni
3
Ilość
przewidywana
[szt.]
4
5
-
20000
12000
12000
12000
6
2
2
2
-
70000
1
-
70000
1
-
70000
1
-
70000
1
-
26000
14000
14000
14000
3
2
2
2
-
77000
1
-
53000
1
-
53000
1
-
53000
1
-
2200
1400
1400
1400
3500
2800
2800
2800
5000
5000
5000
5000
50000
15 mln znaków
2000
9
6
5
6
7
3
2
3
10
4
3
5
5
10
6
1
5/D/2012
Załącznik nr 1
32
33
34
35
36
37
38
39
Toner c7115x
Toner q5949x
Toner q7553x
Toner MLT-D2092L
Toner q3960a
Toner q3961a
Toner q3962a
Toner q3963a
-
40
Bęben światłoczuły q3964a
-
41
42
43
44
45
46
47
48
49
50
51
52
53
54
55
56
57
58
59
60
61
62
63
64
65
66
67
68
69
Toner q6000a
Toner q6001a
Toner q6002a
Toner q6003a
Toner scx-4521d3
Toner ce278a
Toner clt-k4092s
Toner clt-y4092s
Toner clt-m4092s
Toner clt-c4092s
Rolka utrwalająca JC96-05491B
pojemnik na zużyty toner clt-w409
bęben światłoczuły clt-r409
Toner clt-k4072s
Toner clt-y4072s
Toner clt-m4072s
Toner clt-c4072s
bęben światłoczuły clt-r407
Tusz pgi-5bk
Tusz cli-8bk
Tusz cli-8c
Tusz cli-8m
Tusz cli-8y
Tusz c6656ae
Tusz c6657ae
Tusz cd975ae
Tusz cd972ae
Tusz cd973ae
Tusz cd974ae
papier
termoczuły:
(max)
216mm*50m
kx-f600
Toner kx-fa83
Bęben kx-fa84x
70
71
72
6
2
5
2
2
2
2
2
26
13
13
13
13
19
17
49
23
23
23
3500
6000
7000
5000
5000
4000
4000
4000
20000
w
czerni
5000 w kolorze
2500
2000
2000
2000
3000
2100
1500
1000
1000
1000
5000
24000
1500
1000
1000
1000
24000
-
-
-
2
2500
2
2
1
6
4
4
6
2
11
2
1
1
1
1
2
1
2
1
1
1
1
6
2
2
2
2
5
2
10
5
6
6
3. Wszystkie oferowane materiały muszą być nie starsze niż 6 miesięcy, fabrycznie nowe, bez śladów używania i
uszkodzenia, pełnowartościowe, nieregenerowane, nierefabrykowane. Za fabrycznie nowe nie uznaje się
wyrobów, gdzie pojemnik został jedynie wyczyszczony i ponownie napełniony (regenerowany).
4. Wymaga się, aby oferowane materiały eksploatacyjne posiadały gwarancję na minimum 12 miesięcy od dnia
dostawy.
2
5/D/2012
Załącznik nr 1
5. Dostarczone materiały eksploatacyjne muszą posiadać na opakowaniach zewnętrznych logo producenta,
nazwę (typ, symbol) materiału, numer katalogowy, opis zawartości, termin przydatności do użycia.
6. Zamawiający nie dopuszcza zaoferowania tonerów i tuszy nieoryginalnych lub zamienników.
7. Dostawy będą realizowane, zgodnie z zapotrzebowaniem wysłanym przez zamawiającego faksem lub pocztą
elektroniczną.
8. Termin realizacji zamówienia to max. 3 dni robocze od momentu wysłania zamówienia.
9. Zapłata wynagrodzenia nastąpi na podstawie protokołu odbioru podpisanego obustronnie oraz faktury VAT
uwzględniającej ilość dostarczoną x cena podana w formularzu oferty.
10. Ceny jednostkowe podane w ofercie Wykonawcy będą niezmienne do końca obowiązywania umowy.
3