Pobierz plik - TAURON Wytwarzanie SA

Transkrypt

Pobierz plik - TAURON Wytwarzanie SA
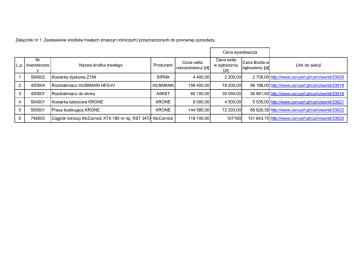
Załącznik nr 1. Zestawienie środków trwałych (maszyn rolniczych) przeznaczonych do ponownej sprzedaży.
Cena wywoławcza
Nr
L.p. inwentarzow
y
Nazwa środka trwałego
1
594002
Kosiarka dyskowa Z184
2
430004
Rozdrabniacz HUSMANN HFG-IV
3
430007
4
Producent
SIPMA
Cena netto
rzeczoznawcy [zł]
Cena netto
w ogłoszeniu
[zł]
Cena Brutto w
ogłoszeniu [zł]
Link do aukcji
4 400,00
2 200,00
2 706,00 http://www.car-port.pl/car/view/id/33020
HUSMANN
156 400,00
78 200,00
96 186,00 http://www.car-port.pl/car/view/id/33019
Rozdrabniacz do słomy
ASKET
60 100,00
30 050,00
36 961,50 http://www.car-port.pl/car/view/id/33018
594001
Kosiarka talerzowa KRONE
KRONE
9 000,00
4 500,00
5 535,00 http://www.car-port.pl/car/view/id/33021
5
595001
Prasa kostkująca KRONE
KRONE
144 585,00
72 293,00
88 920,39 http://www.car-port.pl/car/view/id/33022
6
746005
Ciągnik rolniczy McCornick XTX 185 nr rej. RST 34TA McCornick
119 100,00
107190
131 843,70 http://www.car-port.pl/car/view/id/33023