plan gonitw 2016

Transkrypt

plan gonitw 2016
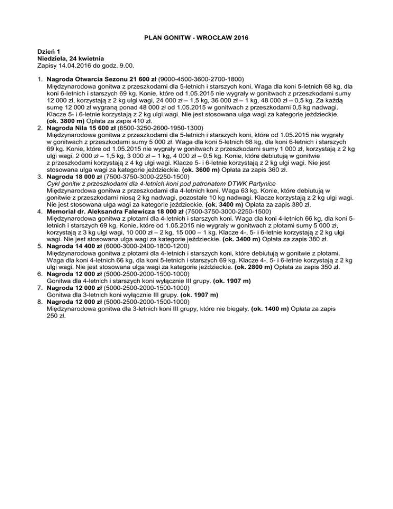
PLAN GONITW - WROCŁAW 2016
Dzień 1
Niedziela, 24 kwietnia
Zapisy 14.04.2016 do godz. 9.00.
1. Nagroda Otwarcia Sezonu 21 600 zł (9000-4500-3600-2700-1800)
Międzynarodowa gonitwa z przeszkodami dla 5-letnich i starszych koni. Waga dla koni 5-letnich 68 kg, dla
koni 6-letnich i starszych 69 kg. Konie, które od 1.05.2015 nie wygrały w gonitwach z przeszkodami sumy
12 000 zł, korzystają z 2 kg ulgi wagi, 24 000 zł – 1,5 kg, 36 000 zł – 1 kg, 48 000 zł – 0,5 kg. Za każdą
sumę 12 000 zł wygraną ponad 48 000 zł od 1.05.2015 w gonitwach z przeszkodami 0,5 kg nadwagi.
Klacze 5- i 6-letnie korzystają z 2 kg ulgi wagi. Nie jest stosowana ulga wagi za kategorie jeździeckie.
(ok. 3800 m) Opłata za zapis 410 zł.
2. Nagroda Nila 15 600 zł (6500-3250-2600-1950-1300)
Międzynarodowa gonitwa z przeszkodami dla 5-letnich i starszych koni, które od 1.05.2015 nie wygrały
w gonitwach z przeszkodami sumy 5 000 zł. Waga dla koni 5-letnich 68 kg, dla koni 6-letnich i starszych
69 kg. Konie, które od 1.05.2015 nie wygrały w gonitwach z przeszkodami sumy 1 000 zł, korzystają z 2 kg
ulgi wagi, 2 000 zł – 1,5 kg, 3 000 zł – 1 kg, 4 000 zł – 0,5 kg. Konie, które debiutują w gonitwie
z przeszkodami korzystają z 4 kg ulgi wagi. Klacze 5- i 6-letnie korzystają z 2 kg ulgi wagi. Nie jest
stosowana ulga wagi za kategorie jeździeckie. (ok. 3600 m) Opłata za zapis 360 zł.
3. Nagroda 18 000 zł (7500-3750-3000-2250-1500)
Cykl gonitw z przeszkodami dla 4-letnich koni pod patronatem DTWK Partynice
Międzynarodowa gonitwa z przeszkodami dla 4-letnich koni. Waga 63 kg. Konie, które debiutują w
gonitwie z przeszkodami niosą 2 kg nadwagi, pozostałe 10 kg nadwagi. Klacze korzystają z 2 kg ulgi wagi.
Nie jest stosowana ulga wagi za kategorie jeździeckie. (ok. 3400 m) Opłata za zapis 380 zł.
4. Memoriał dr. Aleksandra Falewicza 18 000 zł (7500-3750-3000-2250-1500)
Międzynarodowa gonitwa z płotami dla 4-letnich i starszych koni. Waga dla koni 4-letnich 66 kg, dla koni 5letnich i starszych 69 kg. Konie, które od 1.05.2015 nie wygrały w gonitwach z płotami sumy 5 000 zł,
korzystają z 3 kg ulgi wagi, 10 000 zł – 2 kg, 15 000 – 1 kg. Klacze 4-, 5- i 6-letnie korzystają z 2 kg ulgi
wagi. Nie jest stosowana ulga wagi za kategorie jeździeckie. (ok. 3400 m) Opłata za zapis 380 zł.
5. Nagroda 14 400 zł (6000-3000-2400-1800-1200)
Międzynarodowa gonitwa z płotami dla 4-letnich i starszych koni, które debiutują w gonitwie z płotami.
Waga dla koni 4-letnich 66 kg, dla koni 5-letnich i starszych 69 kg. Klacze 4-, 5- i 6-letnie korzystają z 2 kg
ulgi wagi. Nie jest stosowana ulga wagi za kategorie jeździeckie. (ok. 2800 m) Opłata za zapis 350 zł.
6. Nagroda 12 000 zł (5000-2500-2000-1500-1000)
Gonitwa dla 4-letnich i starszych koni wyłącznie III grupy. (ok. 1907 m)
7. Nagroda 12 000 zł (5000-2500-2000-1500-1000)
Gonitwa dla 3-letnich koni wyłącznie III grupy. (ok. 1907 m)
8. Nagroda 12 000 zł (5000-2500-2000-1500-1000)
Międzynarodowa gonitwa dla 3-letnich koni III grupy, które nie biegały. (ok. 1400 m) Opłata za zapis
250 zł.
Niedziela, 8 maja
Zapisy 28.04.2016 do godz. 9.00.
1. Nagroda 12 000 zł (5000-2500-2000-1500-1000)
Gonitwa dla 4-letnich i starszych koni III grupy. (ok. 1600 m)
2. Nagroda 12 000 zł (5000-2500-2000-1500-1000)
Międzynarodowa gonitwa dla 3-letnich koni III grupy, które nie biegały. (ok. 1600 m) Opłata za zapis
250 zł.
3. Nagroda 9 600 zł (4000-2000-1600-1200-800)
Gonitwa dla 3-letnich koni czystej krwi arabskiej II grupy hodowli krajowej wpisanych do Polskiej Księgi
Stadnej Koni Arabskich Czystej Krwi (PASB), które nie biegały. (ok. 1600 m)
4. Nagroda 9 600 zł (4000-2000-1600-1200-800)
Gonitwa dla 3-letnich koni czystej krwi arabskiej II grupy, które nie biegały. (ok. 1600 m)
5. Nagroda 9 600 zł (4000-2000-1600-1200-800)
Gonitwa dla 3-letnich klaczy czystej krwi arabskiej II grupy, które nie biegały. (ok. 1600 m)
6. Nagroda RAYI PERRINE 6 400 zł (3200‐ 1600‐ 800‐ 480‐ 320)
Międzynarodowa gonitwa dla 3‐ letnich i starszych kłusaków francuskich (sulki), które w karierze uzyskały
sumę nagród do 3 000 zł. Start wolny. (ok. 2200 m) Opłata za zapis 65 zł.
7. Nagroda UKAMAYI VERDERIE 7 400 zł (3700‐ 1850‐ 925‐ 555‐ 370)
Międzynarodowa gonitwa dla 3‐ letnich i starszych kłusaków francuskich (sulki), które w karierze uzyskały
sumę nagród od 3 001 zł do 12 800 zł. Start wolny. (ok. 2200 m) Opłata za zapis 75 zł.
8. MEMORIAŁ HENRYKA STERMACHA 8 400 zł (4200‐ 2100‐ 1050‐ 630‐ 420)
Międzynarodowa gonitwa dla 3‐ letnich i starszych kłusaków francuskich (sulki), które w karierze uzyskały
sumę nagród od 12 801 zł do 42 700 zł. Start wolny. (ok. 2200 m) Opłata za zapis 85 zł.
Dzień 3
Niedziela, 22 maja
Zapisy 12.05.2016 do godz. 9.00.
1. Nagroda Tiumena 21 600 zł (9000-4500-3600-2700-1800)
Międzynarodowa gonitwa z przeszkodami dla 5-letnich i starszych koni. Waga dla koni 5-letnich 68 kg, dla
koni 6-letnich i starszych 69 kg. Klacze 5- i 6-letnie korzystają z 2 kg ulgi wagi. Nie jest stosowana ulga
wagi za kategorie jeździeckie. (ok. 4200 m) Opłata za zapis 410 zł.
2. Nagroda 15 600 zł (6500-3250-2600-1950-1300)
Międzynarodowa gonitwa z przeszkodami dla 5-letnich i starszych koni, które od 1.06.2015 nie wygrały
w gonitwach z przeszkodami sumy 9 000 zł. Waga dla koni 5-letnich 68 kg, dla koni 6-letnich i starszych
69 kg. Konie, które od 1.06.2015 nie wygrały w gonitwach z przeszkodami sumy 2 000 zł, korzystają z 2 kg
ulgi wagi, 4 000 zł – 1,5 kg, 6 000 zł – 1 kg, 8 000 zł – 0,5 kg. Konie, które debiutują w gonitwie
z przeszkodami korzystają z 4 kg ulgi wagi. Klacze 5- i 6-letnie korzystają z 2 kg ulgi wagi. Nie jest
stosowana ulga wagi za kategorie jeździeckie. (ok. 3800 m) Opłata za zapis 360 zł.
3. Nagroda 18 000 zł (7500-3750-3000-2250-1500)
Cykl gonitw z przeszkodami dla 4-letnich koni pod patronatem DTWK Partynice
Międzynarodowa gonitwa z przeszkodami dla 4-letnich koni. Waga 63 kg. Konie, które biegały w gonitwie
z przeszkodami niosą 2 kg nadwagi. Konie, które w gonitwach z przeszkodami wygrały sumę 2 500 zł
niosą 2,5 kg nadwagi, za każde kolejne wygrane 2 500 zł dodatkowe 0,5 kg. Klacze korzystają z 2 kg ulgi
wagi. Nie jest stosowana ulga wagi za kategorie jeździeckie. (ok. 3600 m) Opłata za zapis 380 zł.
4. Nagroda 15 600 zł (6500-3250-2600-1950-1300)
Cykl gonitw z przeszkodami dla 4-letnich koni pod patronatem DTWK Partynice
Międzynarodowa gonitwa z przeszkodami dla 4-letnich koni, które w karierze nie wygrały sumy 3 000 zł
w gonitwach z przeszkodami i płotami (licząc łącznie). Waga 63 kg. Konie, które biegały w gonitwie
z przeszkodami lub płotami niosą 2 kg nadwagi. Konie, które w gonitwach z przeszkodami lub płotami
wygrały sumę 1 000 zł niosą 2,5 kg nadwagi, 2 000 zł – 3 kg. Klacze korzystają z 2 kg ulgi wagi. Nie jest
stosowana ulga wagi za kategorie jeździeckie. (ok. 3400 m) Opłata za zapis 360 zł.
5. Nagroda Hadriana 18 000 zł (7500-3750-3000-2250-1500)
Międzynarodowa gonitwa z płotami dla 4-letnich i starszych koni. Waga dla koni 4-letnich 66 kg, dla koni 5letnich i starszych 69 kg. Konie, które od 1.06.2015 nie wygrały w gonitwach z płotami sumy 5 000 zł,
korzystają z 3 kg ulgi wagi, 10 000 zł – 2 kg, 15 000 – 1 kg. Klacze 4-, 5- i 6-letnie korzystają z 2 kg ulgi
wagi. Nie jest stosowana ulga wagi za kategorie jeździeckie. (ok. 3600 m) Opłata za zapis 380 zł.
6. Nagroda 14 400 zł (6000-3000-2400-1800-1200)
Międzynarodowa gonitwa z płotami dla 4-letnich i starszych koni, które od 1.06 2015 nie wygrały
w gonitwach z płotami sumy 12 000 zł. Waga dla koni 4-letnich 66 kg, dla koni 5-letnich i starszych 69 kg.
Konie, które od 1.06.2015 nie wygrały w gonitwach z płotami sumy 3 000 zł, korzystają z 3 kg ulgi wagi,
6 000 zł – 2 kg, 9 000 – 1 kg. Klacze 4-, 5- i 6-letnie korzystają z 2 kg ulgi wagi. Nie jest stosowana ulga
wagi za kategorie jeździeckie. (ok. 3000 m) Opłata za zapis 350 zł.
7. Nagroda 12 000 zł (5000-2500-2000-1500-1000)
Gonitwa dla 3-letnich III grupy. (ok. 1600 m)
8. Nagroda 9 600 zł (4000-2000-1600-1200-800)
Gonitwa dla 3-letnich koni czystej krwi arabskiej II grupy, które nie biegały. (ok. 1600 m)
Dzień 4
Niedziela, 29 maja
Zapisy 19.05.2016 do godz. 9.00.
1. Nagroda 12 000 zł (5000-2500-2000-1500-1000)
Gonitwa dla 3-letnich koni III grupy. (ok. 1907 m)
2. Nagroda 12 000 zł (5000-2500-2000-1500-1000)
Puchar Młodych Jeźdźców pod patronatem Prezesa PKWK
Gonitwa dla 3-letnich koni wyłącznie III grupy. Koni dosiadają wyłącznie uczniowie lub starsi uczniowie.
Ulgi wagi z tytułu kategorii jeździeckich: jeźdźcy, którzy nie wygrali gonitwy 2 kg, a 10 gonitw 1 kg.
Wszyscy jeźdźcy dosiadają koni bez bata. (ok. 1400 m)
3. Nagroda 9 600 zł (4000-2000-1600-1200-800)
Gonitwa dla 3-letnich koni czystej krwi arabskiej II grupy hodowli krajowej wpisanych do Polskiej Księgi
Stadnej Koni Arabskich Czystej Krwi (PASB). (ok. 1907 m)
4. Nagroda 9 600 zł (4000-2000-1600-1200-800)
Puchar Młodych Jeźdźców pod patronatem Prezesa PKWK
Gonitwa dla 3-letnich koni czystej krwi arabskiej II grupy hodowli krajowej wpisanych do Polskiej Księgi
Stadnej Koni Arabskich Czystej Krwi (PASB). Koni dosiadają wyłącznie uczniowie lub starsi uczniowie.
Wszyscy jeźdźcy dosiadają koni bez bata. (ok. 1600 m)
5. Nagroda 9 600 zł (4000-2000-1600-1200-800)
Gonitwa dla 3-letnich koni czystej krwi arabskiej II grupy. (ok. 1600 m)
6. Nagroda RANI D’ORGE 9 400 zł (4700‐ 2350‐ 1175‐ 705‐ 470)
Międzynarodowa gonitwa dla 3‐ letnich i starszych kłusaków francuskich (sulki), które w karierze uzyskały
sumę nagród od 42 701 zł do 85 300 zł. Start wolny. (ok. 2400 m) Opłata za zapis 95 zł.
7. Nagroda SEBASTIANA K. 10 400 zł (5200‐ 2600‐ 1300‐ 780‐ 520)
Międzynarodowa gonitwa dla 3‐ letnich i starszych kłusaków francuskich (sulki), które w karierze uzyskały
sumę nagród od 85 301 zł do 140 800 zł. Start wolny. (ok. 2400 m) Opłata za zapis 105 zł.
8. Nagroda USITY 11 400 zł (5700‐ 2850‐ 1425‐ 855‐ 570)
Międzynarodowa gonitwa dla 3‐ letnich i starszych kłusaków francuskich (sulki), które w karierze uzyskały
sumę nagród 140 801 zł i więcej. Start wolny. (ok. 2400 m) Opłata za zapis 115 zł.
Dzień 5
Niedziela, 5 czerwca - Ladies Day
Zapisy 25.05.2016 do godz. 9.00.
1. Nagroda Prezydenta Miasta Wrocławia - L (kat. A) 87 500 zł (50000-20000-10000-5000-2500)
Międzynarodowa gonitwa dla 4-letnich i starszych koni. Waga 60 kg. Klacze 4-, 5- i 6-letnie korzystają
z 2 kg ulgi wagi. (ok. 2400 m) Opłata za zapis 1650 zł.
2. Nagroda Polskiego Klubu Wyścigów Konnych (Specjalna) - (kat. B) 35 000 zł (20000-8000-40002000-1000)
Międzynarodowa gonitwa dla 3-letnich i starszych koni. Waga dla koni 3- letnich 54 kg, dla koni 4-letnich
i starszych 60 kg. Klacze 3-, 4-, 5- i 6-letnie korzystają z 2 kg ulgi wagi. Nadwagi nie są stosowane.
(ok. 1600 m) Opłata za zapis 750 zł.
3. Handikap Karino 15 600 zł (6500-3250-2600-1950-1300)
Gonitwa handikapowa II grupy dla 3-letnich i starszych koni. Wagi według handikapu generalnego: konie
4-letnie i starsze minus 2 kg; 3-letnie minus 8 kg. (ok. 1907 m)
4. Nagroda 12 000 zł (5000-2500-2000-1500-1000)
Gonitwa dla 4-letnich i starszych koni wyłącznie III grupy. (ok. 1907 m)
5. Nagroda 12 000 zł (5000-2500-2000-1500-1000)
Gonitwa dla 3-letnich koni III grupy. (ok. 2200 m)
6. Nagroda 12 000 zł (5000-2500-2000-1500-1000)
Gonitwa dla 3-letnich koni wyłącznie III grupy. (ok. 1600 m)
7. Nagroda 9 600 zł (4000-2000-1600-1200-800)
Gonitwa dla 3-letnich koni czystej krwi arabskiej II grupy. (ok. 1600 m)
Dzień 6
Niedziela, 19 czerwca
Zapisy 9.06.2016 do godz. 9.00.
1. Crystal Cup 172 000 zł (80000-32000-20000-16000-12000-8000-4000)
Międzynarodowa gonitwa z przeszkodami dla 5-letnich i starszych koni. Waga dla koni 5-letnich 67 kg, dla
koni 6-letnich i starszych 69 kg. Klacze 5- i 6-letnie korzystają z 2 kg ulgi wagi. Nie jest stosowana ulga
wagi za kategorie jeździeckie. (ok. 5500 m) Opłata za zapis 2630 zł.
2. Grand Prix White Turf St. Moritz 18 000 zł (7500-3750-3000-2250-1500)
Międzynarodowa gonitwa z przeszkodami dla 5-letnich i starszych koni, które od 1.07.2015 nie wygrały
w gonitwach z przeszkodami sumy 15 000 zł. Waga dla koni 5-letnich 68 kg, dla koni 6-letnich i starszych
69 kg. Konie, które od 1.07.2015 nie wygrały w gonitwach z przeszkodami sumy 3 000 zł, korzystają z 4 kg
ulgi wagi, 6 000 zł – 3 kg, 9 000 zł – 2 kg, 12 000 zł – 1 kg. Klacze 5- i 6-letnie korzystają z 2 kg ulgi wagi.
Nie jest stosowana ulga wagi za kategorie jeździeckie. (ok. 4000 m) Opłata za zapis 380 zł.
3. Nagroda 18 000 zł (7500-3750-3000-2250-1500)
Cykl gonitw z przeszkodami dla 4-letnich koni pod patronatem DTWK Partynice
Międzynarodowa gonitwa z przeszkodami dla 4-letnich koni. Waga 63 kg. Konie, które biegały w gonitwie
z przeszkodami niosą 2 kg nadwagi. Konie, które w gonitwach z przeszkodami wygrały sumę 2 500 zł
niosą 2,5 kg nadwagi, za każde kolejne wygrane 2 500 zł dodatkowe 0,5 kg. Klacze korzystają z 2 kg ulgi
wagi. Nie jest stosowana ulga wagi za kategorie jeździeckie. (ok. 3800 m) Opłata za zapis 380 zł.
4. Nagroda 15 600 zł (6500-3250-2600-1950-1300)
Cykl gonitw z przeszkodami dla 4-letnich koni pod patronatem DTWK Partynice
Międzynarodowa gonitwa z przeszkodami dla 4-letnich koni, które nie wygrały w gonitwach
z przeszkodami sumy 6 500 zł. Waga 63 kg. Konie, które biegały w gonitwie z przeszkodami niosą 2 kg
nadwagi. Konie, które w gonitwach z przeszkodami wygrały sumę 1 500 zł niosą 2,5 kg nadwagi, za każde
kolejne wygrane 1 500 zł dodatkowe 0,5 kg. Klacze korzystają z 2 kg ulgi wagi. Nie jest stosowana ulga
wagi za kategorie jeździeckie. (ok. 3600 m) Opłata za zapis 360 zł.
5. Nagroda 1. Dywizji Kawalerii Wojska Polskiego 21 600 zł (9000-4500-3600-2700-1800)
Międzynarodowa gonitwa z płotami dla 4-letnich i starszych koni. Waga dla koni 4-letnich 66 kg, dla koni 5letnich i starszych 69 kg. Konie, które od 1.07.2015 nie wygrały w gonitwach z płotami sumy 5 000 zł,
korzystają z 3 kg ulgi wagi, 10 000 zł – 2 kg, 15 000 – 1 kg. Klacze 4-, 5- i 6-letnie korzystają z 2 kg ulgi
wagi. Nie jest stosowana ulga wagi za kategorie jeździeckie. (ok. 3800 m) Opłata za zapis 410 zł.
6. Nagroda 14 400 zł (6000-3000-2400-1800-1200)
Międzynarodowa gonitwa z płotmi dla 4-letnich i starszych koni, które od 1.07.2015 nie wygrały
w gonitwach z płotami sumy 10 000 zł. Waga dla koni 4-letnich 66 kg, dla koni 5-letnich i starszych 69 kg.
Konie, które od 1.07.2015 nie wygrały w gonitwach z płotami sumy 2 500 zł, korzystają z 3 kg ulgi wagi,
5 000 zł – 2 kg, 7 500 – 1 kg. Klacze 4-, 5- i 6-letnie korzystają z 2 kg ulgi wagi. Nie jest stosowana ulga
wagi za kategorie jeździeckie. (ok. 3200 m) Opłata za zapis 350 zł.
7. Nagroda 14 400 zł (6000-3000-2400-1800-1200)
Międzynarodowa gonitwa III grupy dla 3-letnich koni. Waga 59 kg. Konie, które w karierze nie zajęły
płatnego miejsca niosą 2 kg nadwagi; konie, które zajęły płatne miejsce, ale nie wygrały gonitwy niosą 4 kg
nadwagi; konie, które wygrały gonitwę 5 kg nadwagi; za każdą kolejną wygraną gonitwę dodatkowo 1 kg
nadwagi. Klacze korzystają z 2 kg ulgi wagi. Nie jest stosowana ulga wagi za kategorie jeździeckie.
(ok. 2600 m) Opłata za zapis 350 zł.
8. Nagroda 12 000 zł (5000-2500-2000-1500-1000)
Gonitwa dla 3-letnich koni wyłącznie III grupy. (ok. 1400 m)
Dzień 7
Niedziela, 26 czerwca
Zapisy 16.06.2016 do godz. 9.00.
1. Nagroda 12 000 zł (5000-2500-2000-1500-1000)
Gonitwa dla 4-letnich i starszych koni III grupy. (ok. 2200 m)
2. Nagroda 12 000 zł (5000-2500-2000-1500-1000)
Puchar Młodych Jeźdźców pod patronatem Prezesa PKWK
Gonitwa dla 3-letnich koni wyłącznie III grupy. Koni dosiadają wyłącznie uczniowie lub starsi uczniowie.
Ulgi wagi z tytułu kategorii jeździeckich: jeźdźcy, którzy nie wygrali gonitwy 2 kg, a 10 gonitw 1 kg.
Wszyscy jeźdźcy dosiadają koni bez bata. (ok. 1907 m)
3. Nagroda SK Wiśnicz 14 400 zł (6000-3000-2400-1800-1200)
Gonitwa dla 3-letnich koni czystej krwi arabskiej i grupy. (ok. 2200 m)
4. Nagroda 9 600 zł (4000-2000-1600-1200-800)
Memoriał Kasi Litwiniuk
Gonitwa dla 3-letnich koni czystej krwi arabskiej II grupy hodowli krajowej wpisanych do Polskiej Księgi
Stadnej Koni Arabskich Czystej Krwi (PASB). Koni dosiadają wyłącznie amazonki. Wszystkie amazonki
dosiadają koni bez bata. (ok. 1600 m)
5. Nagroda 9 600 zł (4000-2000-1600-1200-800)
Puchar Młodych Jeźdźców pod patronatem Prezesa PKWK
Gonitwa dla 3-letnich koni czystej krwi arabskiej II grupy. Koni dosiadają wyłącznie uczniowie lub starsi
uczniowie. Wszyscy jeźdźcy dosiadają koni bez bata. (ok. 1907 m)
6. Nagroda 9 600 zł (4000-2000-1600-1200-800)
Gonitwa dla 3-letnich klaczy czystej krwi arabskiej II grupy. (ok. 1600 m)
7. Nagroda TEQUILI DANCE 8 400 zł (4200‐ 2100‐ 1050‐ 630‐ 420)
Międzynarodowa gonitwa dla 3‐ letnich i starszych kłusaków francuskich (sulki), które w karierze uzyskały
sumę nagród do 21 300 zł włącznie. Start wolny. (ok. 2200 m) Opłata za zapis 85 zł.
8. Nagroda VARENNE 8 400 zł (4200‐ 2100‐ 1050‐ 630‐ 420)
Międzynarodowa gonitwa dla 3‐ letnich i starszych kłusaków francuskich (sulki), które w karierze uzyskały
sumę nagród do 64 000 zł włącznie. Start wolny. (ok. 2400 m) Opłata za zapis 85 zł.
Dzień 8
Niedziela, 31 lipca
Zapisy 21.07.2016 do godz. 9.00.
1. Nagroda 9 600 zł (4000-2000-1600-1200-800)
Gonitwa dla 3-letnich i starszych koni wyłącznie IV grupy. (ok. 1907 m)
2. Nagroda 16 800 zł (7000-3500-2800-2100-1400)
Międzynarodowa gonitwa dla 2-letnich koni II grupy, które nie biegały. (ok. 1000 m) Opłata za zapis 290 zł.
3. Nagroda 14 400 zł (6000-3000-2400-1800-1200)
Gonitwa dla 3-letnich koni czystej krwi arabskiej i grupy. (ok. 2200 m)
4. Nagroda 9 600 zł (4000-2000-1600-1200-800)
Gonitwa dla 3-letnich koni czystej krwi arabskiej II grupy. (ok. 2200 m)
5. Nagroda 9 600 zł (4000-2000-1600-1200-800)
Gonitwa dla 3-letnich koni czystej krwi arabskiej II grupy. (ok. 1907 m)
6. Nagroda 9 600 zł (4000-2000-1600-1200-800)
Gonitwa dla 3-letnich koni czystej krwi arabskiej II grupy. (ok. 1600 m)
7. Nagroda MACK LOBELL’A 8 400 zł (4200‐ 2100‐ 1050‐ 630‐ 420)
Międzynarodowa gonitwa dla 3‐ letnich i starszych kłusaków francuskich (sulki), które w karierze uzyskały
sumę nagród powyżej 64 000 zł. Start wolny. (ok. 2400 m) Opłata za zapis 85 zł.
8. Nagroda VAHINE DU LYS 8 400 zł (4200‐ 2100‐ 1050‐ 630‐ 420)
Międzynarodowa gonitwa dla 3‐ letnich i starszych kłusaków francuskich (sulki). Start wolny. (ok. 2600 m)
Opłata za zapis 85 zł.
Dzień 9
Niedziela, 7 sierpnia
Zapisy 28.07.2016 do godz. 9.00.
1. Wrocławska Trial 21 600 zł (9000-4500-3600-2700-1800)
Międzynarodowa gonitwa z przeszkodami dla 5-letnich i starszych koni. Waga 69 kg. Klacze 5- i 6-letnie
korzystają z 2 kg ulgi wagi. Nie jest stosowana ulga wagi za kategorie jeździeckie. (ok. 4200 m) Opłata za
zapis 410 zł.
2. Nagroda 18 000 zł (7500-3750-3000-2250-1500)
Cykl gonitw z przeszkodami dla 4-letnich koni pod patronatem DTWK Partynice
Międzynarodowa gonitwa z przeszkodami dla 4-letnich koni. Waga 66 kg. Za każdą sumę 4 000 zł
wygraną w gonitwach z przeszkodami 0,5 kg nadwagi. Konie, które debiutują w gonitwie z przeszkodami
korzystają z 2 kg ulgi wagi. Klacze korzystają z 2 kg ulgi wagi. Nie jest stosowana ulga wagi ze względu na
kategorie jeździeckie. (ok. 3800 m) Opłata za zapis 380 zł.
3. Nagroda 15 600 zł (6500-3250-2600-1950-1300)
Cykl gonitw z przeszkodami dla 4-letnich koni pod patronatem DTWK Partynice
Międzynarodowa gonitwa z przeszkodami dla 4-letnich koni, które nie wygrały w gonitwach
z przeszkodami sumy 6500 zł. Waga 66 kg. Za każdą sumę 2 000 zł wygraną w gonitwach z przeszkodami
0,5 kg nadwagi. Konie, które debiutują w gonitwie z przeszkodami korzystają z 2 kg ulgi wagi. Klacze
korzystają z 2 kg ulgi wagi. Nie jest stosowana ulga wagi ze względu na kategorie jeździeckie.
(ok. 3600 m) Opłata za zapis 360 zł.
4. Puchar Grupy Wyszehradzkiej 21 600 zł (9000-4500-3600-2700-1800)
Międzynarodowa gonitwa z płotami dla 4-letnich i starszych koni. Waga dla koni 4-letnich 67 kg, dla koni 5letnich i starszych 69 kg. Konie, które od 1.09.2015 nie wygrały w gonitwach z płotami sumy 8 000 zł,
korzystają z 3 kg ulgi wagi, 16 000 zł – 2 kg, 24 000 zł – 1 kg. Klacze 4-, 5- i 6-letnie korzystają z 2 kg ulgi
wagi. Nie jest stosowana ulga wagi ze względu na kategorie jeździeckie. (ok. 3200 m) Opłata za zapis
410 zł.
5. Memoriał Jerzego Eliasa 18 000 zł (7500-3750-3000-2250-1500)
Międzynarodowa gonitwa z płotami dla 4-letnich i starszych koni, które od 1.09.2015 nie wygrały
w gonitwach z płotami sumy 12 000 zł. Waga dla koni 4-letnich 66 kg, dla koni 5-letnich i starszych 69 kg.
Konie, które od 1.09.2015 nie wygrały w gonitwach z płotami sumy 3 000 zł, korzystają z 3 kg ulgi wagi,
6 000 zł – 2 kg, 9 000 zł – 1 kg. Klacze 4-, 5- i 6-letnie korzystają z 2 kg ulgi wagi. Nie jest stosowana ulga
wagi ze względu na kategorie jeździeckie. (ok. 3600 m) Opłata za zapis 380 zł.
6. Nagroda Bojgarda 18 000 zł (7500-3750-3000-2250-1500)
Cykl gonitw z płotami dla 3-letnich koni.
Międzynarodowa gonitwa z płotami dla 3-letnich koni. Waga 64 kg. Za każdą sumę 2 000 zł wygraną
w gonitwach z płotami 0,5 kg nadwagi. Konie, które debiutują w gonitwie z płotami korzystają z 1 kg ulgi
wagi. Klacze korzystają z 2 kg ulgi wagi. Nie jest stosowana ulga wagi ze względu na kategorie
jeździeckie. (ok. 2800 m) Opłata za zapis 380 zł.
7. Nagroda 12 000 zł (5000-2500-2000-1500-1000)
Gonitwa dla 3-letnich i starszych koni III grupy. (ok. 2200 m)
8. Nagroda 9 600 zł (4000-2000-1600-1200-800)
Gonitwa dla 3-letnich i starszych koni wyłącznie IV grupy. (ok. 1600 m)
Dzień 10
Niedziela, 21 sierpnia
Zapisy 11.08.2016 do godz. 9.00.
1. Nagroda 16 800 zł (7000-3500-2800-2100-1400)
Międzynarodowa gonitwa dla 2-letnich koni II grupy, które nie biegały. (ok. 1200 m) Opłata za zapis 290 zł.
2. Nagroda 14 400 zł (6000-3000-2400-1800-1200)
Memoriał Profesora Andrzeja Modrakowskiego.
Gonitwa dla 3-letnich koni czystej krwi arabskiej i grupy hodowli krajowej wpisanych do Polskiej Księgi
Stadnej Koni Arabskich Czystej Krwi (PASB). (ok. 1907 m)
3. Nagroda 9 600 zł (4000-2000-1600-1200-800)
Gonitwa dla 3-letnich koni czystej krwi arabskiej II grupy hodowli krajowej wpisanych do Polskiej Księgi
Stadnej Koni Arabskich Czystej Krwi (PASB). (ok. 2200 m)
4. Nagroda 9 600 zł (4000-2000-1600-1200-800)
Puchar Młodych Jeźdźców pod patronatem Prezesa PKWK
Gonitwa dla 3-letnich koni czystej krwi arabskiej II grupy. Koni dosiadają wyłącznie uczniowie lub starsi
uczniowie. Wszyscy jeźdźcy dosiadają koni bez bata. (ok. 1907 m)
5. Nagroda 9 600 zł (4000-2000-1600-1200-800)
Puchar Młodych Jeźdźców pod patronatem Prezesa PKWK
Gonitwa dla 3-letnich koni czystej krwi arabskiej II grupy. Koni dosiadają wyłącznie uczniowie lub starsi
uczniowie. Wszyscy jeźdźcy dosiadają koni bez bata. (ok. 1600 m)
6. Nagroda BARBARISKI 8 900 zł (4450‐ 2225‐ 1112‐ 667‐ 446)
Międzynarodowa gonitwa dla 3‐ letnich i starszych kłusaków francuskich (sulki), które w karierze uzyskały
sumę nagród do 12 800 zł włącznie. Start wolny. (ok. 2200 m) Opłata za zapis 90 zł.
7. Nagroda TRIBAL DANCE 8 900 zł (4450‐ 2225‐ 1112‐ 667‐ 446)
Międzynarodowa gonitwa dla 3‐ letnich i starszych kłusaków francuskich (sulki), które w karierze uzyskały
sumę nagród do 42 700 zł włącznie. Start wolny. (ok. 2400 m) Opłata za zapis 90 zł.
8. Nagroda BELLINO II 8 900 zł (4450‐ 2225‐ 1112‐ 667‐ 446)
Międzynarodowa gonitwa dla 3‐ letnich i starszych kłusaków francuskich (sulki), które w karierze uzyskały
sumę nagród do 85 300 zł włącznie. Start wolny. (ok. 2400 m) Opłata za zapis 90 zł.
Dzień 11
Niedziela, 4 września
Zapisy 25.08.2016 do godz. 9.00.
1. Wielka Wrocławska Nagroda Portu Lotniczego Wrocław 175 000 zł (100000-40000-20000-100005000)
Międzynarodowa gonitwa z przeszkodami dla 5-letnich i starszych koni, które od 1.01.2016 r. ukończyły
gonitwę z przeszkodami na płatnym miejscu. Waga dla koni 5-letnich 68 kg, dla koni 6-letnich i starszych
69 kg. Klacze 5- i 6-letnie korzystają z 2 kg ulgi wagi. Koni dosiadają wyłącznie jeźdźcy, którzy w sposób
ważny ukończyli co najmniej 10 gonitw z przeszkodami. Nie jest stosowana ulga wagi ze względu na
kategorie jeździeckie. (ok. 5000 m) Opłata za zapis 3230 zł (1000, 1000, 1230). Zapisy 30.06,
I skreślenie 28.07, II skreślenie 25.08. Dopuszcza się możliwość dodatkowego zapisu w terminie
i skreślenia za dodatkową opłatą 2000 zł oraz w terminie II skreślenia za dodatkową opłatą 4000 zł.
2. Wielka Partynicka 105 000 zł (60000-24000-12000-6000-3000)
Międzynarodowa gonitwa z płotami dla 4-letnich i starszych koni, które od 1.01.2016 r. ukończyły gonitwę
z płotami lub przeszkodami na płatnym miejscu. Waga dla koni 4-letnich 67 kg, dla koni 5-letnich
i starszych 69 kg. Klacze 4-, 5- i 6-letnie korzystają z 2 kg ulgi wagi. Koni dosiadają wyłącznie jeźdźcy,
którzy w sposób ważny ukończyli co najmniej 10 gonitw z płotami lub przeszkodami. Nie jest stosowana
ulga wagi ze względu na kategorie jeździeckie. (ok. 4200 m) Opłata za zapis 2030 zł (600, 600, 830).
Zapisy 30.06, I skreślenie 28.07, II skreślenie 25.08. Dopuszcza się możliwość dodatkowego zapisu
w terminie i skreślenia za dodatkową opłatą 1200 zł oraz w terminie II skreślenia za dodatkową opłatą
2400 zł.
3. Nagroda Galeriusa o Puchar Stajni Wyścigowej Kolesa 21 600 zł (9000-4500-3600-2700-1800)
Międzynarodowa gonitwa z przeszkodami dla 5-letnich i starszych koni. Waga 69 kg. Konie, które od
1.10.2015 nie wygrały w gonitwach z przeszkodami sumy 6 000 zł, korzystają z 2 kg ulgi wagi, 12 000 zł –
1,5 kg, 18 000 zł – 1 kg, 24 000 zł – 0,5 kg. Klacze 5- i 6-letnie korzystają z 2 kg ulgi wagi. Nie jest
stosowana ulga wagi ze względu na kategorie jeździeckie. (ok. 3400 m) Opłata za zapis 410 zł.
4. Nagroda Habany 15 600 zł (6500-3250-2600-1950-1300)
Międzynarodowa gonitwa z przeszkodami dla 5-letnich i starszych koni, które od 1.10 2015 nie wygrały
w gonitwach z przeszkodami sumy 5 000 zł. Waga 69 kg. Konie, które od 1.10.2015 nie wygrały
w gonitwach z przeszkodami sumy 1 000 zł, korzystają z 2 kg ulgi wagi, 2 000 zł – 1,5 kg, 3 000 zł – 1 kg,
4 000 zł – 0,5 kg. Klacze 5- i 6-letnie korzystają z 2 kg ulgi wagi. Nie jest stosowana ulga wagi ze względu
na kategorie jeździeckie. (ok. 4200 m) Opłata za zapis 360 zł.
5. Nagroda Toru Wyścigowego w Pardubicach 18 000 zł (7500-3750-3000-2250-1500)
Cena Dostihoveho zavodiste Pardubice
Cykl gonitw z przeszkodami dla 4-letnich koni pod patronatem DTWK Partynice
Międzynarodowa gonitwa z przeszkodami dla 4-letnich koni. Waga 66 kg. Za każdą sumę 5 000 zł
wygraną w gonitwach z przeszkodami 0,5 kg nadwagi. Konie, które debiutują w gonitwie z przeszkodami
korzystają z 2 kg ulgi wagi. Klacze korzystają z 2 kg ulgi wagi. Nie jest stosowana ulga wagi za kategorie
jeździeckie. (ok. 3800 m) Opłata za zapis 380 zł.
6. Nagroda Galileo 18 000 zł (7500-3750-3000-2250-1500)
Międzynarodowa gonitwa z płotami dla 4-letnich i starszych koni. Waga dla koni 4-letnich 67 kg, dla koni 5letnich i starszych 69 kg. Konie, które od 1.10.2015 nie wygrały w gonitwach z płotami sumy 7 500 zł,
korzystają z 3 kg ulgi wagi, 15 000 zł – 2 kg, 24 000 zł – 1 kg. Klacze 4-, 5- i 6-letnie korzystają z 2 kg ulgi
wagi. Nie jest stosowana ulga wagi ze względu na kategorie jeździeckie. (ok. 3400 m) Opłata za zapis
380 zł. gonitwa odwołana
7. Nagroda 18 000 zł (7500-3750-3000-2250-1500)
Cykl gonitw z płotami dla 3-letnich koni.
Międzynarodowa gonitwa z płotami dla 3-letnich koni. Waga 65 kg. Za każdą sumę 2 000 zł wygraną
w gonitwach z płotami 0,5 kg nadwagi. Konie, które debiutują w gonitwie z płotami korzystają z 2 kg ulgi
wagi. Klacze korzystają z 2 kg ulgi wagi. Nie jest stosowana ulga wagi ze względu na kategorie
jeździeckie. (ok. 2800 m) Opłata za zapis 380 zł.
8. Nagroda 12 000 zł (5000-2500-2000-1500-1000)
Gonitwa dla 3-letnich i starszych koni wyłącznie III grupy. (ok. 1400 m)
9. Nagroda 9 600 zł (4000-2000-1600-1200-800)
Gonitwa dla 3-letnich i starszych koni IV grupy. (ok. 1907 m)
Dzień 12
Niedziela, 18 września
Zapisy 8.09.2016 do godz. 9.00.
1. Nagroda 16 800 zł (7000-3500-2800-2100-1400)
Międzynarodowa gonitwa dla 2-letnich koni II grupy, które nie wygrały gonitwy. (ok. 1200 m) Opłata za
zapis 290 zł.
2. Nagroda SK Lesieniec (kat. B) 21 600 zł (9000-4500-3600-2700-1800)
Gonitwa dla 3-letnich koni czystej krwi arabskiej hodowli krajowej wpisanych do Polskiej Księgi Stadnej
Koni Arabskich Czystej Krwi (PASB). (ok. 2400 m)
3. Nagroda 9 600 zł (4000-2000-1600-1200-800)
Gonitwa dla 3-letnich koni czystej krwi arabskiej II grupy. (ok. 2200 m)
4. Nagroda 9 600 zł (4000-2000-1600-1200-800)
Gonitwa dla 3-letnich koni czystej krwi arabskiej II grupy. (ok. 1907 m)
5. Nagroda 9 600 zł (4000-2000-1600-1200-800)
Gonitwa dla 3-letnich koni czystej krwi arabskiej II grupy hodowli krajowej wpisanych do Polskiej Księgi
Stadnej Koni Arabskich Czystej Krwi (PASB). (ok. 1600 m)
6. Nagroda ASPERA DE CASSANDRA 8 900 zł (4450‐ 2225‐ 1112‐ 667‐ 446)
Międzynarodowa gonitwa dla 3‐ letnich i starszych kłusaków francuskich (sulki), które w karierze uzyskały
sumę nagród do 150 000 zł włącznie. Start wolny. (ok. 2400 m) Opłata za zapis 90 zł.
7. Nagroda SERENADE DU BETZ 8 900 zł (4450‐ 2225‐ 1112‐ 667‐ 446)
Międzynarodowa gonitwa dla 3‐ letnich i starszych kłusaków francuskich (sulki), które w karierze uzyskały
sumę nagród powyżej 150 000 zł. Start wolny. (ok. 2400 m) Opłata za zapis 90 zł.
8. Nagroda GELINOTTE 8 900 zł (4450‐ 2225‐ 1112‐ 667‐ 446)
Międzynarodowa gonitwa dla 3‐ letnich i starszych kłusaków francuskich (sulki). Start wolny. (ok. 2600 m)
Opłata za zapis 90 zł.
Dzień 13
Niedziela, 25 września
Zapisy 15.09.2015 do godz. 9.00.
1. Nagroda Masiniego 15 600 zł (6500-3250-2600-1950-1300)
Międzynarodowa gonitwa z przeszkodami dla 5-letnich i starszych koni, które w 2016 r. nie wygrały
w gonitwach z przeszkodami sumy 12 500 zł. Waga 69 kg. Konie, które w 2016 r. nie wygrały w gonitwach
z przeszkodami sumy 2 500 zł, korzystają z 2 kg ulgi wagi, 5 000 zł – 1,5 kg, 7 500 zł – 1 kg, 10 000 zł –
0,5 kg. Konie, które debiutują w gonitwie z przeszkodami korzystają z 4 kg ulgi wagi. Klacze 5- i 6-letnie
korzystają z 2 kg ulgi wagi. Nie jest stosowana ulga wagi ze względu na kategorie jeździeckie.
(ok. 3800 m) Opłata za zapis 360 zł.
2. Nagroda 15 600 zł (6500-3250-2600-1950-1300)
Cykl gonitw z przeszkodami dla 4-letnich koni pod patronatem DTWK Partynice
Międzynarodowa gonitwa z przeszkodami dla 4-letnich koni, które nie wygrały w gonitwach
z przeszkodami sumy 9000 zł. Waga 67 kg. Za każdą sumę 2 000 zł wygraną w gonitwach z przeszkodami
0,5 kg nadwagi. Konie, które debiutują w gonitwie z przeszkodami korzystają z 2 kg ulgi wagi. Klacze
korzystają z 2 kg ulgi wagi. Nie jest stosowana ulga wagi ze względu na kategorie jeździeckie.
(ok. 3800 m) Opłata za zapis 360 zł.
3. Nagroda Hubala 21 600 zł (9000-4500-3600-2700-1800)
Międzynarodowa gonitwa z płotami dla 4-letnich i starszych koni. Waga dla koni 4-letnich 67 kg, dla koni 5letnich i starszych 69 kg. Konie, które w 2016 r. nie wygrały w gonitwach z płotami sumy 7 500 zł,
korzystają z 3 kg ulgi wagi, 15 000 zł – 2 kg, 24 000 zł – 1 kg. Klacze 4-, 5- i 6-letnie korzystają z 2 kg ulgi
wagi. Nie jest stosowana ulga wagi ze względu na kategorie jeździeckie. (ok. 3600 m) Opłata za zapis
410 zł.
gonitwa odwołana
4. Nagroda 14 400 zł (6000-3000-2400-1800-1200)
Międzynarodowa gonitwa z płotami dla 4-letnich i starszych koni, które w 2016 r. nie wygrały w gonitwach
z płotami sumy 12 000 zł. Waga dla koni 4-letnich 68 kg, dla koni 5-letnich i starszych 69 kg. Konie, które
w 2016 r. nie wygrały w gonitwach z płotami sumy 1 500 zł, korzystają z 3,5 kg ulgi wagi, 3 000 zł – 3 kg,
4 500 zł – 2,5 kg, 6 000 zł – 2 kg, 7 500 zł – 1,5 kg, 9 000 zł – 1 kg, 10 500 zł – 0,5 kg. Klacze 4-, 5- i 6letnie korzystają z 2 kg ulgi wagi. Nie jest stosowana ulga wagi ze względu na kategorie jeździeckie.
(ok. 3000 m) Opłata za zapis 350 zł.
5 Nagroda Rosario 18 000 zł (7500-3750-3000-2250-1500)
Cykl gonitw z płotami dla 3-letnich koni
Międzynarodowa gonitwa z płotami dla 3-letnich koni. Waga 66 kg. Za każdą sumę 3 000 zł wygraną
w gonitwach z płotami 0,5 kg nadwagi. Konie, które debiutują w gonitwie z płotami korzystają z 2 kg ulgi
wagi. Klacze korzystają z 2 kg ulgi wagi. Nie jest stosowana ulga wagi ze względu na kategorie
jeździeckie. (ok. 2800 m) Opłata za zapis 380 zł.
6. Nagroda 12 000 zł (5000-2500-2000-1500-1000)
Gonitwa dla 3-letnich i starszych koni III grupy. (ok. 2200 m)
7. Nagroda 9 600 zł (4000-2000-1600-1200-800)
Gonitwa dla 3-letnich koni wyłącznie IV grupy. (ok. 1907 m)
8. Nagroda 9 600 zł (4000-2000-1600-1200-800)
Gonitwa dla 3-letnich koni wyłącznie IV grupy. (ok. 1400 m)
Dzień 14
Niedziela, 9 października
Zapisy 29.09.2015 do godz. 9.00.
1. Nagroda 16 800 zł (7000-3500-2800-2100-1400)
Międzynarodowa gonitwa dla 2-letnich koni II grupy, które nie wygrały gonitwy. (ok. 1200 m) Opłata za
zapis 290 zł.
2. Nagroda 14 400 zł (6000-3000-2400-1800-1200)
Gonitwa dla 3-letnich koni czystej krwi arabskiej I grupy. (ok. 2200 m)
3. Nagroda 9 600 zł (4000-2000-1600-1200-800)
Gonitwa dla 3-letnich koni czystej krwi arabskiej II grupy. (ok. 2200 m)
4. Nagroda 9 600 zł (4000-2000-1600-1200-800)
Gonitwa dla 3-letnich koni czystej krwi arabskiej II grupy hodowli krajowej wpisanych do Polskiej Księgi
Stadnej Koni Arabskich Czystej Krwi (PASB). (ok. 1907 m)
5. Nagroda 9 600 zł (4000-2000-1600-1200-800)
Gonitwa dla 3-letnich koni czystej krwi arabskiej II grupy. (ok. 1600 m)
6. Nagroda COMMANDER’A CROWE’A 6 400 zł (3200‐ 1600‐ 800‐ 480‐ 320)
Międzynarodowa gonitwa dla 2-letnich kłusaków francuskich (sulki). Start wolny. (ok. 1900 m). Opłata za
zapis 65 zł.
7. Nagroda BOLD EAGLE 6 400 zł (3200‐ 1600‐ 800‐ 480‐ 320)
Międzynarodowa gonitwa dla 3‐ 7 letnich kłusaków francuskich (sulki), które w 2016 roku nie wygrały
gonitwy. Start wolny. (ok. 2400 m) Opłata za zapis 65 zł.
8. Nagroda TIMOKO 6 400 zł (3200‐ 1600‐ 800‐ 480‐ 320)
Międzynarodowa gonitwa dla 8‐ letnich i starszych kłusaków francuskich (sulki), które w 2016 roku nie
wygrały gonitwy. Start wolny. (ok. 2400 m) Opłata za zapis 65 zł.
Dzień 15
Niedziela, 16 października - Dzień Województwa Dolnośląskiego
Zapisy 6.10.2016 do godz. 9.00.
1. Nagroda Konstelacji - L (kat. A) 87 500 zł (50000-20000-10000-5000-2500)
Gonitwa pod patronatem Polskiego Klubu Wyścigów Konnych
Międzynarodowa gonitwa dla 3-letnich i starszych klaczy. Waga dla klaczy 3-letnich 57 kg, dla klaczy 4letnich i starszych 60 kg. Nie jest stosowana ulga wagi ze względu na kategorie jeździeckie. (ok. 2400 m)
Opłata za zapis 1650 zł.
2. Nagroda Przewodniczącej Sejmiku Dolnośląskiego (Specjalna) - (kat. B) 35 000 zł (20000-8000-40002000-1000)
Międzynarodowa gonitwa dla 3-letnich i starszych koni. Waga dla koni 3- letnich 58 kg, dla koni 4-letnich
i starszych 60 kg. Klacze 3-, 4-, 5- i 6-letnie korzystają z 2 kg ulgi wagi. Nadwagi nie są stosowane.
(ok. 1600 m) Opłata za zapis 750 zł.
3. Nagroda Marszałka Województwa Dolnośląskiego 70 000 zł (40000-16000-8000-4000-2000)
Cykl gonitw z przeszkodami dla 4-letnich koni pod patronatem DTWK Partynice.
Prawo startu mają konie, które ukończyły co najmniej jedną z gonitw cyklu.
Międzynarodowa gonitwa z przeszkodami dla 4-letnich koni. Waga 67 kg. Klacze korzystają z 2 kg ulgi
wagi. Nie jest stosowana ulga wagi ze względu na kategorie jeździeckie. (ok. 4000 m) Opłata za zapis
1430 zł.
4. Wielka Służewiecka 36 000 zł (15000-7500-6000-4500-3000)
Międzynarodowa gonitwa z płotami dla 4-letnich i starszych koni. Waga dla koni 4-letnich 67 kg, dla koni 5letnich i starszych 69 kg. Klacze 4-, 5- i 6-letnie korzystają z 2 kg ulgi wagi. Nie jest stosowana ulga wagi
ze względu na kategorie jeździeckie. (ok. 4000 m) Opłata za zapis 530 zł.
gonitwa odwołana
5. Nagroda Zamknięcia Sezonu Przeszkodowego 21 600 zł (9000-4500-3600-2700-1800)
Międzynarodowa gonitwa z przeszkodami dla 5-letnich i starszych koni, które w 2016 r. nie wygrały
w gonitwach z przeszkodami sumy 20 000 zł. Waga 69 kg. Konie, które w 2016 r. nie wygrały w gonitwach
z przeszkodami sumy 4 000 zł, korzystają z 4 kg ulgi wagi, 8 000 zł – 3,5 kg, 12 000 zł – 3 kg, 16 000 zł –
2,5 kg, 20 000 zł – 2 kg. Klacze 5- i 6-letnie korzystają z 2 kg ulgi wagi. Nie jest stosowana ulga wagi ze
względu na kategorie jeździeckie. (ok. 3600 m) Opłata za zapis 410 zł.
6. Czempionat płotowy 3-latków 28 800 zł (12000-6000-4800-3600-2400)
Finał cyklu gonitw z płotami dla 3-letnich koni pod patronatem Dyrektora WTWK Partynice.
Prawo startu mają konie, które ukończyły co najmniej jedną z gonitw cyklu
Międzynarodowa gonitwa z płotami dla 3-letnich koni. Waga 66 kg. Klacze korzystają z 2 kg ulgi wagi. Nie
jest stosowana ulga wagi ze względu na kategorie jeździeckie. (ok. 3000 m) Opłata za zapis 470 zł.
7. Nagroda 9 600 zł (4000-2000-1600-1200-800)
Gonitwa dla 3-letnich i starszych koni IV grupy. (ok. 1907 m)
8. Nagroda 9 600 zł (4000-2000-1600-1200-800)
Gonitwa dla 3-letnich i starszych koni wyłącznie IV grupy. (ok. 1400 m)
Dzień 16
Niedziela, 23 października
Zapisy 13.10.2016 do godz. 9.00.
1. Nagroda 9 600 zł (4000-2000-1600-1200-800)
Finał Pucharu Młodych Jeźdźców pod patronatem Prezesa PKWK
Gonitwa dla 3-letnich i starszych koni wyłącznie IV grupy. Koni dosiadają wyłącznie uczniowie lub starsi
uczniowie. Ulgi wagi z tytułu kategorii jeździeckich: jeźdźcy, którzy nie wygrali gonitwy 2 kg, a 10 gonitw 1
kg. Wszyscy jeźdźcy dosiadają koni bez bata. (ok. 1600 m)
2. Nagroda 16 800 zł (7000-3500-2800-2100-1400)
Międzynarodowa gonitwa dla 2-letnich koni II grupy, które nie wygrały gonitwy. (ok. 1400 m) Opłata za
zapis 290 zł.
3. Nagroda Zamknięcia Sezonu 14 400 zł (6000-3000-2400-1800-1200)
Gonitwa dla 3-letnich koni czystej krwi arabskiej I grupy. (ok. 2200 m)
4. Nagroda 9 600 zł (4000-2000-1600-1200-800)
Gonitwa dla 3-letnich koni czystej krwi arabskiej II grupy. (ok. 1907 m)
5. Nagroda 9 600 zł (4000-2000-1600-1200-800)
Puchar Młodych Jeźdźców pod patronatem Prezesa PKWK
Gonitwa dla 3-letnich koni czystej krwi arabskiej II grupy. Koni dosiadają wyłącznie uczniowie lub starsi
uczniowie. Wszyscy jeźdźcy dosiadają koni bez bata. (ok. 1600 m)
6. Nagroda CHEVAL FRANCAIS 25 200 zł (12600‐ 6300‐ 3150‐ 1890‐ 1260)
Międzynarodowa gonitwa dla 3‐ letnich i starszych klaczy kłusaków francuskich (sulki), które w 2016 roku
uzyskały sumę nagród 17 500 zł i więcej. Start wolny. (ok. 2600 m) Opłata za zapis 253 zł.
7. DERBY KŁUSAKÓW FRANCUSKICH 20 000 zł (10000‐ 5000‐ 2500‐ 1500‐ 1000)
Gonitwa dla 4‐ letnich kłusaków francuskich (sulki). Start wolny. (ok. 2400 m) Opłata za zapis 201 zł.