Regulamin promocji „Promocja świąteczna” [2010.12] PVR

Transkrypt

Regulamin promocji „Promocja świąteczna” [2010.12] PVR
Regulamin promocji „Promocja świąteczna” [2010.12] PVR
UŜyte w niniejszym Regulaminie określenia są zdefiniowane w Ogólnym Regulaminie Świadczenia Usług obowiązującym u
Operatora.
Udział w Promocji
Promocja jest kierowana do wszystkich chcących podpisać z Operatorem Umowę Abonencką na świadczenie Usług JAMBOX.
Czas trwania Promocji
Ofertę promocyjną moŜna zakupić w okresie od 6 grudnia 2010 roku do 31 stycznia 2011 roku.
Czas do kiedy Promocja będzie sprzedawana moŜe zostać wydłuŜony.
Zasady Promocji, korzyści i uprawnienia Abonenta
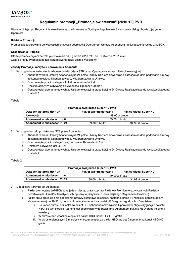
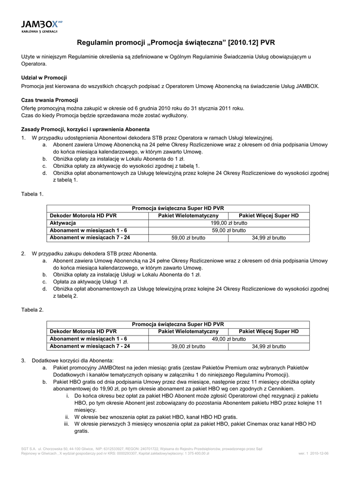
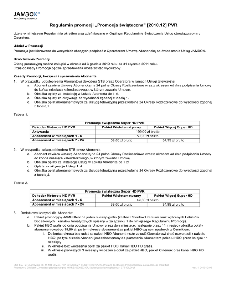
1.
W przypadku udostępnienia Abonentowi dekodera STB przez Operatora w ramach Usługi telewizyjnej.
a. Abonent zawiera Umowę Abonencką na 24 pełne Okresy Rozliczeniowe wraz z okresem od dnia podpisania Umowy
do końca miesiąca kalendarzowego, w którym zawarto Umowę.
b. ObniŜka opłaty za instalację w Lokalu Abonenta do 1 zł.
c. ObniŜka opłaty za aktywację do wysokości zgodnej z tabelą 1.
d. ObniŜka opłat abonamentowych za Usługę telewizyjną przez kolejne 24 Okresy Rozliczeniowe do wysokości zgodnej
z tabelą 1.
Tabela 1.
Dekoder Motorola HD PVR
Aktywacja
Abonament w miesiącach 1 - 6
Abonament w miesiącach 7 - 24
2.
Promocja świąteczna Super HD PVR
Pakiet Wielotematyczny
Pakiet Więcej Super HD
199,00 zł brutto
59,00 zł brutto
59,00 zł brutto
34,99 zł brutto
W przypadku zakupu dekodera STB przez Abonenta.
a. Abonent zawiera Umowę Abonencką na 24 pełne Okresy Rozliczeniowe wraz z okresem od dnia podpisania Umowy
do końca miesiąca kalendarzowego, w którym zawarto Umowę.
b. ObniŜka opłaty za instalację Usługi w Lokalu Abonenta do 1 zł.
c. Opłata za aktywację Usługi 1 zł.
d. ObniŜka opłat abonamentowych za Usługę telewizyjną przez kolejne 24 Okresy Rozliczeniowe do wysokości zgodnej
z tabelą 2.
Tabela 2.
Dekoder Motorola HD PVR
Abonament w miesiącach 1 - 6
Abonament w miesiącach 7 - 24
3.
Promocja świąteczna Super HD PVR
Pakiet Wielotematyczny
Pakiet Więcej Super HD
49,00 zł brutto
39,00 zł brutto
34,99 zł brutto
Dodatkowe korzyści dla Abonenta:
a. Pakiet promocyjny JAMBOtest na jeden miesiąc gratis (zestaw Pakietów Premium oraz wybranych Pakietów
Dodatkowych i kanałów tematycznych opisany w załączniku 1 do niniejszego Regulaminu Promocji).
b. Pakiet HBO gratis od dnia podpisania Umowy przez dwa miesiące, następnie przez 11 miesięcy obniŜka opłaty
abonamentowej do 19,90 zł, po tym okresie abonament za pakiet HBO wg cen zgodnych z Cennikiem.
i. Do końca okresu bez opłat za pakiet HBO Abonent moŜe zgłosić Operatorowi chęć rezygnacji z pakietu
HBO, po tym okresie Abonent jest zobowiązany do pozostania Abonentem pakietu HBO przez kolejne 11
miesięcy.
ii. W okresie bez wnoszenia opłat za pakiet HBO, kanał HBO HD gratis.
iii. W okresie pierwszych 3 miesięcy wnoszenia opłat za pakiet HBO, pakiet Cinemax oraz kanał HBO HD
gratis.
SGT S.A. ul. Chorzowska 50, 44-100 Gliwice, NIP: 6312533927, REGON: 240701722, Wpisana do Rejestru Przedsiębiorców, prowadzonego przez Sąd
Rejonowy w Gliwicach , X wydział gospodarczy pod nr KRS: 0000293307, Kapitał zakładowy/wpłacony: 1 375 400,00 zł
wer. 1 2010-12-06
4.
Ulga udzielona Abonentowi w wyniku tej Promocji obejmuje obniŜki opłat wymienione w punktach od 1 do 3.
a. w przypadku udostępnienia Abonentowi dekodera STB przez Operatora wysokość ulgi wynosi 1 251,94 zł zł brutto.
b. w przypadku zakupu dekodera STB przez Abonenta wysokość ulgi wynosi 511,94 zł brutto.
Zobowiązania Uczestnika Promocji
1.
2.
3.
4.
Abonent zobowiązany jest do pozostania Abonentem przez pełne 24 Okresy Rozliczeniowe wraz z okresem od dnia
podpisania Umowy do końca miesiąca kalendarzowego, w którym zawarto Umowę.
Rozwiązanie Umowy w okresie opisanym w punkcie 1 wiąŜe się z karą w wysokości udzielonej Abonentowi ulgi określonej w
niniejszym Regulaminie, pomniejszonej proporcjonalnie, z uwzględnieniem okresu który upłynął od dnia zawarcia Umowy
Abonenckiej.
Dodatkowo stosuje się zapisy Ogólnego Regulaminu Świadczenia Usług obowiązującego u Operatora, Rozdz. XIII punkt 9.
Ceny obowiązujące w tej Promocji dotyczą klientów którzy jednocześnie posiadają usługę dostępu do Internetu u jednego z
partnerów Operatora. Rezygnacja z Internetu u partnera Operatora spowoduje, Ŝe Operator będzie miał prawo do
podniesienia abonamentu za Usługę telewizyjną o 5 zł.
Postanowienia końcowe
1.
2.
3.
Regulamin Promocji jest częścią Umowy Abonenckiej, jeśli Abonent podpisał Umowę Abonencką w ramach oferty promocyjnej
na zasadach niniejszej Promocji.
W sprawach nieuregulowanych niniejszym Regulaminem mają zastosowanie postanowienia Ogólnego Regulaminu
Świadczenia Usług obowiązującego u Operatora.
KaŜdy Abonent podpisujący Umowę Abonencką na zasadach Promocji opisanej w niniejszym Regulaminie oświadcza, Ŝe
zapoznał się z treścią Regulaminu Promocji i akceptuje warunki w nim zawarte.
4. Regulamin w niniejszej wersji obowiązuje od dnia 6 grudnia 2010 r.
SGT S.A. ul. Chorzowska 50, 44-100 Gliwice, NIP: 6312533927, REGON: 240701722, Wpisana do Rejestru Przedsiębiorców, prowadzonego przez Sąd
Rejonowy w Gliwicach , X wydział gospodarczy pod nr KRS: 0000293307, Kapitał zakładowy/wpłacony: 1 375 400,00 zł
wer. 1 2010-12-06