Wyższa Szkoła Zarządzania i Marketingu w Sochaczewie

Transkrypt

Wyższa Szkoła Zarządzania i Marketingu w Sochaczewie
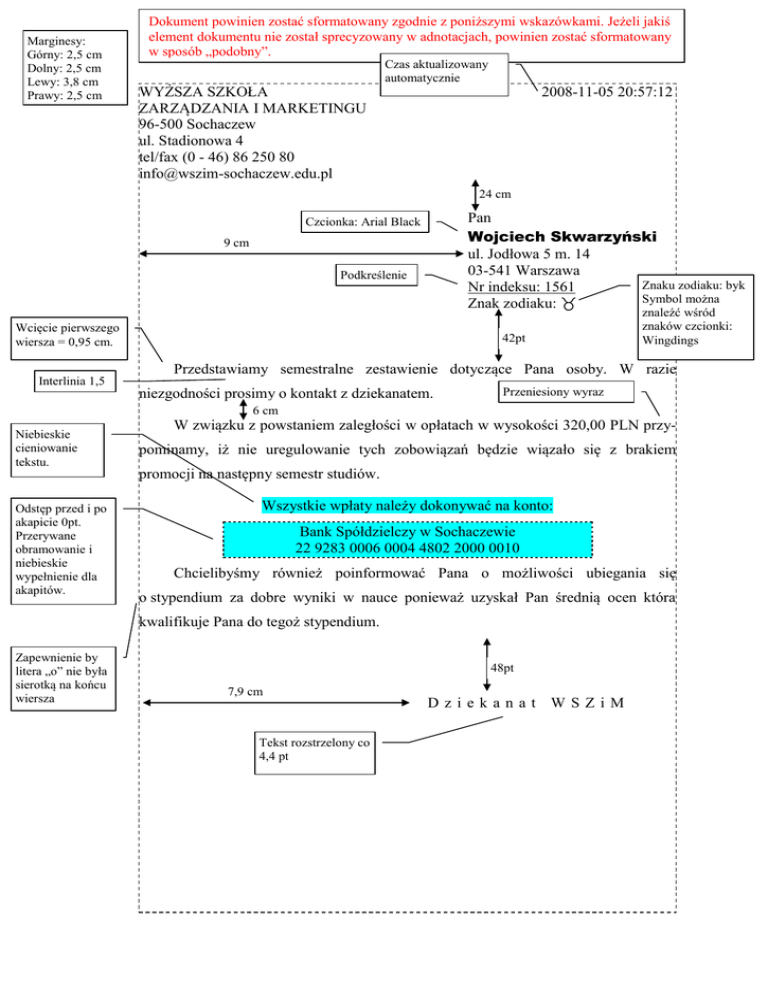
Marginesy:
Górny: 2,5 cm
Dolny: 2,5 cm
Lewy: 3,8 cm
Prawy: 2,5 cm
Dokument powinien zostać sformatowany zgodnie z poniższymi wskazówkami. Jeżeli jakiś
element dokumentu nie został sprecyzowany w adnotacjach, powinien zostać sformatowany
w sposób „podobny”.
WYŻSZA SZKOŁA
ZARZĄDZANIA I MARKETINGU
96-500 Sochaczew
ul. Stadionowa 4
tel/fax (0 - 46) 86 250 80
[email protected]
Czas aktualizowany
automatycznie
2008-11-05 20:57:12
24 cm
Pan
Wojciech Skwarzyński
ul. Jodłowa 5 m. 14
03-541 Warszawa
Znaku zodiaku: byk
Nr indeksu: 1561
Symbol można
Znak zodiaku: 
Czcionka: Arial Black
9 cm
Podkreślenie
Wcięcie pierwszego
wiersza = 0,95 cm.
42pt
cm
znaleźć wśród
znaków czcionki:
Wingdings
Przedstawiamy semestralne zestawienie dotyczące Pana osoby. W razie
Interlinia 1,5
niezgodności prosimy o kontakt z dziekanatem.
Przeniesiony wyraz
6 cm
Niebieskie
cieniowanie
tekstu.
Odstęp przed i po
akapicie 0pt.
Przerywane
obramowanie i
niebieskie
wypełnienie dla
akapitów.
W związku z powstaniem zaległości w opłatach w wysokości 320,00 PLN przypominamy, iż nie uregulowanie tych zobowiązań będzie wiązało się z brakiem
promocji na następny semestr studiów.
Wszystkie wpłaty należy dokonywać na konto:
Bank Spółdzielczy w Sochaczewie
22 9283 0006 0004 4802 2000 0010
Chcielibyśmy również poinformować Pana o możliwości ubiegania się
o stypendium za dobre wyniki w nauce ponieważ uzyskał Pan średnią ocen która
kwalifikuje Pana do tegoż stypendium.
Zapewnienie by
litera „o” nie była
sierotką na końcu
wiersza
48pt
cm
7,9 cm
Tekst rozstrzelony co
4,4 pt
Dziekanat WSZiM