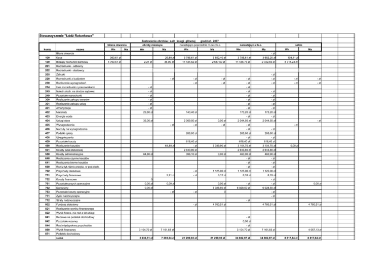
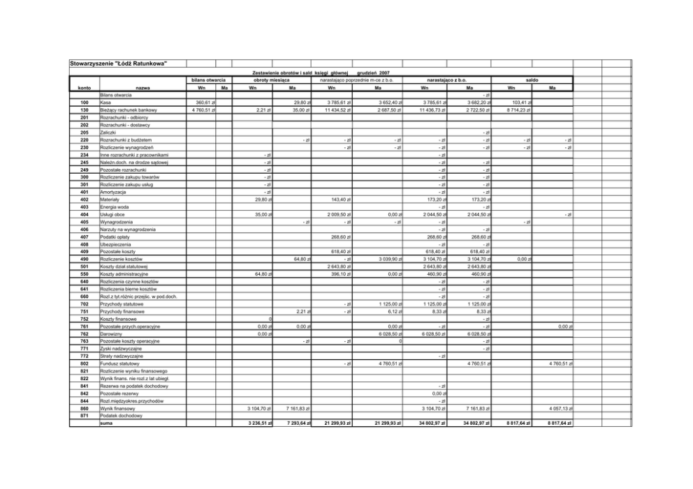
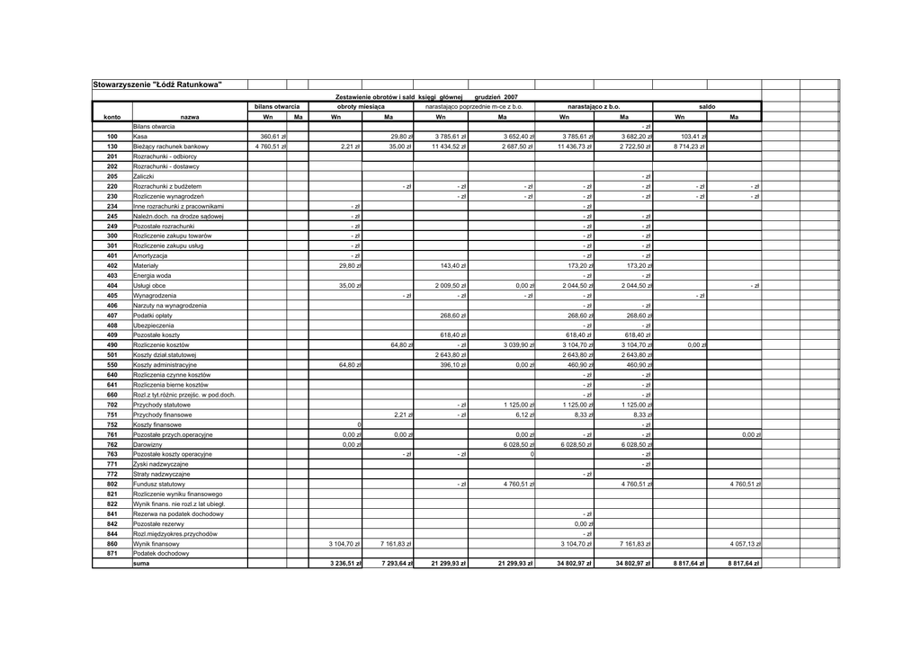
Stowarzyszenie "Łódź Ratunkowa"

Transkrypt

Stowarzyszenie "Łódź Ratunkowa"
Stowarzyszenie "Łódź Ratunkowa"
Zestawienie obrotów i sald księgi głównej
bilans otwarcia
konto
nazwa
Wn
Ma
obroty miesiąca
Wn
grudzień 2007
narastająco poprzednie m-ce z b.o.
Ma
Wn
narastająco z b.o.
Ma
Wn
saldo
Ma
Bilans otwarcia
Wn
100
Kasa
130
Bieżący rachunek bankowy
201
Rozrachunki - odbiorcy
202
Rozrachunki - dostawcy
205
Zaliczki
220
Rozrachunki z budżetem
230
Rozliczenie wynagrodzeń
234
Inne rozrachunki z pracownikami
- zł
- zł
245
Należn.doch. na drodze sądowej
- zł
- zł
- zł
249
Pozostałe rozrachunki
- zł
- zł
- zł
300
Rozliczenie zakupu towarów
- zł
- zł
- zł
301
Rozliczenie zakupu usług
- zł
- zł
- zł
401
Amortyzacja
- zł
- zł
- zł
402
Materiały
173,20 zł
173,20 zł
403
Energia woda
404
Usługi obce
405
Wynagrodzenia
406
Narzuty na wynagrodzenia
407
Podatki opłaty
360,61 zł
408
Ubezpieczenia
409
Pozostałe koszty
490
Rozliczenie kosztów
501
Koszty dział.statutowej
550
Koszty administracyjne
640
Rozliczenia czynne kosztów
641
4 760,51 zł
2,21 zł
29,80 zł
3 785,61 zł
3 652,40 zł
3 785,61 zł
3 682,20 zł
103,41 zł
35,00 zł
11 434,52 zł
2 687,50 zł
11 436,73 zł
2 722,50 zł
8 714,23 zł
- zł
- zł
- zł
- zł
- zł
- zł
- zł
- zł
- zł
- zł
- zł
- zł
- zł
- zł
29,80 zł
143,40 zł
- zł
- zł
35,00 zł
2 009,50 zł
0,00 zł
2 044,50 zł
2 044,50 zł
- zł
- zł
- zł
- zł
- zł
- zł
268,60 zł
268,60 zł
- zł
- zł
618,40 zł
618,40 zł
618,40 zł
3 104,70 zł
3 104,70 zł
2 643,80 zł
2 643,80 zł
460,90 zł
460,90 zł
- zł
- zł
Rozliczenia bierne kosztów
- zł
- zł
660
Rozl.z tyt.różnic przejśc. w pod.doch.
- zł
- zł
702
Przychody statutowe
751
Przychody finansowe
752
Koszty finansowe
761
Pozostałe przych.operacyjne
0,00 zł
762
Darowizny
0,00 zł
763
Pozostałe koszty operacyjne
771
Zyski nadzwyczajne
772
Straty nadzwyczajne
802
Fundusz statutowy
821
Rozliczenie wyniku finansowego
822
Wynik finans. nie rozl.z lat ubiegł.
841
Rezerwa na podatek dochodowy
842
Pozostałe rezerwy
844
Rozl.międzyokres.przychodów
860
Wynik finansowy
871
Podatek dochodowy
64,80 zł
- zł
3 039,90 zł
2 643,80 zł
64,80 zł
396,10 zł
2,21 zł
0,00 zł
- zł
1 125,00 zł
1 125,00 zł
1 125,00 zł
- zł
6,12 zł
8,33 zł
8,33 zł
0,00 zł
- zł
- zł
6 028,50 zł
6 028,50 zł
6 028,50 zł
0
- zł
- zł
268,60 zł
suma
Ma
- zł
0,00 zł
- zł
0,00 zł
- zł
- zł
0
0,00 zł
- zł
- zł
- zł
- zł
4 760,51 zł
4 760,51 zł
4 760,51 zł
3 104,70 zł
7 161,83 zł
4 057,13 zł
34 802,97 zł
34 802,97 zł
- zł
0,00 zł
- zł
3 104,70 zł
7 161,83 zł
3 236,51 zł
7 293,64 zł
21 299,93 zł
21 299,93 zł
8 817,64 zł
8 817,64 zł