Kopia Lista osób do kontaktu H-01g

Transkrypt

Kopia Lista osób do kontaktu H-01g
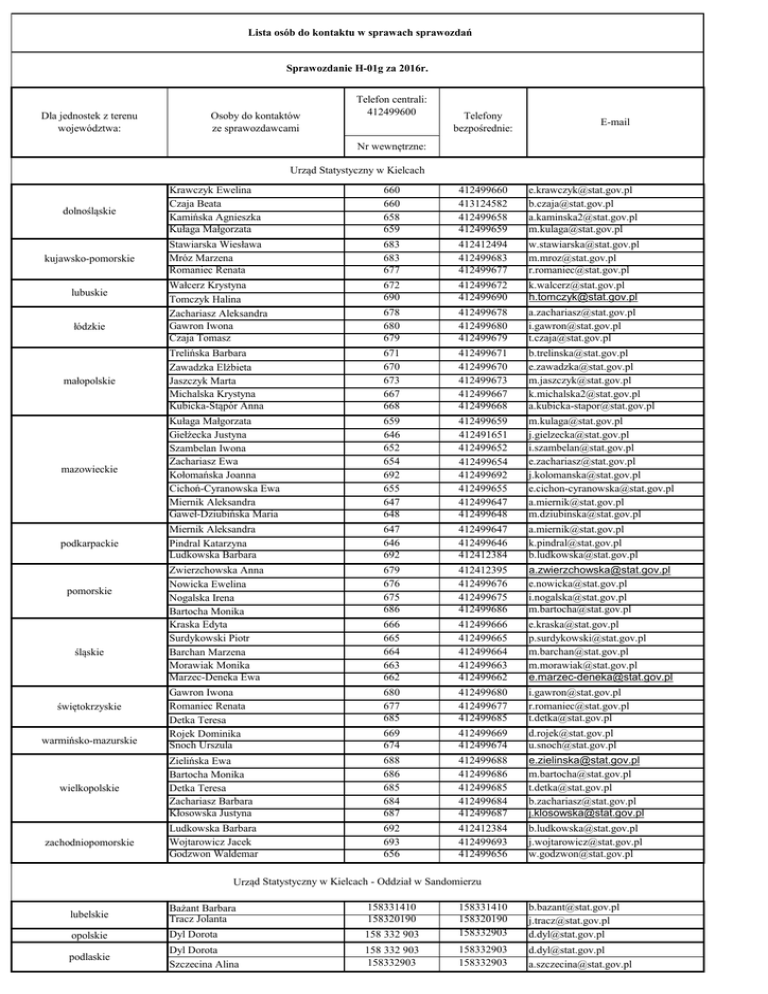
Lista osób do kontaktu w sprawach sprawozdań
Sprawozdanie H-01g za 2016r.
Dla jednostek z terenu
województwa:
Osoby do kontaktów
ze sprawozdawcami
Telefon centrali:
412499600
Telefony
bezpośrednie:
E-mail
Nr wewnętrzne:
Urząd Statystyczny w Kielcach
dolnośląskie
Krawczyk Ewelina
Czaja Beata
Kamińska Agnieszka
Kułaga Małgorzata
660
660
658
659
412499660
413124582
412499658
412499659
[email protected]
[email protected]
[email protected]
[email protected]
kujawsko-pomorskie
Stawiarska Wiesława
Mróz Marzena
Romaniec Renata
683
683
677
412412494
412499683
412499677
[email protected]
[email protected]
[email protected]
Wałcerz Krystyna
Tomczyk Halina
Zachariasz Aleksandra
Gawron Iwona
Czaja Tomasz
672
690
412499672
412499690
[email protected]
[email protected]
678
680
679
412499678
412499680
412499679
[email protected]
[email protected]
[email protected]
małopolskie
Trelińska Barbara
Zawadzka Elżbieta
Jaszczyk Marta
Michalska Krystyna
Kubicka-Stąpór Anna
671
670
673
667
668
412499671
412499670
412499673
412499667
412499668
[email protected]
[email protected]
[email protected]
[email protected]
[email protected]
mazowieckie
Kułaga Małgorzata
Giełżecka Justyna
Szambelan Iwona
Zachariasz Ewa
Kołomańska Joanna
Cichoń-Cyranowska Ewa
Miernik Aleksandra
Gaweł-Dziubińska Maria
659
646
652
654
692
655
647
648
412499659
412491651
412499652
412499654
412499692
412499655
412499647
412499648
[email protected]
[email protected]
[email protected]
[email protected]
[email protected]
[email protected]
[email protected]
[email protected]
podkarpackie
Miernik Aleksandra
Pindral Katarzyna
Ludkowska Barbara
647
646
692
412499647
412499646
412412384
[email protected]
[email protected]
[email protected]
Zwierzchowska Anna
Nowicka Ewelina
Nogalska Irena
Bartocha Monika
Kraska Edyta
Surdykowski Piotr
Barchan Marzena
Morawiak Monika
Marzec-Deneka Ewa
679
676
675
686
412412395
412499676
412499675
412499686
[email protected]
[email protected]
[email protected]
[email protected]
666
665
664
663
662
412499666
412499665
412499664
412499663
412499662
[email protected]
[email protected]
[email protected]
[email protected]
[email protected]
Gawron Iwona
Romaniec Renata
Detka Teresa
Rojek Dominika
Snoch Urszula
680
677
685
412499680
412499677
412499685
[email protected]
[email protected]
[email protected]
669
674
412499669
412499674
[email protected]
[email protected]
wielkopolskie
Zielińska Ewa
Bartocha Monika
Detka Teresa
Zachariasz Barbara
Kłosowska Justyna
688
686
685
684
687
412499688
412499686
412499685
412499684
412499687
[email protected]
[email protected]
[email protected]
[email protected]
[email protected]
zachodniopomorskie
Ludkowska Barbara
Wojtarowicz Jacek
Godzwon Waldemar
692
693
656
412412384
412499693
412499656
[email protected]
[email protected]
[email protected]
lubuskie
łódzkie
pomorskie
śląskie
świętokrzyskie
warmińsko-mazurskie
Urząd Statystyczny w Kielcach - Oddział w Sandomierzu
lubelskie
Bażant Barbara
Tracz Jolanta
158331410
158320190
158 332 903
158331410
158320190
158332903
[email protected]
[email protected]
[email protected]
opolskie
Dyl Dorota
podlaskie
Dyl Dorota
Szczecina Alina
158 332 903
158332903
158332903
158332903
[email protected]
[email protected]