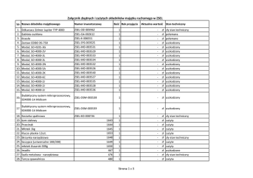
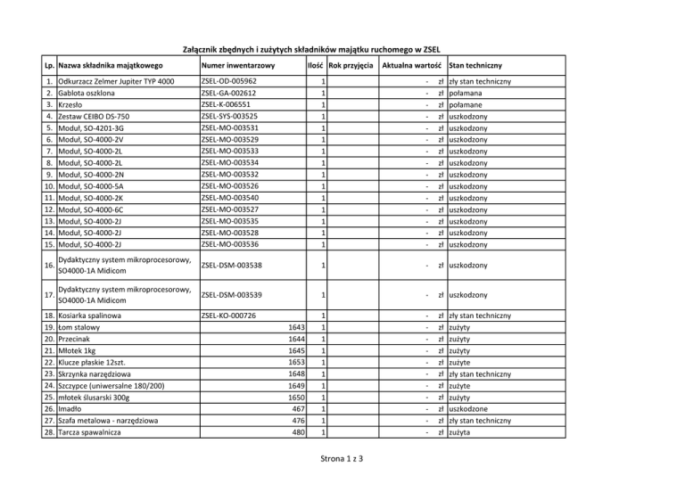
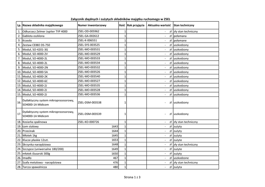
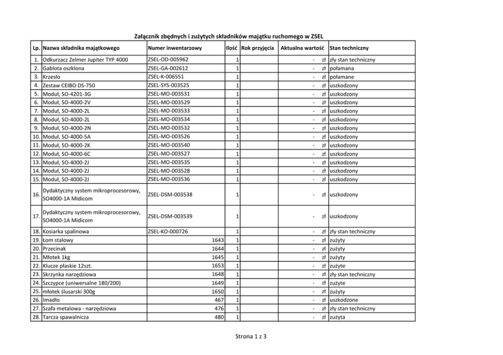
Załącznik zbędnych i zużytych składników majątku ruchomego w

Transkrypt

Załącznik zbędnych i zużytych składników majątku ruchomego w
Załącznik zbędnych i zużytych składników majątku ruchomego w ZSEL
Lp. Nazwa składnika majątkowego
Numer inwentarzowy
Ilość Rok przyjęcia
1.
2.
3.
4.
5.
6.
7.
8.
9.
10.
11.
12.
13.
14.
15.
Odkurzacz Zelmer Jupiter TYP 4000
Gablota oszklona
Krzesło
Zestaw CEIBO DS-750
Moduł, SO-4201-3G
Moduł, SO-4000-2V
Moduł, SO-4000-2L
Moduł, SO-4000-2L
Moduł, SO-4000-2N
Moduł, SO-4000-5A
Moduł, SO-4000-2K
Moduł, SO-4000-6C
Moduł, SO-4000-2J
Moduł, SO-4000-2J
Moduł, SO-4000-2J
ZSEL-OD-005962
ZSEL-GA-002612
ZSEL-K-006551
ZSEL-SYS-003525
ZSEL-MO-003531
ZSEL-MO-003529
ZSEL-MO-003533
ZSEL-MO-003534
ZSEL-MO-003532
ZSEL-MO-003526
ZSEL-MO-003540
ZSEL-MO-003527
ZSEL-MO-003535
ZSEL-MO-003528
ZSEL-MO-003536
1
1
1
1
1
1
1
1
1
1
1
1
1
1
1
-
zł
zł
zł
zł
zł
zł
zł
zł
zł
zł
zł
zł
zł
zł
zł
16.
Dydaktyczny system mikroprocesorowy,
SO4000-1A Midicom
ZSEL-DSM-003538
1
-
zł uszkodzony
17.
Dydaktyczny system mikroprocesorowy,
SO4000-1A Midicom
ZSEL-DSM-003539
1
-
zł uszkodzony
18.
19.
20.
21.
22.
23.
24.
25.
26.
27.
28.
Kosiarka spalinowa
Łom stalowy
Przecinak
Młotek 1kg
Klucze płaskie 12szt.
Skrzynka narzędziowa
Szczypce (uniwersalne 180/200)
młotek ślusarski 300g
Imadło
Szafa metalowa - narzędziowa
Tarcza spawalnicza
ZSEL-KO-000726
1
1
1
1
1
1
1
1
1
1
1
-
zł
zł
zł
zł
zł
zł
zł
zł
zł
zł
zł
1643
1644
1645
1653
1648
1649
1650
467
476
480
Strona 1 z 3
Aktualna wartość Stan techniczny
zły stan techniczny
połamana
połamane
uszkodzony
uszkodzony
uszkodzony
uszkodzony
uszkodzony
uszkodzony
uszkodzony
uszkodzony
uszkodzony
uszkodzony
uszkodzony
uszkodzony
zły stan techniczny
zużyty
zużyty
zużyty
zużyte
zły stan techniczny
zużyte
zużyty
uszkodzone
zły stan techniczny
zużyta
Załącznik zbędnych i zużytych składników majątku ruchomego w ZSEL
Lp. Nazwa składnika majątkowego
29.
30.
31.
32.
Numer inwentarzowy
Zestaw narzędzi do gwintowania
Drabinowa aluminiowa
Wkrętarka
Projektor Ap28T
33. Biurko
34.
35.
36.
37.
38.
39.
40.
41.
42.
43.
44.
45.
46.
47.
48.
49.
50.
51.
52.
53.
54.
Oscyloskop
Pomiarowy zestaw TV
Odbiornik Vela 202
Licznik H2 2025A
Częstościomierz PFL-21
Miernik
Oscyloskop OS-360
Oscyloskop PT-516A
Generator PAL/SECAM
Generator PAL/SECAM
Generator PAL/SECAM
Odbiornik Condor
Telewizor M750TK
Telewizor Neptun
Miernik uniwersalny
Generator
Miernik poziomu dźwięku
Monitor
Monitor
Generator w.cz
Wzmacniacz antenowy
1139 - 1285
Aktualna wartość Stan techniczny
483
436
114
1925
1
1
1
1
-
zł
zł
zł
zł
1926 - 1927
2
-
zł
3
1
1
1
1
1
1
1
1
1
1
1
1
1
4
1
1
1
1
1
1
-
zł
zł
zł
zł
zł
zł
zł
zł
zł
zł
zł
zł
zł
zł
zł
zł
zł
zł
zł
zł
zł
1
-
zł
147
1
-
zł
zł
ZSE-OS-4450 - ZSE-OS-4452
ZSE-ZE-4445
ZSE-MV-4451
ZSE-MI-4428
ZSE-OZ-4429
ZSE-MUL-4629
ZSE-OS-1427
ZSE-OS-4449
ZSE-MI-4417
ZSE-GI-4416
ZSE-GI-4558
ZSE-k-to 10/L-L-15
ZSE to 102, poz. 516
ZSE-T-4645
ZSE-M-4544 - ZSE-M-4547
ZSE-G-4648
ZSE-MJ-4630
ZSE-MU-4654
ZSE-MU-4069
ZSE-G-4438
55. Spawarka transformatorowa SPD-630
56. Krzesła drewniane
57. Maszyna wieloczynnościowa "wilk"
Ilość Rok przyjęcia
Strona 2 z 3
zużyty
uszkodzona
zły stan techniczny
zły stan techniczny
uszkodzone, stare nienadające się
do dalszego użytku
zły stan techniczny
uszkodzony
uszkodzony
uszkodzony
uszkodzony
przestarzały, uszkodzony
uszkodzony
uszkodzony
przestarzały, uszkodzony
przestarzały, uszkodzony
przestarzały, uszkodzony
uszkodzony
przestarzały
przestarzały
przestarzały
uszkodzony
uszkodzony
przestarzały
przestarzały
przestarzały
przestarzały
trwałe uszkodzenia, naprawa
nieopłacalna
połamane, uszkodzone zawiasy
uszkodzona
Załącznik zbędnych i zużytych składników majątku ruchomego w ZSEL
Lp. Nazwa składnika majątkowego
58. Waga dziesiętna
59. Zmywarka do naczyń "Candy" CDF 625
60. Odkurzacz "Elektrolux"
Numer inwentarzowy
Ilość Rok przyjęcia
1
1
1
Strona 3 z 3
Aktualna wartość Stan techniczny
-
zł uszkodzona
zł uszkodzona
zł uszkodzony