( )n ( ( )3

Transkrypt

( )n ( ( )3
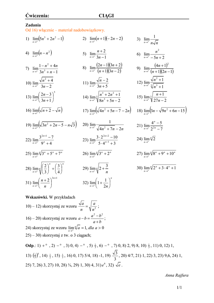
CIĄGI
Ćwiczenia:
Zadania
Od 16) włącznie – materiał nadobowiązkowy.
(
)
2) lim(n + 1)(− 2n − 2 )
1) lim 5n 3 + 2n 2 − 1
n →∞
(
4) lim n − n 2
n →∞
)
n+2
n →∞ 3n − 1
n2 + 4
10) lim
n →∞ 3n − 2
n −2
11) lim
n →∞ 3n + 5
 2n − 3 
13) lim

n →∞ 3n + 1


5
(
16) lim n + 2 − n
14) lim 3
n →∞
)
(
(
19) lim 3n 2 + 2n − 5 − n 3
)
20) lim
n →∞
n n
n2
n → ∞ − 5n + 2
9)
2
(
4n + 1)
lim
n →∞ (n + 1)(2n − 1)
n2 +1
12) lim
n →∞ 3
n 3 + 2n 2 + 1
8n 3 + 5n − 2
17) lim 4n 2 + 5n − 7 − 2n
n →∞
1
6) lim
(2n − 1)(3n + 2)
lim
n →∞ (n + 1)(3n − 2 )
8)
n →∞
n →∞
5) lim
1 − n 2 + 4n
7) lim 3
n →∞ 3n + n − 1
n →∞
3) lim
n →∞
1
4n 2 + 7 n − 2n
15) lim 3
n →∞
)
n3 + 1
n +1
27n − 2
(
18) lim 3n − 9n 2 + 6n − 15
n →∞
4n − 5
21) lim 2 n
n →∞ 2
−7
3 2 n+1 − 7
22) lim n
n →∞ 9 + 4
3 ⋅ 2 2 n + 2 − 10
23) lim
n →∞ 5 ⋅ 4 n −1 + 3
24) lim n 2
25) lim n 3 n + 5 n + 7 n
26) lim n 3 n + 2 n
27) lim n 8 n + 9 n + 10 n
n →∞
n
2 3
28) lim   +  
n →∞
3 4
n →∞
n
29) lim n 2 +
n
n + 2
31) lim

n →∞
 n 
n →∞
3 n +1
3
n
1 

32) lim1 + 
n →∞
 2n 
)
n →∞
n →∞
30) lim n 2 n + 3 ⋅ 4 n + 1
n →∞
n
Wskazówki. W przykładach
a
a
=
;
n
n2
a2 − b2
16) – 20) skorzystaj ze wzoru a − b =
;
a+b
24) skorzystaj ze wzoru lim n a = 1, dla a > 0
10) – 12) skorzystaj ze wzoru
n →∞
25) – 30) skorzystaj z tw. o 3 ciągach;
Odp.: 1) + ∞ , 2) − ∞ , 3) 0, 4) − ∞ , 5) 13 , 6) − ∞ , 7) 0, 8) 2, 9) 8, 10) 13 , 11) 0, 12) 1,
( 23 )5 , 14)
3
, 20) 4/7, 21) 1, 22) 3, 23) 9,6, 24) 1,
3
25) 7, 26) 3, 27) 10, 28) ¾, 29) 1, 30) 4, 31) e 6 , 32) e .
13)
1
2
, 15) 13 , 16) 0, 17) 5/4, 18) -1, 19)
Anna Rajfura
1/1