Informacja o zbędnych i zużytych składnikach rzeczowych majątku

Transkrypt

Informacja o zbędnych i zużytych składnikach rzeczowych majątku
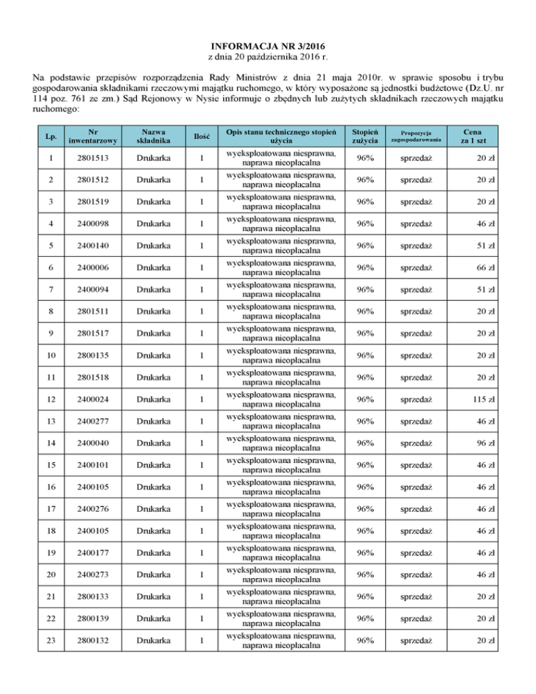
INFORMACJA NR 3/2016
z dnia 20 października 2016 r.
Na podstawie przepisów rozporządzenia Rady Ministrów z dnia 21 maja 2010r. w sprawie sposobu i trybu
gospodarowania składnikami rzeczowymi majątku ruchomego, w który wyposażone są jednostki budżetowe (Dz.U. nr
114 poz. 761 ze zm.) Sąd Rejonowy w Nysie informuje o zbędnych lub zużytych składnikach rzeczowych majątku
ruchomego:
Lp.
Nr
inwentarzowy
Nazwa
składnika
Ilość
Opis stanu technicznego stopień
użycia
Stopień
zużycia
P ro p o zy cja
za g o sp o d a ro w a n ia
Cena
za 1 szt
1
2801513
D rukarka
1
w yeksploatow ana niespraw na,
napraw a nieopłacalna
96%
sprzedaż
20 zł
2
2801512
D rukarka
1
w yeksploatow ana niespraw na,
napraw a nieopłacalna
96%
sprzedaż
20 zł
3
2801519
D rukarka
1
w yeksploatow ana niespraw na,
napraw a nieopłacalna
96%
sprzedaż
20 zł
4
2400098
D rukarka
1
w yeksploatow ana niespraw na,
napraw a nieopłacalna
96%
sprzedaż
46 zł
5
2400140
D rukarka
1
w yeksploatow ana niespraw na,
napraw a nieopłacalna
96%
sprzedaż
51 zł
6
2400006
D rukarka
1
w yeksploatow ana niespraw na,
napraw a nieopłacalna
96%
sprzedaż
66 zł
7
2400094
D rukarka
1
w yeksploatow ana niespraw na,
napraw a nieopłacalna
96%
sprzedaż
51 zł
8
2801511
D rukarka
1
w yeksploatow ana niespraw na,
napraw a nieopłacalna
96%
sprzedaż
20 zł
9
2801517
D rukarka
1
w yeksploatow ana niespraw na,
napraw a nieopłacalna
96%
sprzedaż
20 zł
10
2800135
D rukarka
1
w yeksploatow ana niespraw na,
napraw a nieopłacalna
96%
sprzedaż
20 zł
11
2801518
D rukarka
1
w yeksploatow ana niespraw na,
napraw a nieopłacalna
96%
sprzedaż
20 zł
12
2400024
D rukarka
1
w yeksploatow ana niespraw na,
napraw a nieopłacalna
96%
sprzedaż
115 zł
13
2400277
D rukarka
1
w yeksploatow ana niespraw na,
napraw a nieopłacalna
96%
sprzedaż
46 zł
14
2400040
D rukarka
1
w yeksploatow ana niespraw na,
napraw a nieopłacalna
96%
sprzedaż
96 zł
15
2400101
D rukarka
1
w yeksploatow ana niespraw na,
napraw a nieopłacalna
96%
sprzedaż
46 zł
16
2400105
D rukarka
1
w yeksploatow ana niespraw na,
napraw a nieopłacalna
96%
sprzedaż
46 zł
17
2400276
D rukarka
1
w yeksploatow ana niespraw na,
napraw a nieopłacalna
96%
sprzedaż
46 zł
18
2400105
D rukarka
1
w yeksploatow ana niespraw na,
napraw a nieopłacalna
96%
sprzedaż
46 zł
19
2400177
D rukarka
1
w yeksploatow ana niespraw na,
napraw a nieopłacalna
96%
sprzedaż
46 zł
20
2400273
D rukarka
1
w yeksploatow ana niespraw na,
napraw a nieopłacalna
96%
sprzedaż
46 zł
21
2800133
D rukarka
1
w yeksploatow ana niespraw na,
napraw a nieopłacalna
96%
sprzedaż
20 zł
22
2800139
D rukarka
1
w yeksploatow ana niespraw na,
napraw a nieopłacalna
96%
sprzedaż
20 zł
23
2800132
D rukarka
1
w yeksploatow ana niespraw na,
napraw a nieopłacalna
96%
sprzedaż
20 zł
24
2800136
D rukarka
1
w yeksploatow ana niespraw na,
napraw a nieopłacalna
96%
sprzedaż
20 zł
25
2800134
D rukarka
1
w yeksploatow ana niespraw na,
napraw a nieopłacalna
96%
sprzedaż
20 zł
26
2800137
D rukarka
1
w yeksploatow ana niespraw na,
napraw a nieopłacalna
96%
sprzedaż
20 zł
27
2800066
D rukarka
1
w yeksploatow ana niespraw na,
napraw a nieopłacalna
96%
sprzedaż
20 zł
28
9100481
D rukarka
1
w yeksploatow ana niespraw na,
napraw a nieopłacalna
96%
sprzedaż
50 zł
29
2400099
D rukarka
1
w yeksploatow ana niespraw na,
napraw a nieopłacalna
96%
sprzedaż
46 zł
30
2800138
D rukarka
1
w yeksploatow ana niespraw na,
napraw a nieopłacalna
96%
sprzedaż
20 zł
31
2400103
D rukarka
1
w yeksploatow ana niespraw na,
napraw a nieopłacalna
96%
sprzedaż
46 zł
32
2400102
D rukarka
1
w yeksploatow ana niespraw na,
napraw a nieopłacalna
96%
sprzedaż
46 zł
33
2800087
D rukarka
1
w yeksploatow ana niespraw na,
napraw a nieopłacalna
96%
sprzedaż
25 zł
34
2400315
D rukarka
1
w yeksploatow ana niespraw na,
napraw a nieopłacalna
96%
sprzedaż
30 zł
35
2400274
D rukarka
1
w yeksploatow ana niespraw na,
napraw a nieopłacalna
96%
sprzedaż
46 zł
36
1400002
Zestaw
kom puterow y
1
90%
sprzedaż
448 zł
37
1400021
Zestaw
kom puterow y
1
90%
sprzedaż
393 zł
38
2400074
Zestaw
kom puterow y
1
90%
sprzedaż
329 zł
39
2400068
Zestaw
kom puterow y
1
90%
sprzedaż
350 zł
40
1400019
Zestaw
kom puterow y
1
90%
sprzedaż
393 zł
41
2400115
Zestaw
kom puterow y
1
90%
sprzedaż
338 zł
42
1400001
Zestaw
kom puterow y
1
90%
sprzedaż
448 zł
43
1400000
Zestaw
kom puterow y
1
90%
sprzedaż
448 zł
44
2400114
Zestaw
kom puterow y
1
90%
sprzedaż
338 zł
sprzęt przestarzały
w yeksploatow any niespraw ny,
b rak dysku, napędu i pam ięci
RAM
sprzęt przestarzały
w yeksploatow any niespraw ny,
b rak dysku, napędu i pam ięci
RAM
sprzęt przestarzały
w yeksploatow any niespraw ny,
b rak dysku, napędu i pam ięci
RAM
sprzęt przestarzały
w yeksploatow any niespraw ny,
b rak dysku, napędu i pam ięci
RAM
sprzęt przestarzały
w yeksploatow any niespraw ny,
b rak dysku, napędu i pam ięci
RAM
sprzęt przestarzały
w yeksploatow any niespraw ny,
b rak dysku, napędu i pam ięci
RAM
sprzęt przestarzały
w yeksploatow any niespraw ny,
b rak dysku, napędu i pam ięci
RAM
sprzęt przestarzały
w yeksploatow any niespraw ny,
b rak dysku, napędu i pam ięci
RAM
sprzęt przestarzały
w yeksploatow any niespraw ny,
b rak dysku, napędu i pam ięci
RAM
45
2400117
Zestaw
kom puterow y
46
2400123
Zestaw
kom puterow y
1
47
2400116
Zestaw
kom puterow y
1
48
2400124
Zestaw
kom puterow y
1
49
2400121
Zestaw
kom puterow y
1
50
1400022
Zestaw
kom puterow y
1
51
1400017
Zestaw
kom puterow y
1
52
2400071
Zestaw
kom puterow y
1
53
2400050
Zestaw
kom puterow y
1
54
2400118
Zestaw
kom puterow y
1
55
2400130
Zestaw
kom puterow y
1
56
2400125
Zestaw
kom puterow y
1
57
2400142
Zestaw
kom puterow y
1
58
2400107
Zestaw
kom puterow y
1
59
2400106
Zestaw
kom puterow y
1
1
sprzęt przestarzały
w yeksploatow any niespraw ny,
b rak dysku, napędu i pam ięci
RAM
sprzęt przestarzały
w yeksploatow any niespraw ny,
b rak dysku, napędu i pam ięci
RAM
sprzęt przestarzały
w yeksploatow any niespraw ny,
b rak dysku, napędu i pam ięci
RAM
sprzęt przestarzały
w yeksploatow any niespraw ny,
b rak dysku, napędu i pam ięci
RAM
sprzęt przestarzały
w yeksploatow any niespraw ny,
b rak dysku, napędu i pam ięci
RAM
sprzęt przestarzały
w yeksploatow any niespraw ny,
b rak dysku, napędu i pam ięci
RAM
sprzęt przestarzały
w yeksploatow any niespraw ny,
b rak dysku, napędu i pam ięci
RAM
sprzęt przestarzały
w yeksploatow any niespraw ny,
b rak dysku, napędu i pam ięci
RAM
sprzęt przestarzały
w yeksploatow any niespraw ny,
b rak dysku, napędu i pam ięci
RAM
sprzęt przestarzały
w yeksploatow any niespraw ny,
b rak dysku, napędu i pam ięci
RAM
sprzęt przestarzały
w yeksploatow any niespraw ny,
b rak dysku, napędu i pam ięci
RAM
sprzęt przestarzały
w yeksploatow any niespraw ny,
b rak dysku, napędu i pam ięci
RAM
sprzęt przestarzały
w yeksploatow any niespraw ny,
b rak dysku, napędu i pam ięci
R A M , b rak m ożliw ości napraw y
i w ykorzystania części
sprzęt przestarzały
w yeksploatow any niespraw ny,
b rak dysku, napędu i pam ięci
R A M , b rak m ożliw ości napraw y
i w ykorzystania części
sprzęt przestarzały
w yeksploatow any niespraw ny,
b rak dysku, napędu i pam ięci
R A M , b rak m ożliw ości napraw y
i w ykorzystania części
90%
sprzedaż
338 zł
90%
sprzedaż
338 zł
90%
sprzedaż
338 zł
90%
sprzedaż
338 zł
90%
sprzedaż
338 zł
90%
sprzedaż
393 zł
90%
sprzedaż
393 zł
90%
sprzedaż
339 zł
90%
sprzedaż
338 zł
90%
sprzedaż
338 zł
90%
sprzedaż
338 zł
90%
sprzedaż
338 zł
100%
likw idacja
- zł
100%
likw idacja
- zł
100%
likw idacja
- zł
60
2400054
Zestaw
kom puterow y
1
61
2400108
Zestaw
kom puterow y
1
62
2400058
Zestaw
kom puterow y
1
63
2400064
Zestaw
kom puterow y
1
64
2400039
Zestaw
kom puterow y
1
65
2400038
Zestaw
kom puterow y
1
66
2400109
Zestaw
kom puterow y
1
67
2400111
Zestaw
kom puterow y
1
68
2400128
Zestaw
kom puterow y
1
69
2400146
Zestaw
kom puterow y
1
70
2400144
Zestaw
kom puterow y
1
71
2400055
Zestaw
kom puterow y
1
72
2400127
Zestaw
kom puterow y
1
sprzęt przestarzały
w yeksploatow any niespraw ny,
b rak dysku, napędu i pam ięci
R A M , b rak m ożliw ości napraw y
i w ykorzystania części
sprzęt przestarzały
w yeksploatow any niespraw ny,
b rak dysku, napędu i pam ięci
R A M , b rak m ożliw ości napraw y
i w ykorzystania części
sprzęt przestarzały
w yeksploatow any niespraw ny,
b rak dysku, napędu i pam ięci
R A M , b rak m ożliw ości napraw y
i w ykorzystania części
sprzęt przestarzały
w yeksploatow any niespraw ny,
b rak dysku, napędu i pam ięci
R A M , b rak m ożliw ości napraw y
i w ykorzystania części
sprzęt przestarzały
w yeksploatow any niespraw ny,
b rak dysku, napędu i pam ięci
R A M , b rak m ożliw ości napraw y
i w ykorzystania części
sprzęt przestarzały
w yeksploatow any niespraw ny,
b rak dysku, napędu i pam ięci
R A M , b rak m ożliw ości napraw y
i w ykorzystania części
sprzęt przestarzały
w yeksploatow any niespraw ny,
b rak dysku, napędu i pam ięci
R A M , b rak m ożliw ości napraw y
i w ykorzystania części
sprzęt przestarzały
w yeksploatow any niespraw ny,
b rak dysku, napędu i pam ięci
R A M , b rak m ożliw ości napraw y
i w ykorzystania części
sprzęt przestarzały
w yeksploatow any niespraw ny,
b rak dysku, napędu i pam ięci
R A M , b rak m ożliw ości napraw y
i w ykorzystania części
sprzęt przestarzały
w yeksploatow any niespraw ny,
b rak dysku, napędu i pam ięci
R A M , b rak m ożliw ości napraw y
i w ykorzystania części
sprzęt przestarzały
w yeksploatow any niespraw ny,
b rak dysku, napędu i pam ięci
R A M , b rak m ożliw ości napraw y
i w ykorzystania części
sprzęt przestarzały
w yeksploatow any niespraw ny,
b rak dysku, napędu i pam ięci
R A M , b rak m ożliw ości napraw y
i w ykorzystania części
sprzęt przestarzały
w yeksploatow any niespraw ny,
b rak dysku, napędu i pam ięci
R A M , b rak m ożliw ości napraw y
i w ykorzystania części
100%
likw idacja
- zł
100%
likw idacja
- zł
100%
likw idacja
- zł
100%
likw idacja
- zł
100%
likw idacja
- zł
100%
likw idacja
- zł
100%
likw idacja
- zł
100%
likw idacja
- zł
100%
likw idacja
- zł
100%
likw idacja
- zł
100%
likw idacja
- zł
100%
likw idacja
- zł
100%
likw idacja
- zł
73
2400145
Zestaw
kom puterow y
1
74
2400113
Zestaw
kom puterow y
1
75
2400057
Zestaw
kom puterow y
1
76
2400167
Zestaw
kom puterow y
1
77
2400122
Zestaw
kom puterow y
1
78
2400131
Zestaw
kom puterow y
1
79
2400112
Zestaw
kom puterow y
1
80
2800143
K serokopiarka
1
81
2800142
K serokopiarka
1
82
2800141
K serokopiarka
1
83
2801520
K serokopiarka
84
2800122
85
1800001
sprzęt przestarzały
w yeksploatow any niespraw ny,
b rak dysku, napędu i pam ięci
R A M , b rak m ożliw ości napraw y
i w ykorzystania części
sprzęt przestarzały
w yeksploatow any niespraw ny,
b rak dysku, napędu i pam ięci
R A M , b rak m ożliw ości napraw y
i w ykorzystania części
sprzęt przestarzały
w yeksploatow any niespraw ny,
b rak dysku, napędu i pam ięci
R A M , b rak m ożliw ości napraw y
i w ykorzystania części
sprzęt przestarzały
w yeksploatow any niespraw ny,
b rak dysku, napędu i pam ięci
R A M , b rak m ożliw ości napraw y
i w ykorzystania części
sprzęt przestarzały
w yeksploatow any niespraw ny,
b rak dysku, napędu i pam ięci
R A M , b rak m ożliw ości napraw y
i w ykorzystania części
sprzęt przestarzały
w yeksploatow any niespraw ny,
b rak dysku, napędu i pam ięci
R A M , b rak m ożliw ości napraw y
i w ykorzystania części
sprzęt przestarzały
w yeksploatow any niespraw ny,
b rak dysku, napędu i pam ięci
R A M , b rak m ożliw ości napraw y
i w ykorzystania części
100%
likw idacja
- zł
100%
likw idacja
- zł
100%
likw idacja
- zł
100%
likw idacja
- zł
100%
likw idacja
- zł
100%
likw idacja
- zł
100%
likw idacja
- zł
Sprzęt przestarzały niespraw ny
95%
sprzedaż
150 zł
Sprzęt przestarzały niespraw ny
95%
sprzedaż
150 zł
Sprzęt przestarzały niespraw ny
95%
sprzedaż
150 zł
1
Sprzęt przestarzały niespraw ny
95%
sprzedaż
160 zł
K serokopiarka
1
Sprzęt przestarzały niespraw ny
95%
sprzedaż
65 zł
K serokopiarka
1
Sprzęt przestarzały niespraw ny
95%
sprzedaż
205 zł
96%
sprzedaż
140 zł
96%
sprzedaż
104 zł
96%
sprzedaż
114 zł
98%
sprzedaż
112 zł
98%
sprzedaż
112 zł
sprzęt przestarzały
w yeksploatow any niespraw ny,
b rak dysku, napędu i pam ięci
RAM
sprzęt przestarzały
w yeksploatow any niespraw ny,
b rak dysku, napędu i pam ięci
RAM
sprzęt przestarzały
w yeksploatow any niespraw ny,
b rak dysku, napędu i pam ięci
RAM
sprzęt przestarzały
w yeksploatow any niespraw ny,
b rak dysku, napędu i pam ięci
RAM
sprzęt przestarzały
w yeksploatow any niespraw ny,
b rak dysku, napędu i pam ięci
RAM
86
2400019
NOTEBOOK
1
87
2400155
NOTEBOOK
1
88
2400037
NOTEBOOK
1
89
1400007
NOTEBOOK
1
90
1400008
NOTEBOOK
1
91
b rak num eru
K law iatura
1
W yeksploatow ana niespraw na
96%
sprzedaż
5 zł
92
b rak num eru
K law iatura
1
W yeksploatow ana niespraw na
96%
sprzedaż
5 zł
93
b rak num eru
K law iatura
1
W yeksploatow ana niespraw na
96%
sprzedaż
5 zł
94
b rak num eru
K law iatura
1
W yeksploatow ana niespraw na
96%
sprzedaż
5 zł
95
b rak num eru
K law iatura
1
W yeksploatow ana niespraw na
96%
sprzedaż
5 zł
96
b rak num eru
K law iatura
1
W yeksploatow ana niespraw na
96%
sprzedaż
5 zł
97
b rak num eru
K law iatura
1
W yeksploatow ana niespraw na
96%
sprzedaż
5 zł
98
b rak num eru
K law iatura
1
W yeksploatow ana niespraw na
96%
sprzedaż
5 zł
W yeksploatow ana niespraw na
96%
sprzedaż
5 zł
99
b rak num eru
K law iatura
1
100
b rak num eru
K law iatura
1
W yeksploatow ana niespraw na
96%
sprzedaż
5 zł
101
b rak num eru
K law iatura
1
W yeksploatow ana niespraw na
96%
sprzedaż
5 zł
102
b rak num eru
K law iatura
1
W yeksploatow ana niespraw na
96%
sprzedaż
5 zł
103
b rak num eru
K law iatura
1
W yeksploatow ana niespraw na
96%
sprzedaż
5 zł
104
b rak num eru
K law iatura
1
W yeksploatow ana niespraw na
96%
sprzedaż
5 zł
105
b rak num eru
K law iatura
1
W yeksploatow ana niespraw na
96%
sprzedaż
5 zł
106
b rak num eru
K law iatura
1
W yeksploatow ana niespraw na
96%
sprzedaż
5 zł
W yeksploatow ana niespraw na
96%
sprzedaż
5 zł
107
b rak num eru
K law iatura
1
108
b rak num eru
K law iatura
1
W yeksploatow ana niespraw na
96%
sprzedaż
5 zł
109
b rak num eru
K law iatura
1
W yeksploatow ana niespraw na
96%
sprzedaż
5 zł
110
b rak num eru
K law iatura
1
W yeksploatow ana niespraw na
96%
sprzedaż
5 zł
111
b rak num eru
K law iatura
1
W yeksploatow ana niespraw na
96%
sprzedaż
5 zł
112
b rak num eru
K law iatura
1
W yeksploatow ana niespraw na
96%
sprzedaż
5 zł
113
b rak num eru
K law iatura
1
W yeksploatow ana niespraw na
96%
sprzedaż
5 zł
114
b rak num eru
K law iatura
1
W yeksploatow ana niespraw na
96%
sprzedaż
5 zł
W yeksploatow ana niespraw na
96%
sprzedaż
5 zł
115
b rak num eru
K law iatura
1
116
b rak num eru
K law iatura
1
W yeksploatow ana niespraw na
96%
sprzedaż
5 zł
117
b rak num eru
K law iatura
1
W yeksploatow ana niespraw na
96%
sprzedaż
5 zł
118
b rak num eru
K law iatura
1
W yeksploatow ana niespraw na
96%
sprzedaż
5 zł
119
b rak num eru
K law iatura
1
W yeksploatow ana niespraw na
96%
sprzedaż
5 zł
120
b rak num eru
K law iatura
1
W yeksploatow ana niespraw na
96%
sprzedaż
5 zł
121
b rak num eru
K law iatura
1
W yeksploatow ana niespraw na
96%
sprzedaż
5 zł
122
b rak num eru
K law iatura
1
W yeksploatow ana niespraw na
96%
sprzedaż
5 zł
W yeksploatow ana niespraw na
96%
sprzedaż
5 zł
123
b rak num eru
K law iatura
1
124
b rak num eru
K law iatura
1
W yeksploatow ana niespraw na
96%
sprzedaż
5 zł
125
b rak num eru
K law iatura
1
W yeksploatow ana niespraw na
96%
sprzedaż
5 zł
126
b rak num eru
K law iatura
1
W yeksploatow ana niespraw na
96%
sprzedaż
5 zł
127
b rak num eru
K law iatura
1
W yeksploatow ana niespraw na
96%
sprzedaż
5 zł
128
b rak num eru
K law iatura
1
W yeksploatow ana niespraw na
96%
sprzedaż
5 zł
129
b rak num eru
K law iatura
1
W yeksploatow ana niespraw na
96%
sprzedaż
5 zł
130
b rak num eru
K law iatura
1
W yeksploatow ana niespraw na
96%
sprzedaż
5 zł
W yeksploatow ana niespraw na
96%
sprzedaż
5 zł
95%
sprzedaż
2 zł
95%
sprzedaż
2 zł
95%
sprzedaż
2 zł
95%
sprzedaż
2 zł
95%
sprzedaż
2 zł
95%
sprzedaż
2 zł
95%
sprzedaż
2 zł
131
b rak num eru
K law iatura
1
132
b rak num eru
M yszka
1
133
b rak num eru
M yszka
1
134
b rak num eru
M yszka
1
135
b rak num eru
M yszka
1
136
b rak num eru
M yszka
1
137
b rak num eru
M yszka
1
138
b rak num eru
M yszka
1
U szkodzona, napraw a
nieopłacalna
U szkodzona, napraw a
nieopłacalna
U szkodzona, napraw a
nieopłacalna
U szkodzona, napraw a
nieopłacalna
U szkodzona, napraw a
nieopłacalna
U szkodzona, napraw a
nieopłacalna
U szkodzona, napraw a
nieopłacalna
139
b rak num eru
M yszka
1
140
b rak num eru
M yszka
1
141
b rak num eru
M yszka
1
142
b rak num eru
M yszka
1
143
b rak num eru
VGA
SPLITTER
1
144
D 1943-0149
Przełącznik
1
145
2800000
Skaner
1
146
D 1943-0454
SW ITCH
1
147
b rak num eru
SW ITCH
1
148
b rak num eru
SW ITCH
1
149
b rak num eru
SW ITCH
1
150
2801379
T elew izor
1
151
D 1943-0428
U PS
1
152
D 1943-0429
U PS
1
153
2801380
W ideo VHS
1
154
D 1943-0227
Z asilacz
aw aryjny
1
155
D 1943-0459
Z asilacz
aw aryjny
1
156
D 1943-0380
Z asilacz
aw aryjny
1
157
D 1943-0426
Z asilacz
aw aryjny
1
158
D 1943-0656
Z asilacz
aw aryjny
1
159
b rak num eru
Z asilacz
kom puterow y
1
160
b rak num eru
Z asilacz
kom puterow y
1
161
b rak num eru
Z asilacz
kom puterow y
1
162
b rak num eru
Z asilacz
1
163
b rak num eru
Z asilacz
1
U szkodzona, napraw a
nieopłacalna
U szkodzona, napraw a
nieopłacalna
U szkodzona, napraw a
nieopłacalna
U szkodzona, napraw a
nieopłacalna
U szkodzona, napraw a
nieopłacalna
U szkodzona, napraw a
nieopłacalna
U szkodzona, napraw a
nieopłacalna
U szkodzona, napraw a
nieopłacalna
U szkodzona, napraw a
nieopłacalna
U szkodzona, napraw a
nieopłacalna
U szkodzona, napraw a
nieopłacalna
Sprzęt przestarzały niespraw ny,
b rak m ożliw ości napraw y
i w ykorzystania na części
U szkodzony, b rak m ożliw ości
napraw y i w ykorzystania na
części
U szkodzony, b rak m ożliw ości
napraw y i w ykorzystania na
części
U szkodzony, przestarzały, brak
m ożliw ości napraw y i
w ykorzystania n a części
U szkodzony, b rak m ożliw ości
napraw y i w ykorzystania na
części
U szkodzony, b rak m ożliw ości
napraw y i w ykorzystania na
części
U szkodzony, b rak m ożliw ości
napraw y i w ykorzystania na
części
U szkodzony, b rak m ożliw ości
napraw y i w ykorzystania na
części
U szkodzony, b rak m ożliw ości
napraw y i w ykorzystania na
części
U szkodzony, b rak m ożliw ości
napraw y i w ykorzystania na
części
U szkodzony, b rak m ożliw ości
napraw y i w ykorzystania na
części
U szkodzony, b rak m ożliw ości
napraw y i w ykorzystania na
części
U szkodzony, b rak m ożliw ości
napraw y i w ykorzystania na
części
U szkodzony, b rak m ożliw ości
napraw y i w ykorzystania na
95%
sprzedaż
2 zł
95%
sprzedaż
2 zł
95%
sprzedaż
2 zł
95%
sprzedaż
2 zł
95%
sprzedaż
5 zł
100%
likw idacja
- zł
100%
likw idacja
- zł
100%
likw idacja
- zł
100%
likw idacja
- zł
100%
likw idacja
- zł
100%
likw idacja
- zł
100%
likw idacja
- zł
100%
likw idacja
- zł
100%
likw idacja
- zł
100%
likw idacja
- zł
100%
likw idacja
- zł
100%
likw idacja
- zł
100%
likw idacja
- zł
100%
likw idacja
- zł
100%
likw idacja
- zł
100%
likw idacja
- zł
100%
likw idacja
- zł
100%
likw idacja
- zł
100%
likw idacja
- zł
100%
likw idacja
- zł
części
164
b rak num eru
Z asilacz
1
165
b rak num eru
Z asilacz
1
166
b rak num eru
Z asilacz
1
167
b rak num eru
W entylator
kom puterow y
1
168
b rak num eru
Płyta głów na
kom putera
1
169
b rak num eru
Płyta głów na
kom putera
1
170
b rak num eru
ROUTER
1
171
2801711
E kspres do
kaw y
1
U szkodzony, b rak m ożliw ości
napraw y i w ykorzystania na
części
U szkodzony, b rak m ożliw ości
napraw y i w ykorzystania na
części
U szkodzony, b rak m ożliw ości
napraw y i w ykorzystania na
części
U szkodzony, b rak m ożliw ości
napraw y i w ykorzystania na
części
U szkodzony, b rak m ożliw ości
napraw y i w ykorzystania na
części
U szkodzony, b rak m ożliw ości
napraw y i w ykorzystania na
części
U szkodzony, b rak m ożliw ości
napraw y i w ykorzystania na
części
U szkodzony, przestarzały, brak
m ożliw ości napraw y i
w ykorzystania n a części
100%
likw idacja
- zł
100%
likw idacja
- zł
100%
likw idacja
- zł
100%
likw idacja
- zł
100%
likw idacja
- zł
100%
likw idacja
- zł
100%
likw idacja
- zł
100%
likw idacja
- zł
Zainteresowane osoby proszone są o składanie wniosków w terminie do dnia 4 listopada 2016 r. do godz. 12.00
w Oddziale Administracyjnym Sądu Rejonowego w Nysie Pl. Kościelny 6.
Wyjaśnień dotyczących zamieszczonych informacji udziela Kierownik Oddziału Administracyjnego - P. Monika
Ciałoń - tel. 77 4483516, Z-ca Kierownika Oddziału Administracyjnego - P. Agata Winnik - tel. 77 4483523 oraz
Administrator Systemów Informatycznych Sądu Apelacyjnego we Wrocławiu - P. Adam Siarka - tel. 77 4483565.