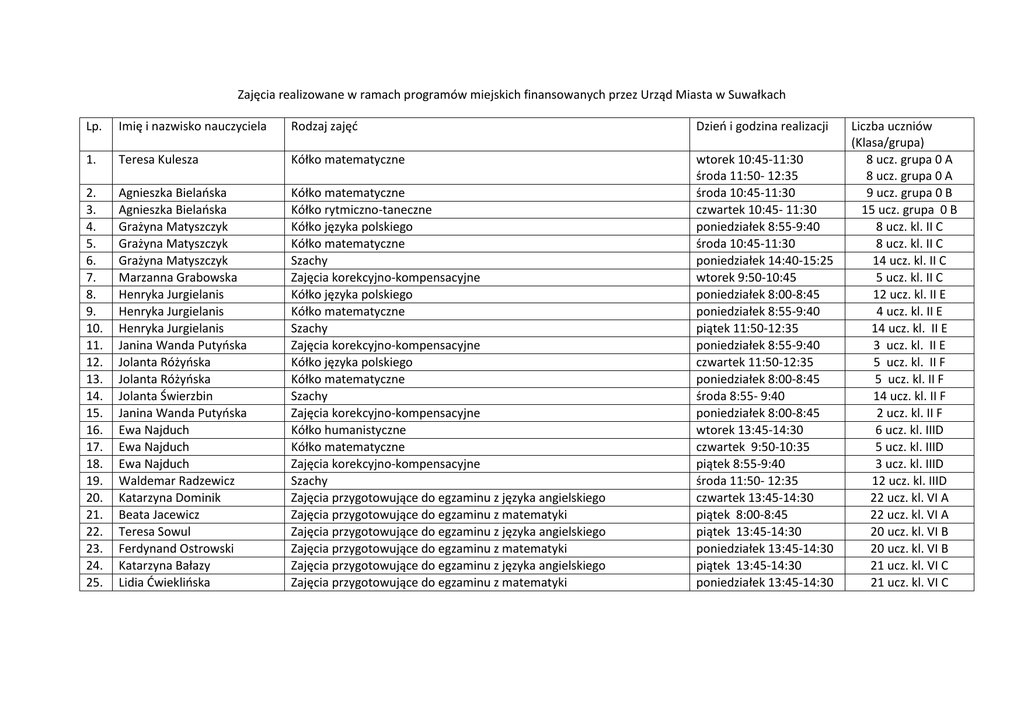
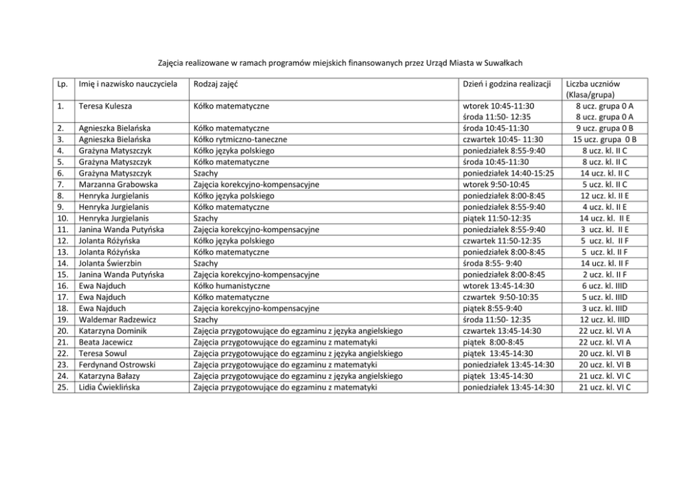
Zajęcia realizowane w ramach programów miejskich finansowanych

Transkrypt

Zajęcia realizowane w ramach programów miejskich finansowanych
Zajęcia realizowane w ramach programów miejskich finansowanych przez Urząd Miasta w Suwałkach
Lp.
Imię i nazwisko nauczyciela
Rodzaj zajęć
Dzień i godzina realizacji
1.
Teresa Kulesza
Kółko matematyczne
2.
3.
4.
5.
6.
7.
8.
9.
10.
11.
12.
13.
14.
15.
16.
17.
18.
19.
20.
21.
22.
23.
24.
25.
Agnieszka Bielańska
Agnieszka Bielańska
Grażyna Matyszczyk
Grażyna Matyszczyk
Grażyna Matyszczyk
Marzanna Grabowska
Henryka Jurgielanis
Henryka Jurgielanis
Henryka Jurgielanis
Janina Wanda Putyńska
Jolanta Różyńska
Jolanta Różyńska
Jolanta Świerzbin
Janina Wanda Putyńska
Ewa Najduch
Ewa Najduch
Ewa Najduch
Waldemar Radzewicz
Katarzyna Dominik
Beata Jacewicz
Teresa Sowul
Ferdynand Ostrowski
Katarzyna Bałazy
Lidia Ćwieklińska
Kółko matematyczne
Kółko rytmiczno-taneczne
Kółko języka polskiego
Kółko matematyczne
Szachy
Zajęcia korekcyjno-kompensacyjne
Kółko języka polskiego
Kółko matematyczne
Szachy
Zajęcia korekcyjno-kompensacyjne
Kółko języka polskiego
Kółko matematyczne
Szachy
Zajęcia korekcyjno-kompensacyjne
Kółko humanistyczne
Kółko matematyczne
Zajęcia korekcyjno-kompensacyjne
Szachy
Zajęcia przygotowujące do egzaminu z języka angielskiego
Zajęcia przygotowujące do egzaminu z matematyki
Zajęcia przygotowujące do egzaminu z języka angielskiego
Zajęcia przygotowujące do egzaminu z matematyki
Zajęcia przygotowujące do egzaminu z języka angielskiego
Zajęcia przygotowujące do egzaminu z matematyki
wtorek 10:45-11:30
środa 11:50- 12:35
środa 10:45-11:30
czwartek 10:45- 11:30
poniedziałek 8:55-9:40
środa 10:45-11:30
poniedziałek 14:40-15:25
wtorek 9:50-10:45
poniedziałek 8:00-8:45
poniedziałek 8:55-9:40
piątek 11:50-12:35
poniedziałek 8:55-9:40
czwartek 11:50-12:35
poniedziałek 8:00-8:45
środa 8:55- 9:40
poniedziałek 8:00-8:45
wtorek 13:45-14:30
czwartek 9:50-10:35
piątek 8:55-9:40
środa 11:50- 12:35
czwartek 13:45-14:30
piątek 8:00-8:45
piątek 13:45-14:30
poniedziałek 13:45-14:30
piątek 13:45-14:30
poniedziałek 13:45-14:30
Liczba uczniów
(Klasa/grupa)
8 ucz. grupa 0 A
8 ucz. grupa 0 A
9 ucz. grupa 0 B
15 ucz. grupa 0 B
8 ucz. kl. II C
8 ucz. kl. II C
14 ucz. kl. II C
5 ucz. kl. II C
12 ucz. kl. II E
4 ucz. kl. II E
14 ucz. kl. II E
3 ucz. kl. II E
5 ucz. kl. II F
5 ucz. kl. II F
14 ucz. kl. II F
2 ucz. kl. II F
6 ucz. kl. IIID
5 ucz. kl. IIID
3 ucz. kl. IIID
12 ucz. kl. IIID
22 ucz. kl. VI A
22 ucz. kl. VI A
20 ucz. kl. VI B
20 ucz. kl. VI B
21 ucz. kl. VI C
21 ucz. kl. VI C