Pakiet Nr 1.27 - sprzęt pulmonologiczny po modyfikacji

Transkrypt

Pakiet Nr 1.27 - sprzęt pulmonologiczny po modyfikacji
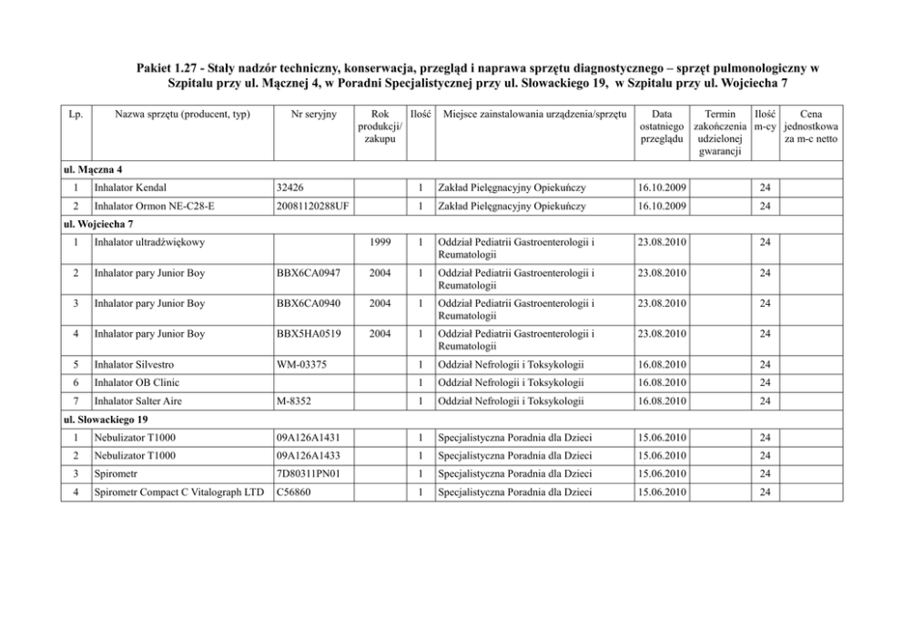
Pakiet 1.27 - Stały nadzór techniczny, konserwacja, przegląd i naprawa sprzętu diagnostycznego – sprzęt pulmonologiczny w
Szpitalu przy ul. Mącznej 4, w Poradni Specjalistycznej przy ul. Słowackiego 19, w Szpitalu przy ul. Wojciecha 7
Lp.
Nazwa sprzętu (producent, typ)
Nr seryjny
Rok
Ilość
produkcji/
zakupu
Miejsce zainstalowania urządzenia/sprzętu
Data
Termin
Ilość
Cena
ostatniego zakończenia m-cy jednostkowa
przeglądu udzielonej
za m-c netto
gwarancji
ul. Mączna 4
1
Inhalator Kendal
32426
1
Zakład Pielęgnacyjny Opiekuńczy
16.10.2009
24
2
Inhalator Ormon NE-C28-E
20081120288UF
1
Zakład Pielęgnacyjny Opiekuńczy
16.10.2009
24
1999
1
Oddział Pediatrii Gastroenterologii i
Reumatologii
23.08.2010
24
ul. Wojciecha 7
1
Inhalator ultradźwiękowy
2
Inhalator pary Junior Boy
BBX6CA0947
2004
1
Oddział Pediatrii Gastroenterologii i
Reumatologii
23.08.2010
24
3
Inhalator pary Junior Boy
BBX6CA0940
2004
1
Oddział Pediatrii Gastroenterologii i
Reumatologii
23.08.2010
24
4
Inhalator pary Junior Boy
BBX5HA0519
2004
1
Oddział Pediatrii Gastroenterologii i
Reumatologii
23.08.2010
24
5
Inhalator Silvestro
WM-03375
1
Oddział Nefrologii i Toksykologii
16.08.2010
24
6
Inhalator OB Clinic
1
Oddział Nefrologii i Toksykologii
16.08.2010
24
7
Inhalator Salter Aire
M-8352
1
Oddział Nefrologii i Toksykologii
16.08.2010
24
ul. Słowackiego 19
1
Nebulizator T1000
09A126A1431
1
Specjalistyczna Poradnia dla Dzieci
15.06.2010
24
2
Nebulizator T1000
09A126A1433
1
Specjalistyczna Poradnia dla Dzieci
15.06.2010
24
3
Spirometr
7D80311PN01
1
Specjalistyczna Poradnia dla Dzieci
15.06.2010
24
4
Spirometr Compact C Vitalograph LTD
C56860
1
Specjalistyczna Poradnia dla Dzieci
15.06.2010
24