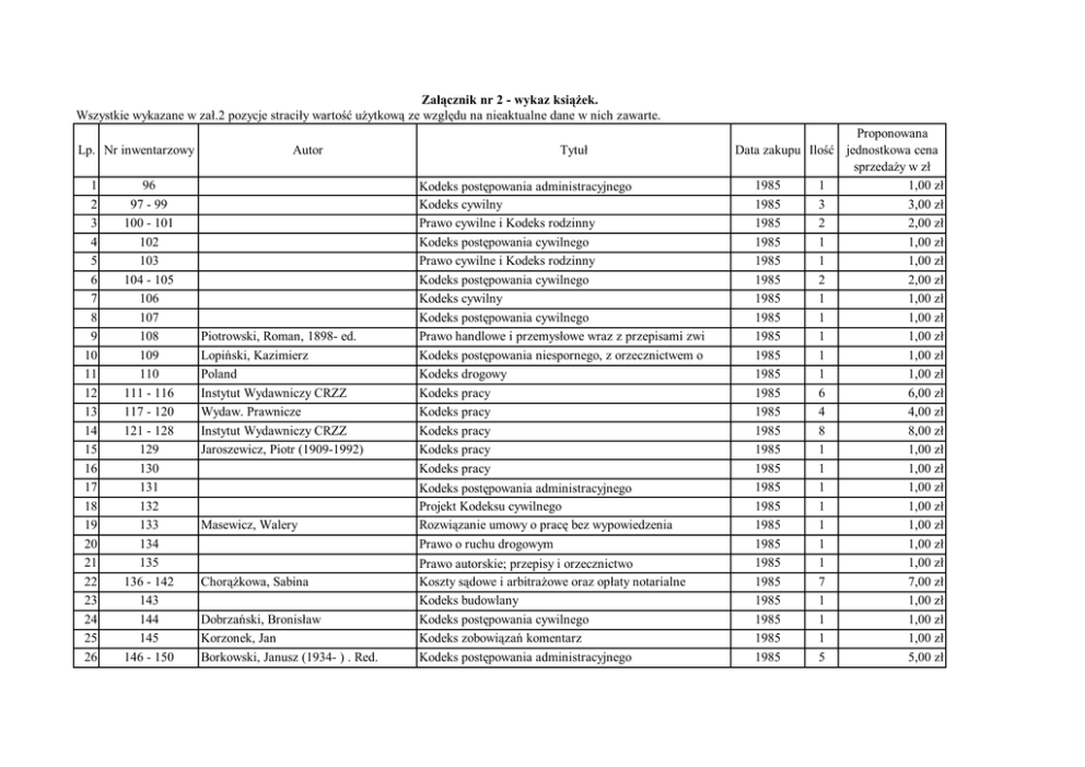
1 96 Kodeks postępowania administracyjnego 1985 1 1,00 zł 2 97

Transkrypt

1 96 Kodeks postępowania administracyjnego 1985 1 1,00 zł 2 97
Załącznik nr 2 - wykaz książek.
Wszystkie wykazane w zał.2 pozycje straciły wartość użytkową ze względu na nieaktualne dane w nich zawarte.
Lp. Nr inwentarzowy
1
2
3
4
5
6
7
8
9
10
11
12
13
14
15
16
17
18
19
20
21
22
23
24
25
26
96
97 - 99
100 - 101
102
103
104 - 105
106
107
108
109
110
111 - 116
117 - 120
121 - 128
129
130
131
132
133
134
135
136 - 142
143
144
145
146 - 150
Autor
Piotrowski, Roman, 1898- ed.
Lopiński, Kazimierz
Poland
Instytut Wydawniczy CRZZ
Wydaw. Prawnicze
Instytut Wydawniczy CRZZ
Jaroszewicz, Piotr (1909-1992)
Masewicz, Walery
Chorążkowa, Sabina
Dobrzański, Bronisław
Korzonek, Jan
Borkowski, Janusz (1934- ) . Red.
Tytuł
Kodeks postępowania administracyjnego
Kodeks cywilny
Prawo cywilne i Kodeks rodzinny
Kodeks postępowania cywilnego
Prawo cywilne i Kodeks rodzinny
Kodeks postępowania cywilnego
Kodeks cywilny
Kodeks postępowania cywilnego
Prawo handlowe i przemysłowe wraz z przepisami zwi
Kodeks postępowania niespornego, z orzecznictwem o
Kodeks drogowy
Kodeks pracy
Kodeks pracy
Kodeks pracy
Kodeks pracy
Kodeks pracy
Kodeks postępowania administracyjnego
Projekt Kodeksu cywilnego
Rozwiązanie umowy o pracę bez wypowiedzenia
Prawo o ruchu drogowym
Prawo autorskie; przepisy i orzecznictwo
Koszty sądowe i arbitrażowe oraz opłaty notarialne
Kodeks budowlany
Kodeks postępowania cywilnego
Kodeks zobowiązań komentarz
Kodeks postępowania administracyjnego
Proponowana
Data zakupu Ilość jednostkowa cena
sprzedaży w zł
1985
1
1,00 zł
1985
3
3,00 zł
1985
2
2,00 zł
1985
1
1,00 zł
1985
1
1,00 zł
1985
2
2,00 zł
1985
1
1,00 zł
1985
1
1,00 zł
1985
1
1,00 zł
1985
1
1,00 zł
1985
1
1,00 zł
1985
6
6,00 zł
1985
4
4,00 zł
1985
8
8,00 zł
1985
1
1,00 zł
1985
1
1,00 zł
1985
1
1,00 zł
1985
1
1,00 zł
1985
1
1,00 zł
1985
1
1,00 zł
1985
1
1,00 zł
1985
7
7,00 zł
1985
1
1,00 zł
1985
1
1,00 zł
1985
1
1,00 zł
1985
5
5,00 zł
27
28
29
30
31
32
33
34
35
36
37
38
39
40
41
42
43
44
45
46
47
48
49
50
51
52
53
54
55
56
151 - 154
155
156 - 157
158
159
160
161
162 - 163
164
165
166
167
168
169
170
171
172
173
174
175
176
177
178
179
181
182 - 183
184
185
186
187
Gajewski, Jan Jakub
Bar, Ludwik (1906-1999). Oprać.
Prawo o ruchu drogowym
Kodeks drogowy; komentarz
Kodeks budowlany
Gontarz, Teresa
Projekt Kodeksu postępowania cywilnego Polskiej Rz
Ustawa z dnia 20 lipca 1983 r. o systemie rad naro
Państwowy Arbitraż Gospodarczy
Potrzebowski, Karol
Moszyński, Remigiusz
Marcińczak, Barbara. Red.
Chorążkowa, Sabina.
Poland
Szewc, Andrzej .
Ministerstwo Rolnictwa
Księżopolski, Bolesław.
Katner, Wojciech Jan (1950- ).
Policzkiewicz-Zawadzka, Zofia.
Policzkiewicz-Zawadzka, Zofia.
Piekarski, Mieczysław
Ramus, Walenty, [from old catalog]
Sawczuk, Mieczysław (1930- ).
Niejadlik, Jan.
Piekarczyk, Henryk
Sawicz, Czesław
Jaroszyński, Adam.
Brol, Jan. Oprać.
Ustawa o amnestii z dnia 21 lipca 1983 r.
Prawo o ustroju sądów powszechnych oraz ważniejsze
Państwowy Arbitraż Gospodarczy
Sądownictwo polubowne
Działy spadkowe
Regulaminy sądów wojewódzkich i rejonowych
Ustrój adwokatury
Postępowanie egzekucyjne w administracji
Wynalazki pracownicze w prawie polskim
Ustawowy zbiór przepisów dla przedsiębiorstw rolny
Kary umowne w budownictwie
Opłata skarbowa od nabycia
Ustawa o spółdzielniach i ich związkach
Ochrona własności nieruchomości przed naruszeniami
Odpowiedzialność stron stosunku kontraktacji w obr
Odpowiedzialność stron stosunku kontraktacji w obr
Pozbawienie strony obrony swych praw
Przekazywanie nieruchomości pomiędzy jednostkami g
Ponowne orzekanie w sprawie cywilnej prawomocnie o
Kontrola rewizyjna postanowień poprzedzających wyd
Odpowiedzialność przewoźnika za szkody w lądowym t
Poradnik ławnika w sprawach cywilnych
Prawo notarialne
Prawo lokalowe z komentarzem
Postępowanie w sprawach pracy i ubezpieczeń społec
1985
1985
1985
1985
1985
1985
1985
1985
1985
1985
1985
1985
1985
1985
1985
1985
1985
1985
1985
1985
1985
1985
1985
1985
1985
1985
1985
1985
1985
1985
4
1
2
1
1
1
1
2
1
1
1
1
1
1
1
1
1
1
1
1
1
1
1
1
1
2
1
1
1
1
4,00 zł
1,00 zł
2,00 zł
1,00 zł
1,00 zł
1,00 zł
1,00 zł
2,00 zł
1,00 zł
1,00 zł
1,00 zł
1,00 zł
1,00 zł
1,00 zł
1,00 zł
1,00 zł
1,00 zł
1,00 zł
1,00 zł
2,00 zł
2,00 zł
1,00 zł
1,00 zł
1,00 zł
1,00 zł
2,00 zł
1,00 zł
1,00 zł
1,00 zł
1,00 zł
57
58
59
60
61
62
63
64
65
66
67
68
69
70
71
72
73
74
75
76
77
78
79
80
81
82
83
84
85
86
188
189 - 190
192 - 193
194 - 195
196
197 - 199
200
201
202
231
203
204
205
206 - 209
210
211
212
213
214
215
216
217
218
219
220
221
222
223 - 225
226
227
Wengerek, Edmund
Bieniek, Gerard (1941- )
Jaszek, Jan.
Poland
Kołakowski, Krzysztof
Policzkiewicz-Zawadzka, Zofia.
Majorowicz, Józef.
Radziecki
Poland
Policzkiewicz, Jan
Białobrzeski, Janusz.
Bialobrzeski, Janusz.
Górski, Władysław (1917- )
Lasy Państwowe
Dmochowski, Stanisław
Prokopczuk, Józef.
Pochwicki, Ignacy. Oprać.
Pochwicki, Ignacy. Oprać.
Trybulski, Zbigniew
Trybulski, Zbigniew
Prokopczuk, Józef.
Poland
Oleszyński, Ryszard
Radziszewski, Edward (1923- )
Keck, Zdzisław, [from old catalog]
Adaszewski, Zygmunt
Chojnowski, Władysław.
Siedlecki, Władysław
Koncentracja materiału procesowego w postępowaniu
Materiały szkoleniowe prawa rolnego
Odpowiedzialność cywilna za wypadki drogowe na tle
Kierunki i metody doskonalenia struktur organizacy
Analiza analiz sądowych w sprawach przestępstw pod
Poradnik ławnika w sprawach cywilnych
Odpowiedzialność stron stosunku kontraktacji w obr
Zmiany w regulacji stosunków prawnych w rolnictwie
Materiały szkoleniowe prawa rolnego
Wypadki postrzałowe spowodowane bronią myśliwską
Instrukcja o ustawie karno-skarbowej
Wzory pism procesowych w sprawach cywilnych
Jak obliczać podatek od wynagrodzeń i składkę na c
Ustawa o zobowiązaniach podatkowych
Umową przewozu
Przepisy w sprawie ochronie lasów przed szkodnikam
Odszkodowania i świadczenia z ubezpieczeń gospodar
Prawo lokalowe
Zbiór przepisów finansowych i gospodarczych dla je
Zbiór przepisów finansowych i gospodarczych dla je
Prawo cywilne
Bibliografia prawa i postępowania cywilnego
Prawo lokalowe
Prawo pracy
Przepisy o transporcie samochodowym oraz o gospoda
Prawo budowlane
Skorowidz przepisów prawnych, ogłoszonych w Dzienn
Czynności sekretarza sadowego
Wzory aktów i innych dokumentów notarialnych
Zarys postępowania cywilneo
1985
1985
1985
1985
1985
1985
1985
1985
1985
1985
1985
1985
1985
1985
1985
1985
1985
1985
1985
1985
1985
1985
1985
1985
1985
1985
1985
1985
1985
1985
1
2
2
2
1
3
1
1
1
1
1
1
1
4
1
1
1
1
1
1
1
1
1
1
1
1
1
3
1
1
1,00 zł
2,00 zł
2,00 zł
2,00 zł
1,00 zł
3,00 zł
1,00 zł
1,00 zł
1,00 zł
1,00 zł
1,00 zł
1,00 zł
1,00 zł
4,00 zł
1,00 zł
1,00 zł
1,00 zł
1,00 zł
1,00 zł
1,00 zł
1,00 zł
1,00 zł
1,00 zł
1,00 zł
1,00 zł
1,00 zł
1,00 zł
3,00 zł
1,00 zł
1,00 zł
87
88
89
90
91
92
93
94
95
96
97
98
99
100
101
102
103
104
105
106
107
108
109
110
111
112
113
114
115
116
228
229
230
236
237
238
239
240
241
242
243 - 244
245
246
247
248
249
250 - 252
253
254 - 256
257
258 - 261
262
263
264
265
266
267
268
269
270
Ministerstwo Sprawiedliwości
Pochwicki, Ignacy. Oprać.
Waligórski, Marian.
Marian, Waligórski
Surowiec, Stanisław
Ramus, Walenty.
Jastrzębski, Ludwik.
Stefaniuk, Krzysztof.
Garlicki, Stanisław
Bagiński, Władysław
Bialobrzeski, Janusz
Daniec, Roman
Kucharski, Jan
Buszyński, Marian, 1885Stefaniuk, Krzysztof.
Dmochowski, Stanisław
Ministerstwo Sprawiedliwości
Warzocha, Edward
Kosiński, Jerzy (1930- )
Kubiak, Władysław
Sychowicz, Marek
Resich, Zbigniew.
Klich-Rump, Jadwiga.
Poland
Baziński, Aleksander
Zbiór resortowych aktów prawnych Ministerstwa Spra
Zbiór przepisów finansowych i gospodarczych dla je
Zobowiązania z tytułu wyrządzenia szkody i niesłus
Polskie prawo procesowe cywilne
Polskie prawo procesowe cywilne
Prawo wodne
Prawo wywłaszczeniowe
Prawo łowieckie
Treść i charakter prawny spółdzielczego prawa do 1
Odpowiedzialność cywilna za niedobory
Sprzedaż i dostawa w obrocie uspołecznionym
Podatek od wynagrodzeń i podatek wyrównawczy
Jak uzyskać mieszkanie spółdzielcze
Zbiór przepisów meldunkowych
Prawo lokalowe; komentarz
Materiały szkoleniowe prawa rolnego
Treść i charakter prawny spółdzielczego prawa do 1
Takie jest prawo
1985
1985
1985
1985
1985
1985
1985
1985
1985
1985
1985
1985
1985
1985
1985
1985
1985
1985
Zbiór przepisów Ministerstwa Sprawiedliwości w spr
Zbiór przepisów Ministerstwa Sprawiedliwości w spr
Odszkodowania i świadczenia z ubezpieczeń gospodar
Zbiór resortowych aktów prawnych Ministerstwa Spra
Cofnięcie powództwa oraz wniosku wszczynającego po
Prawomocność postanowień sądowych w postępowaniu w
Zobowiązania podatkowe; teksty i objaśnienia
Postępowanie o zniesienie współwłasności
Dopuszczalność drogi sądowej w sprawach cywilnych
Podstawa faktyczna rozstrzygnięcia sądowego w proc
Przepisy dla komorników
Prawo spadkowe
1985
1985
1985
1985
1985
1985
1985
1985
1985
1985
1985
1
1
1
1
1
1
1
1
1
1
2
1
1
1
1
1
3
1
3
1
4
1
1
1
1
1
1
1
1
1
1,00 zł
1,00 zł
1,00 zł
1,00 zł
1,00 zł
1,00 zł
1,00 zł
1,00 zł
1,00 zł
1,00 zł
2,00 zł
1,00 zł
1,00 zł
1,00 zł
1,00 zł
1,00 zł
3,00 zł
1,00 zł
4,00 zł
4,00 zł
4,00 zł
1,00 zł
1,00 zł
1,00 zł
1,00 zł
1,00 zł
1,00 zł
1,00 zł
1,00 zł
1,00 zł
117
118
119
120
121
122
123
124
125
126
127
128
129
130
131
132
133
134
135
136
137
138
139
140
141
142
143
144
145
146
271
272
274
275
276
277
278
280 - 281
282
283
284 - 288
289
290 - 292
293
294
295
296
297 - 298
300
301
302
303
304
305
306
307
308
309
310
311
Zieliński, Adam
Zieliński, Adam
Służewski, Jerzy (1923-1995)
Bidziński, Zbigniew
Jaszek, Jan.
Garlicki, Stanisław
Białobrzeski, Janusz.
Obrót prawny z zagranicą w sprawach cywilnych i ka
Obrót prawny z zagranicą w sprawach cywilnych i ka
Postępowanie administracyjne
Ustawodawstwo dewizowe
Doskonalenie struktury organizacyjnej przedsiębior
Odpowiedzialność cywilna za niedobory
Jak obliczać podatek od wynagrodzeń i składkę na c
Wiatr, Jerzy J.
Zoil, Andrzej
Czylak, T.
Czylak, T.
Rostrzyganie spraw w postępowaniu cywilnym
Synteza z Prac Cywilno-Prawnych za rok 1984
Synteza z Prac Cywilno-Prawnych za rok 1984
Marks, Engels, marksizm
Marks, Engels, marksizm
Marks, Engels, marksizm
Marks, Engels, marksizm
Wstęp do teorii marksizmu
0 Konstytucji Polskiej Rzeczypospolitej Ludowej
Sesja XX n.n. w PRL
Wstęp do nauk o państwie i prawie
Teoria państwa i prawa
Naród i państwo
Okoliczności wyłączające bezprawność czynu
Organizacja pracy biurowej
Organizacja pracy biurowej
Madey, Marek.
Towarzystwo Wolnej Wszechnicy
Polskiej
Zaborowski,
Zbigniew.
Wiatr, Jerzy Józef (1931- ).
Poźniak-Niedzielska, Maria.
Wyrzykowski, Mirosław (1950- )
Konferencja ideologiczna pracowników wymiaru spraw
Problemy jakości w ogólnych warunkach umów
Człowiek w pracy i w osiedlu
Stosunki międzyludzkie w wychowaniu
Społeczeństwo
Wzory zdobnicze i ich ochrona
Sądownictwo administracyjne w Polskiej Rzeczypospo
Krzekotowska, Krystyna. Oprać.
Krzekotowska, Krystyna. Oprać.
Lenin, Vladimir Ilicz (1870-1924)
Lenin, Vladimir Ilicz (1870-1924)
Lenin, Vladimir Ilicz (1870-1924)
Lenin, Vladimir Ilicz (1870-1924)
Schaff, Adam
Bierut, Bolesław, President, Poland,
1892Poland
Kowalski, Jerzy (1923- )
1985
1985
1985
1985
1985
1985
1985
1985
1985
1985
1985
1985
1985
1985
1985
1985
1985
1985
1985
1985
1985
1985
1985
1985
1985
1985
1985
1985
1985
1985
1
1
1
1
1
1
1
2
1
1
5
1
3
1
1
1
1
2
1
1
1
1
1
1
1
1
1
1
1
1
1,00 zł
1,00 zł
1,00 zł
1,00 zł
1,00 zł
1,00 zł
1,00 zł
2,00 zł
2,00 zł
2,00 zł
9,00 zł
9,00 zł
9,00 zł
1,00 zł
1,00 zł
1,00 zł
1,00 zł
2,00 zł
1,00 zł
1,00 zł
1,00 zł
1,00 zł
1,00 zł
1,00 zł
1,00 zł
1,00 zł
1,00 zł
1,00 zł
1,00 zł
1,00 zł
147
148
149
150
151
152
153
154
155
156
157
158
159
160
161
162
163
164
165
166
167
168
169
170
171
172
173
174
175
176
313
314
315
316
317
318
319
320
321
322
323
324
325
327
328
329 - 330
331
332
333
334
335 - 336
337 - 341
342
343
344
345
346
349
350
352
Gugulski, Aleksander.
Masewicz, Walery.
Cura, E.
Kalus, Stanisława.
Nowicki, Bogdan
Resich, Zbigniew (1915-1989)
Rybicki, Marian
Piotrowski, Janusz.
Jastrzębski, Ludwik
Błażejczyk, Marian
Szajkowski, Andrzej.
Kocon, Wacław.
Mizera, Stefan.
Bladowski, Bogdan (1928- )
Wengerek, Edmund (1913-1978)
Piotrowski, Janusz.
Sychowicz, Marek
Sejm w walce z alkoholizmem
Prokurator w postępowaniu cywilnym
Współdziałanie MO z Radami Narodowymi
Międzynarodowe stosunki pracy
Solidarne inter. w radzieckim prawie cywilnym
Res iudicata
Sąd jako organ egezkucyjny
Od waśni do zgody : plon konkursu "Moje doświadczę
Przedsiębiorstwo państwowe w sądowym postępowaniu
Ochrona lasów przed szkodnikami
Przyczyny naruszeń prawa
Zaopatrywanie rolnictwa i wsi w wod^e
Udzielanie ochrony patentowej
Droga konieczna
Ewidencja i gospodarka terenami
Przesłanki dopuszczalności rewizji cywilnej
Postępowanie cywilne procesowe przed sądami pierws
Przedsiębiorstwo państwowe w sądowym postępowaniu
Postępowanie o zniesienie współwłasności
Rola prawa w rozwoju gospodarstw rolnych
Kołakowski, Krzysztof
Poradnik ławnika w sprawach cywilnych
Ministerstwo Administracji, Gospodarki Wykaz urzędowych nazw miejscowości w Polsce
Terenowej i
Abstynecja, trzeźwość, profile wychowawcze
Ochrona i umacnianie rodziny
Rodzina
Poland
Kodeks cywilny ; Kodeks rodzinny i opiekuńczy ; Ko
Safjan, Marek (1949- )
Instytucja rodzin zastępczych
Mościcka, Lidia.
Problemy niedostosowania społecznego
Sprawiedliwości, Ministerstwo
Rola i zadania sądów rodzinnych
Wierzchowski, Eustachy. Oprać.
Prawo rodzinne i spadkowe europejskich państw socj
1985
1985
1985
1985
1985
1985
1985
1985
1985
1985
1985
1985
1985
1985
1985
1985
1985
1985
1985
1985
1985
1985
1985
1985
1985
1985
1985
1985
1985
1985
1
1
1
1
1
1
1
1
1
1
1
1
1
1
1
2
1
1
1
1
2
5
1
1
1
1
1
1
1
1
1,00 zł
1,00 zł
1,00 zł
1,00 zł
1,00 zł
1,00 zł
1,00 zł
1,00 zł
1,00 zł
1,00 zł
1,00 zł
1,00 zł
1,00 zł
1,00 zł
1,00 zł
2,00 zł
1,00 zł
1,00 zł
1,00 zł
1,00 zł
2,00 zł
5,00 zł
1,00 zł
1,00 zł
1,00 zł
1,00 zł
1,00 zł
1,00 zł
1,00 zł
1,00 zł
177
178
179
180
181
182
183
184
185
186
187
188
189
190
191
192
193
194
195
196
197
198
199
200
201
202
203
204
205
206
355
356
357
358
359 - 360
361
362
363
364
365
366
367
368 - 369
370
371
372 - 373
374
375
376
377
378
379
380
381
382
383
384 - 385
386 - 389
390
391
Stelmachowski, Andrzej
Szczęśniak, Marian
Chęciński, Józef
Stojanowska, Wanda, doc. dr hab.
Oleszko, Aleksander (1943- )
Zedler, Feliks
Hołyst, Brunon
Grześkowiak, Kazimierz
Winiarz, Jan
Chorążkowa, Sabina.
Przysposobienie w polskim prawie rodzinnym
Obrona cywilna na czas pokoju i wojny
Ochrona ludności we współczesnej wojnie
Problematyka rozwodów w świetle badań
Roszczenia alimentacyjne
Sądy rodzinne
Zagadnienie marginesu społecznego a sprawiedliwość
Poradnik kuratora sądowego i inspektora społeczneg
Odpowiedzialność cywilna z tytułu nadzoru nad dzie
Rodzina i wychowanie
Kodeks cywilny ; Kodeks rodzinny i opiekuńczy ; Ko
Rozlerowa, Irena.
Stojanowska, Wanda
Rasimowicz, Bohdan
Kruszewska, Janina
Madey, Marek
Hansen, Arwid (1917- )
Barański, Jerzy
Mirończuk, Albin.
Dzikiewicz, Lech.
Masewicz, Walery
Masewicz, Walery
Dzwonkowski, Stanisław, ed.
Mirończuk, Albin.
Kruszewska, Janina.
Zimny, Zygmunt Marceli (1923- )
Dzikiewicz, Lech.
Masternak, Zygmunt.
Ustawa o Wychowaniu w Trzeźwości i Przeciwdziałani
Ustawa o Wychowaniu w Trzeźwości i Przeciwdziałani
Kodeks cywilny z przepisami wykonawczymi ; Kodeks
Problematyka rozwodów w świetle badań
Ochrona pracy w pytaniach i odpowiedziach
Dyscyplina pracy i zwolnienia od pracy
Problemy jakości w ogólnych warunkach umów
Kompleksowa ocena poziomu bezpieczeństwa i higieny
Orzekanie przez inspektorów pracy w sprawach o wyk
Podstawy prawne bhp [bezpieczeństwa i higieny prac
Materialna odpowiedzialność pracownika
Czas pracy - komentarz
Rozwiązanie umowy o pracę bez wypowiedzenia
Czas pracy; teksty, orzecznictwo, objaśnienia
Podstawy prawne bhp [bezpieczeństwa i higieny prac
Dyscyplina pracy i zwolnienia od pracy
Metoda i styl kierowania ludźmi w zakładzie pracy
Materialna odpowiedzialność pracownika
Obowiązek pracowniczej staranności
1985
1985
1985
1985
1985
1985
1985
1985
1985
1985
1985
1985
1985
1985
1985
1985
1985
1985
1985
1985
1985
1985
1985
1985
1985
1985
1985
1985
1985
1985
1
1
1
1
2
1
1
1
1
1
1
1
2
1
1
2
1
1
1
1
1
1
1
1
1
1
2
4
1
1
1,00 zł
1,00 zł
1,00 zł
1,00 zł
2,00 zł
1,00 zł
1,00 zł
1,00 zł
1,00 zł
1,00 zł
1,00 zł
1,00 zł
2,00 zł
1,00 zł
1,00 zł
2,00 zł
1,00 zł
1,00 zł
1,00 zł
1,00 zł
1,00 zł
1,00 zł
1,00 zł
1,00 zł
1,00 zł
1,00 zł
2,00 zł
4,00 zł
1,00 zł
1,00 zł
207
208
209
210
211
212
213
214
215
216
217
218
219
220
221
222
223
224
225
226
227
228
229
230
231
232
233
234
235
236
392
393
394
395
396
397
398
399
400
401
402
403 - 407
408 - 409
410
411
412
413 - 416
417
418
419
420 - 421
422
423
424
425
427
428
429
430
431 - 432
Florek, Ludwik
Szałowski, Ryszard.
Bieniek, Gerard (1941- )
Józefowicz, Adam.
Staż pracy
Kryminalistyczna ocena postępowania w sprawach o w
Roszczenia regresowe zakładu pracy wobec pracownik
Wynagrodzenie za czas niewykonywania pracy z przyc
Hausen, H.
Szeremeta, Emil
Omowy o pracę w sklepach spółdzielni spożywców "Sp
BHP i prawo pracy
Uprawnienia praconików
Ustawa o uchylaniu się od pracy
Pawłowski, Czesław
Klafkowski, Zenon.
Ustawa o Wychowaniu w Trzeźwości i Przeciwdziałani
Prawo o państwowym arbitrażu gospodarczym
Państwowy arbitraż gospodarczy
Prawo wekslowe i czekowe
Poland
Ciepła, Helena (1939- ) .
Zieliński, Józef
Siwierski, M.
Bieńkowski, Krzysztof
Pawela, Stanisław
Cieślak, Marian (1921- )
Bafia, Jerzy
Bafia, Jerzy
Prawo o ustroju sadów powszechnych oraz ważniejsze
Emerytury i inne świadczenia dla rolników
Prawo wekslowe i czekowe
Prawne skutki uregulowania własności gospodarstw r
Prawo pracy; przepisy, orzecznictwo i wyjaśnienia
Kodeks karny - kometarz
Wzory pism procesowych w sprawach karnych
Wykonanie orzeczeń w sprawach karnych
Pisma procesowe w postępowaniu karnym
Komentarz do Ustawy karnej skarbowej
Komentarz do Ustawy karnej skarbowej
Kodeks karny
Osobowość sprawcy przestępstwa
Pawela, Stanisław
Kodeks postępowania karnego, przepisy wprowadzając
Kodeks karny wykonawczy
Pawela, Stanisław
Kodeks postępowania karnego, przepisy wprowadzając
Kodeks karny wykonawczy
Kodeks postępowania karnego, przepisy wprowadzając
1985
1985
1985
1985
1985
1985
1985
1985
1985
1985
1985
1985
1985
1985
1985
1985
1985
1985
1985
1985
1985
1985
1985
1985
1985
1985
1985
1985
1985
1985
1
1
1
1
1
1
1
1
1
1
1
5
2
1
1
1
4
1
1
1
2
1
1
1
1
1
1
1
1
2
1,00 zł
1,00 zł
1,00 zł
1,00 zł
1,00 zł
1,00 zł
1,00 zł
1,00 zł
1,00 zł
1,00 zł
1,00 zł
5,00 zł
2,00 zł
1,00 zł
1,00 zł
1,00 zł
4,00 zł
1,00 zł
1,00 zł
1,00 zł
2,00 zł
2,00 zł
2,00 zł
1,00 zł
1,00 zł
1,00 zł
1,00 zł
1,00 zł
1,00 zł
2,00 zł
237
238
239
240
241
242
243
244
245
246
247
248
249
250
251
252
253
254
255
256
257
258
259
260
261
262
263
264
265
266
433 - 434
435
436
437 - 439
440
441
442
443
444
445
446
447 - 448
449
450
451
452
453
454
455 - 456
457 - 458
459 - 460
462
463 - 464
465
466 - 468
469
470
471
472
473
Kempisty, Henryk
Łukaszewicz, Czesław
Wolter, Władysław (1897-1986)
Wąsek, Andrzej.
Waszczyński, Jan.
Walczak, Stanisław
Waltoś, Stanisław.
Sobolewski, Zbigniew
Sobolewski, Zbigniew
Bulsiewicz, Andrzej.
Chybiński, Olgierd
Chybiński, Olgierd.
Daszkiewicz, Wiesław (1927- )
Daszkiewicz, Krystyna
Daszkiewicz, Wiesław
Falandysz, Lech (1942-2003)
Grzeszyk, Józef
Górniok, Oktawia.
Ferenc, Adam
Gostyński, Zbigniew
Manik, Z.
Bafia, Jerzy (1926-1991)
Kalinowski, Stefan (1913- )
Lipczyńska, Maria.
Lipczyńska, Maria.
Majewski, Tomasz.
Michalski, Wojciech (1929-1997)
Kodeks karny
Kodeks karny
Metodyka pracy sędziego w sprawach karnych
Orzekanie i wykonywanie kary ograniczenia wolności
Problemy odpowiedzialności karnej
Współsprawstwo w polskim prawie karnym
Odszkodowanie za niesłuszne skazanie bezzasadne ar
Z problematyki nowego ustawodawstwa karnego
Osobowość sprawcy przestępstwa
Akt oskarżenia w prawie karnym
Samooskarżenie w świetle prawa karnego
Eksperyment jako dowód w sprawach karnych
Zabezpieczenie roszczeń odszkodowawczych i kar maj
Paserstwo
Płatna protekcja
Przedstawiciel społeczny w procesie karnym
Nadzwyczajne złagodzenie kary w polskim kodeksie k
Naprawienie szkody w prawie karnym
Wykroczenie zakłócenia porządku publicznego
Niedobory w handlu uspołecznionym
Zagarnięcie mienia społecznego
Rewizja strony w procesie karnym
Bibliografia prawa karnego materialnego, prawa kar
Reguły społecznej gry
Problemy kryminologii
Rozprawa główna w polskim procesie karnym
Stanowisko oskarżonego w procesie karnym Polski Lu
Oskarżenie prywatne
Uprawnienia jednostek gospodarki uspołecznionej w
Wychowawcza funkcja sądu w postępowaniu karnym
1985
1985
1985
1985
1985
1985
1985
1985
1985
1985
1985
1985
1985
1985
1985
1985
1985
1985
1985
1985
1985
1985
1985
1985
1985
1985
1985
1985
1985
1985
2
1
1
3
1
1
1
1
1
1
1
2
1
1
1
1
1
1
2
2
2
1
2
1
3
1
1
1
1
1
2,00 zł
1,00 zł
1,00 zł
3,00 zł
1,00 zł
1,00 zł
1,00 zł
1,00 zł
1,00 zł
1,00 zł
1,00 zł
2,00 zł
1,00 zł
1,00 zł
1,00 zł
1,00 zł
1,00 zł
1,00 zł
2,00 zł
2,00 zł
2,00 zł
1,00 zł
2,00 zł
1,00 zł
3,00 zł
1,00 zł
1,00 zł
1,00 zł
1,00 zł
1,00 zł
267
268
269
270
271
272
273
274
275
276
277
278
279
280
281
282
283
284
285
286
287
288
289
290
291
292
293
294
295
296
474
475 - 476
477
478
480
481
482
483
484
485 - 486
487
488
491 -492
493
494
495
496
497
498
499 - 500
501 - 504
505
508
510 - 511
512
513
514
515
516
517
Piekarski, Mieczysław
Polony, Jan.
Sobolewski, Zbigniew
Leonieni, Mikołaj.
Wierzbicki, Piotr
Kaftal, Alfred.
Łukaszewicz, Czesław.
Kamiński, Jerzy
Kudrvcev, Vladimir Nikolaevi
Hołyst, Brunon
Groicki, Bartłomiej, 1519-1599, [from
old catalog]
Groicki,
Bartłomiej, 1519-1599.
Konieczny, Marian Józef
Bafia, Jerzy
Spotowski, Andrzej
Kmiecik, Romuald.
Kalinowski, Stefan (1913- )
Bidziński, Zbigniew
Kuleba, Adolf
Lipka, Marian (1924- )
Jankowski, Zenon
Spotowski, Andrzej
Wierzbicki, Piotr
Bednarek, A.
Leonieni, Mikoaj
Instytut Ekspertyz Sadowych im. Prof.
Dra Jana Seh
Bojarski,
Tadeusz (1941- )
Michalski, Wojciech
Filar, Marian (1942- )
Lernell, Leszek
Odpowiedzialność za manko w świetle orzecznictwa S
Wypadki drogowe
Samooskarżenie w świetle prawa karnego
Warunkowe zawieszenie wykonania kary w polskim pra
Indywidualizacja penitencjarna w Polsce
Kontrola sądowego postępowania przygotowawczego
Kontrola sądowego postępowania przygotowawczego
Resocjalizacja skazanych
Przyczyny naruszeń prawa
Przestępczość w Polsce
Tytuły prawa majdeburskiego
Obrona sierot i wdów
Zasadnicze cechy recydywistów przestępstw przeciwk
Zwrot sprawy przez sąd do uzupełnienia śledztwa lu
Pomijalny (pozorny) zbieg przepisw ustawy i przest
Oskarżyciel posiłkowy w procesie karnym
Rozprawa główna w polskim procesie karnym
Ustawodawstwo dewizowe
Poradnik ławnika w sprawach karnych
Problemy profilaktyki kryminologicznej i kryminali
Amnestia
Pomijalny (pozorny) zbieg przepisw ustawy i przest
Efektywność wykonywania kary na terenie Bieszczad
Niektóre problemy procesu karnego
Zasady wymiaru kary w radzieckim prawie karnym
Z zagadnień kryminalistyki
Odmiany podstawowych typów przestępstw w polskim p
Postępowanie z młodzieżą w świetle norm prawa karn
Prawo karne niektrych pastw Europy Zachodniej
Własność społeczna jako przedmiot ochrony prawa ka
1985
1985
1985
1985
1985
1985
1985
1985
1985
1985
1985
1985
1985
1985
1985
1985
1985
1985
1985
1985
1985
1985
1985
1985
1985
1985
1985
1985
1985
1985
1
2
1
1
1
1
1
1
1
2
1
1
2
1
1
1
1
1
1
2
4
1
1
2
1
1
1
1
1
1
1,00 zł
2,00 zł
1,00 zł
1,00 zł
1,00 zł
1,00 zł
1,00 zł
1,00 zł
1,00 zł
2,00 zł
1,00 zł
1,00 zł
2,00 zł
1,00 zł
1,00 zł
1,00 zł
1,00 zł
1,00 zł
1,00 zł
2,00 zł
4,00 zł
1,00 zł
1,00 zł
1,00 zł
1,00 zł
1,00 zł
1,00 zł
1,00 zł
1,00 zł
1,00 zł
297
298
299
300
301
302
303
304
305
306
307
308
309
310
311
312
313
314
315
316
317
318
319
320
321
322
323
324
325
326
518
519
520
521
522
523
524
525
526
527
528
529
530
531 - 534
535 - 537
538 - 539
540
542 - 543
544
545
546
547
548
549
550
551
552
553
554 - 557
558
Policzkiewicz-Zawadzka, Zofia
Bafia, Jerzy
Ferenc, Adam
Bafia, Jerzy (1926-1991)
Zielińska, Eleonora
Jasiński, Jerzy
Olszewski, Marek
Bafia, Jerzy
Bafia, Jerzy
Ćwiąkalski, Zbigniew
Szymanowski, Teodor
Kafarski, Aleksander
Nowak, Tadeusz
Janiszewska-Talago, Elżbieta
Bafia, Jerzy
Modlinger, Jerzy
Kamiński, Jerzy
Janiszewska-Talago, Elżbieta
Lernell, Leszek
Leonieni, Mikołaj
Ministerstwo Obrony Narodowej
Kaftal, Alfred
Bednarzak, Jan.
Lesko, Teofil
Sobolewski, Zbigniew
Kuleba, Adolf
Leonieni, Mikołaj
Odpowiedzialno stron stosunku kontraktacji w obroc
Odpowiedzialność karna za przestępstwa przeciw wła
Rewizja strony w procesie karnym
System kar i zasady ich orzekania
Kary nie związane z pozbawieniem wolności w ustawo
Przewidywanie przestępczości jako zjawiska masoweg
Ustrojowe i procesowe zasady orzecznictwa w sprawa
Zmiana kwalifikacji prawnej czynu w procesie karny
Polityka karania przestępstw ściganych na skutek s
Nadzwyczajne złagodzenie kary w praktyce sądowej
Wykonywanie kary pozbawienia wolności w świetle wy
Akcja cywilna w procesie karnym
Dowd z dokumentu w polskim procesie karnym
Ustawa o Zwalczaniu Spekulacji
Kodeks wykroczeń
Kodeks karny wykonawczy
Kodeks wojskowego postępowania karnego i przepisy
Kara ograniczenia wolności
Zasady wykonywania kary ograniczenia wolności
Sądowy wymiar kary
Wykład prawa karnego
Warunkowe zawieszenie wykonania kary; podstawy sto
Wytyczne i uchwalenia Izby Karnej
Problemy radzieckiego prawa karnego
Prawomocność wyroków sądowych w polskim prawie kar
Dekret o amnestii z dnia 19 lipca 1977 r.
System środków karnych
Samooskarżenie w świetle prawa karnego
Poradnik ławnika w sprawach karnych
Warunkowe umorzenie postępowania karnego w świetle
1985
1985
1985
1985
1985
1985
1985
1985
1985
1985
1985
1985
1985
1985
1985
1985
1985
1985
1985
1985
1985
1985
1985
1985
1985
1985
1985
1985
1985
1985
1
1
1
1
1
1
1
1
1
1
1
1
1
4
3
2
1
2
1
1
1
1
1
1
1
1
1
1
4
1
1,00 zł
1,00 zł
1,00 zł
1,00 zł
1,00 zł
1,00 zł
1,00 zł
1,00 zł
1,00 zł
1,00 zł
1,00 zł
1,00 zł
1,00 zł
4,00 zł
3,00 zł
2,00 zł
1,00 zł
2,00 zł
1,00 zł
1,00 zł
1,00 zł
1,00 zł
1,00 zł
1,00 zł
1,00 zł
1,00 zł
1,00 zł
1,00 zł
4,00 zł
1,00 zł
327
328
329
330
331
332
333
334
335
336
337
338
339
340
341
342
343
344
345
346
347
348
349
350
351
352
353
354
355
356
559
560 - 561
562
563
566
567
568
569
570
571
572 - 573
574
575
576
577 - 579
580
581
584
585
586
588
589
590
591
592
593 - 596
597
598 - 599
600
601
Kuleba, Adolf
Kunze, Eugeniusz
Szpunar, Adam (1913-2002)
Bafia, Jerzy (1926-1991)
Kallaus, Zbigniew
Rek, Stefan
Leonieni, Mikołaj
Jasiński, Jerzy
Leonieni, Mikołaj
Świda, Witold
Stachurska-Marcińczak, Barbara.
Uniwersytet Śląski w Katowicach
Stachurska-Marcińczak, Barbara.
Jankowski, Zenon
Ministerstwo Sprawiedliwości
Bożyk, Paweł
Tyczka, Mieczysław (1925- )
Radziszewski, Edward (1923- )
Buszyński, Marian, 1885Szewc, Andrzej
Hochberg, Leo
Fredrich-Michalska, Irena.
Manik, Z.
Łukaszewicz, Czesław
Morawski, Jacek (1942- )
Włodarek, Jan
Śliwiński, Stanisław
Poradnik ławnika w sprawach karnych
Zabór pojazdu mechanicznego w celu krótkotrwałego
Odpowiedzialność osób zobowiązanych do nadzoru
Rozprawa główna w procesie karnym
Przestępne nadużycie władzy
Sygnalizacja profilaktyczna w sprawach karnych
Warunkowe zawieszenie wykonania kary w polskim pra
Przewidywanie przestępczości jako zjawiska masoweg
Efektywność warunkowego umorzenia postępowania kar
Recydywa
Prawo o ruchu drogowym oraz przepisy wykonawcze
Kodeks karny oraz Ustawa o szczególnej odpowiedzią
Problemy prawa karnego
Kodeks karny oraz Ustawa o szczególnej odpowiedzią
Ustawa z dnia 10 maja 1985 r. o szczeglnej odpowie
Dziesięciolecie IBPS
Zbiór resortowych aktów prawnych Ministerstwa Spra
Wybrane problemy międzynarodowe
Postępowanie w sprawach wynalazczych
Prawo budowlane
Prawo lokalowe; komentarz
Wynalazki pracownicze w prawie polskim
Przestępstwa przeciwko życiu i wolnym obyczajom
Ustawa karna skarbowa oraz przepisy wykonawcze
Reguły społecznej gry
Orzekanie i wykonywanie kary ograniczenia wolności
Przestpczo o charakterze chuligaskim modocianych
System wychowawczy zakładu poprawczego
Polski proces karny przed sądem powszechnym
Kodeks karny ; Kodeks postępowania karnego ; Kodek
1985
1985
1985
1985
1985
1985
1985
1985
1985
1985
1985
1985
1985
1985
1985
1985
1985
1985
1985
1985
1985
1985
1985
1985
1985
1985
1985
1985
1985
1985
1
2
1
1
1
1
1
1
1
1
2
1
1
1
3
1
1
1
1
1
1
1
1
1
1
4
1
2
1
1
1,00 zł
2,00 zł
1,00 zł
1,00 zł
1,00 zł
1,00 zł
1,00 zł
1,00 zł
1,00 zł
1,00 zł
2,00 zł
1,00 zł
1,00 zł
1,00 zł
3,00 zł
1,00 zł
1,00 zł
1,00 zł
1,00 zł
1,00 zł
1,00 zł
1,00 zł
1,00 zł
1,00 zł
1,00 zł
1,00 zł
1,00 zł
2,00 zł
1,00 zł
1,00 zł
357
358
359
360
361
362
363
364
365
366
367
368
369
370
371
372
373
374
375
376
377
378
379
380
381
382
383
384
385
386
602
603
604
605
606
607
608
609
610
611
612
613
614
615
616
617
618
620
621
622
624
625
626 - 627
628
629
630
631
633
634
636
Wengerek, Edmund
Pietrzykowski, Janusz (1914- )
Koncentracja materiału procesowego w postępowaniu
Dziedziczenie gospodarstw rolnych
Urząd Rady Ministrów
Poland
Poland
Bieniek, Gerard (1941- )
Sugocki, Leszek (1924- )
Marek, Andrzej (1940- )
Chrustowski, Tadeusz
Kaftal, Alfred
Majorowicz, Józef
Dmowski, Stanisław (1926- )
Janeczko, Edward
Kodeks karny wykonawczy oraz przepisy wykonawcze
Koszty sądowe i arbitrażowe oraz opłaty notarialne
Kodeks rodzinny i opiekuńczy
Prawo lokalowe
Kodeks karny wykonawczy
Kodeks postępowania karnego
Kodeks pracy oraz przepisy wykonawcze i związkowe
Kara grzywny samoistnej i jej wykonanie
Kradzież i paserstwo mienia prywatnego
Prawne, kryminologiczne aspekty łapówkarstwa
Przestępstwo ciągłe w polskim prawie karnym
Zmiany w regulacji stosunków prawnych w rolnictwie
Spadki
Majątek małżonków
Poland
Bieniek, Gerard (1941- )
Dobrowolska, Monika
Sugocki, Leszek (1924- )
Marek, Andrzej (1940- )
Wiśniewski, Andrzej
Ministerstwo Handlu Zagranicznego
Wiśniewski, Andrzej
Rozlerowa, Irena
Mączyński, Andrzej
Safjan, Marek (1949- )
Safjan, Marek (1949- )
Poland
Ustawa z dnia 20 lipca 1983 r. o systemie rad naro
Ubezpieczenie społeczne w razie choroby i macierzy
Kodeks pracy oraz przepisy wykonawcze i związkowe
Świadek w procesie sądowym
Kara grzywny samoistnej i jej wykonanie
Kradzież i paserstwo mienia prywatnego
Kodeks handlowy i inne przepisy o spółkach; Prawo
Informator służby zagranicznej
Kodeks handlowy i inne przepisy o spółkach; Prawo
Kodeks cywilny z przepisami wykonawczymi ; Kodeks
Rozwód w prawie prywatnym międzynarodowym
Instytucja rodzin zastępczych
Osamotnione dzieci
Urzędnik państwowy
Chorążkowa, Sabina
1985
1985
1985
1985
1985
1985
1985
1985
1985
1985
1985
1985
1985
1985
1985
1985
1985
1985
1985
1985
1985
1985
1985
1985
1986
1986
1986
1986
1986
1986
1
1
1
1
1
1
1
1
1
1
1
1
1
1
1
1
1
1
1
1
1
1
2
1
1
1
1
1
1
1
1,00 zł
1,00 zł
1,00 zł
1,00 zł
1,00 zł
1,00 zł
1,00 zł
1,00 zł
1,00 zł
1,00 zł
1,00 zł
1,00 zł
1,00 zł
1,00 zł
1,00 zł
1,00 zł
1,00 zł
1,00 zł
1,00 zł
1,00 zł
1,00 zł
1,00 zł
2,00 zł
1,00 zł
1,00 zł
1,00 zł
1,00 zł
1,00 zł
1,00 zł
1,00 zł
387
388
389
390
391
392
393
394
395
396
397
398
399
400
401
402
403
404
405
406
407
408
409
410
411
412
413
414
415
416
637
638
640
642
643 - 644
645
647
648 - 649
650
651
652 - 653
654
655
658
659
660
661
662
663
664
665
666
667
668
669
671 - 672
673
674
675
676
Biczycka-Majewska, Teresa
Wiśniewski, Andrzej
Wall, William Douglas
Bladowski, Bogdan (1928- )
Daniec, Roman
Ligięza Sławomir
Markiewicz, Jan
Ćwiakalski, Zbigniew
Prusak, Feliks (1939- )
Holyst, Brunon
Rek, Stefan
Jankowski, Zenon
Nowak, Tadeusz
Weralski, Marian (1916-1993)
Bierzanek, Remigiusz (1912-1993)
Kulesza, Witold
Hofmański, Bogdan
Borkowski, Janusz (1934- ). Red.
Poland
Prusak, Krystyna
Sobolewski, Zbigniew
Koczkow, W. W.
Michalski, Wojciech
Zedler, Feliks
Zedler, Feliks
Rek, Stefan
Prusak, Feliks (1939- )
Kochanowski, Janusz
Jankowski, Zenon
Wyrzykowski, Mirosław (1950- )
Zmiana treści umownego stosunku pracy
Omowa Wydawnicza
Wychowanie i zdrowie psychiczne
Przesłanki dopuszczalności rewizji cywilnej
Zamiany mieszkań
Prawa klienta zakładu usługowego
Ekspertyza sądowa
Nadzwyczajne złagodzenie kary w praktyce sądowej
Nadzór prokuratora nad postępowaniem przygotowawcz
Problemy współczesnej penitencjarystyki w Polsce
Sygnalizacja profilaktyczna w sprawach karnych
Amnestia
Dowód z dokumentu w polskim procesie karnym
Finanse publiczne i prawo finansowe
Prawo spółdzielcze w zarysie
Zniesławienie i zniewaga
Obliczanie okresów z art. 85 [paragraf] 1 i art. 6
Kodeks postępowania administracyjnego
Wykaz zespołów adwokackich i lista adwokatów w PRL
Bibliografia prawa karnego (materialnego, procesów
Samooskarżenie w świetle prawa karnego
Teoretyczne podstawy zapobiegannia przestępczości
Postępowanie z młodzieżą w świetle norm prawa karn
Sądy rodzinne
Sądy rodzinne
Sygnalizacja profilaktyczna w sprawach karnych
Nadzór prokuratora nad postępowaniem przygotowawcz
Subiektywne granice sprawstwa i odpowiedzialności
Amnestia
Sądownictwo administracyjne w Polskiej Rzeczypospo
1986
1986
1986
1986
1986
1986
1986
1986
1986
1986
1986
1986
1986
1986
1986
1986
1986
1986
1986
1986
1986
1986
1986
1986
1986
1986
1986
1986
1986
1986
1
1
1
1
2
1
1
2
1
1
2
1
1
1
1
1
1
1
1
1
1
1
1
1
1
2
1
1
1
1
1,00 zł
1,00 zł
1,00 zł
1,00 zł
2,00 zł
1,00 zł
1,00 zł
2,00 zł
1,00 zł
1,00 zł
2,00 zł
1,00 zł
1,00 zł
1,00 zł
1,00 zł
1,00 zł
1,00 zł
1,00 zł
1,00 zł
1,00 zł
1,00 zł
1,00 zł
1,00 zł
2,00 zł
2,00 zł
2,00 zł
1,00 zł
1,00 zł
1,00 zł
1,00 zł
417
418
419
420
421
422
423
424
425
426
427
428
429
430
431
432
433
434
435
436
437
438
439
440
441
442
443
444
445
446
679
680
681
682
685
686
687
688
689
690
691
692
693
694
695
696
698
702 - 703
704
705
706 - 707
708 - 709
710
711
713
714
715
716
717
719 - 721
Teresa, Bińczycka-Majewska
Surowiec, Stanisław
Szpunar, Adam (1913-2002)
Jankowski, Zenon
Ligięza, Sławomir
Bladowski, Bogdan (1928- )
Gola, Alfred
Pietrzykowski, Krzysztof
Brzozowski, Adam
Zedler, Feliks
Majer, Janina
Janeczko, Edward
Safjan, Marek (1949- )
Chrustowski, Tadeusz
Kosiński, Jerzy (1930- )
Pietrzykowski, Krzysztof
Łętowska, Ewa
Poland
Chorążkowa, Sabina
Andrejew, Igor (1915- )
Gontarz, Teresa
Safjan, Marek (1949- )
Jezierski, Stanisław
Jezierski, Stanisław
Piasecka, Maria Kazimiera. Oprać.
Piasecka, Maria Kazimiera. Oprać.
Ćwiąkalski, Zbigniew
Krzekotowska, Krystyna
Piasecka, Maria Kazimiera. Oprać.
Szymanowski, Teodor
Zmiana treści umownego stosunku pracy
Prawo wodne
Odpowiedzialność za szkody wyrządzone przez zwierz
Postępowanie karne przed sądem pierwszej instancji
Prawa klienta zakładu usługowego
Pożyczka, kredyt, użyczenie
Prawo lokalowe na co dzień
Zawarcie małżeństwa i przesłanki jego'ważności w p
Odpowiedzialnoscprzyjmującego zamówienie za wady d
Sądy rodzinne
Zostań kuratorem
Majątek małżonków
Osamotnione dzieci
Prawne, kryminologiczne aspekty łapówkarstwa
Prawomocność postanowień sądowych w postępowaniu w
Zawarcie małżeństwa i przesłanki jego ważności w p
Komentarz do ogólnych warunków umów konsumenckich
Bibliografia orzecznictwa i piśmiennictwa z zakres
Kodeks postępowania cywilnego
Kwalifikacja prawna czynu przestępnego
Emerytury i renty
Instytucja rodzin zastępczych
Nowe ustawodawstwo rolne
Nowe ustawodawstwo rolne
Kodeks karny oraz ważniejsze ustawy dodatkowe
Kodeks karny oraz ważniejsze ustawy dodatkowe
Nadzwyczajne złagodzenie kary w praktyce sądowej
Spółdzielcze prawo mieszkaniowe
Kodeks karny oraz ważniejsze ustawy dodatkowe
Wykonywanie kary pozbawienia wolności w świetle wy
1986
1986
1986
1986
1986
1986
1986
1986
1986
1986
1986
1986
1986
1986
1986
1986
1986
1987
1987
1987
1987
1987
1987
1987
1987
1987
1987
1987
1987
1987
1
1
1
1
1
1
1
1
1
1
1
1
1
1
1
1
1
2
1
1
2
2
1
1
1
1
1
1
1
3
1,00 zł
1,00 zł
1,00 zł
1,00 zł
1,00 zł
1,00 zł
1,00 zł
1,00 zł
1,00 zł
1,00 zł
1,00 zł
1,00 zł
1,00 zł
1,00 zł
1,00 zł
1,00 zł
1,00 zł
2,00 zł
1,00 zł
1,00 zł
2,00 zł
2,00 zł
2,00 zł
2,00 zł
1,00 zł
1,00 zł
1,00 zł
1,00 zł
1,00 zł
3,00 zł
447
448
449
450
451
452
453
454
455
456
457
458
459
460
461
462
463
464
465
466
467
468
469
470
471
472
473
474
475
476
722
723
724
725
726
727
728
729
730
733
734 - 736
737 - 739
740
741
742
743 - 744
745
746
747
748
749
750
751
752
753
754
755
756
757 - 758
759 - 760
Jankowski, Zenon
Andrejew, Igor (1915- )
Pochwicka, Maria
Dudziński, Andrzej
Warzocha, Edward
Radzimowski, Zdzisław
Radziszewski, Edward (1923- )
Oleszko, Aleksander (1943- )
Oleszko, Aleksander (1943- )
Zedler, Feliks
Poland
Trybulski, Zbigniew
Poland
Krzekotowska, Krystyna
Radzimowski, Zdzisław
Gontarz, Teresa
Bujkowa, Olga (1919-1999)
Madeyska, Janina
Oleszko, Aleksander (1943- )
Zedler, Feliks
Wiśniewski, Andrzej
Ławrynowicz, Janusz
Okólski, Józef
Sygit, Bogusław
Wiśniewski, Andrzej
Piasecka, Maria Kazimiera. Oprać.
Marcinkowski, Tadeusz (1917- )
Ministerstwo Sprawiedliwości
Poland
Jankowski, Zenon
Ustawa z dnia 17 lipca 1986 roku o szczeglónym pos
Kwalifikacja prawna czynu przestępnego
Podróże służbowe krajowe i zagraniczne
Kodeks drogowy
Co warto wiedzieć o egzekucji sądowej
Obowiązki uspołecznionych zakładów pracy w zakresi
Ustawa o ochronie i kształtowaniu środowiska
Ceny, inflacja a prawo
Ceny, inflacja a prawo
Postępowanie opiekuńczo-wychowawcze
Kodeks rodzinny i opiekuczy
Bibliografia prawa i postępowania cywilnego
Prawo o ruchu drogowym oraz przepisy wykonawcze (k'
Spółdzielcze prawo mieszkaniowe
Obowiązki uspołecznionych zakładów pracy w zakresi
Emerytury i renty
Ochrona obywatela w kodeksie postępowania administ
Uprawnienia kobiety pracującej
Ceny, inflacja a prawo
Postępowanie opiekuńczo-wychowawcze
Prawo wekslowe i czekowe oraz przepisy wykonawcze
Ubezpieczenia komunikacyjne
Model prawny obrotu związanego z handlem zagranicz
Nielegalny wyrób spirytusu
Prawo wekslowe i czekowe oraz przepisy wykonawcze
Kodeks karny oraz ważniejsze ustawy dodatkowe
Medycyna sądowa dla prawników
Realizacja przez Polskę Międzynarodowego paktu pr
Ustawa o wychowaniu w trzeźwości i przeciwdziałani
Ustawa z dnia 17 lipca 1986 roku o szczeglónym pos
1987
1987
1987
1987
1987
1987
1987
1987
1987
1987
1987
1987
1987
1987
1987
1987
1987
1987
1987
1987
1987
1987
1987
1987
1987
1987
1987
1987
1987
1987
1
1
1
1
1
1
1
1
1
1
3
3
1
1
1
2
1
1
1
1
1
1
1
1
1
1
1
1
2
2
1,00 zł
1,00 zł
1,00 zł
1,00 zł
1,00 zł
1,00 zł
1,00 zł
2,00 zł
2,00 zł
1,00 zł
3,00 zł
3,00 zł
1,00 zł
1,00 zł
1,00 zł
2,00 zł
1,00 zł
1,00 zł
1,00 zł
1,00 zł
1,00 zł
1,00 zł
1,00 zł
1,00 zł
1,00 zł
1,00 zł
1,00 zł
1,00 zł
2,00 zł
2,00 zł
477
478
479
480
481
482
483
484
485
486
487
488
489
490
491
492
493
494
495
496
497
498
499
500
501
502
503
504
505
506
761
762 - 763
764 - 766
767
768 - 769
670
712
732
770 - 771
773 - 774
775
776
777
778 - 779
780
781
783
785
786 - 787
790
791
792
793 - 794
795
796
797
798
800
801 - 803
804
Staszków, Michał (1929-1992)
Janowicz, Zbigniew (1921- )
Berutowicz, Włodzimierz (1914-2004)
Ferenc, Adam
Kallaus, Zbigniew
Gaberle, Andrzej (1937- )
Córa, Stanisław
Mączyński, Andrzej
Safjan, Marek (1949- )
Rek, Stefan
Szymanowski, Teodor
Ćwiąkalski, Zbigniew
Sobolewski, Zbigniew
Poland
Zagórna, Teresa
Warzocha, Edward
Niezbecka, Elżbieta
Lis, Elżbieta
Majer, Janina
Niezbecka, Elżbieta
Poland
Ławrynowicz, Janusz
Janowicz, Zbigniew (1921- )
Marek, Andrzej (1940- )
Klimek, Józef (1930- )
Gaberle, Andrzej (1937- )
Piasecka, Maria Kazimiera. Oprać.
Kleniewska, Irena Oprać.
Poland
Poland
Racjonalizator w zakadzie pracy
Kodeks postępowania administracyjnego
Organizacja ochrony prawnej w PRL [Polskiej Rzeczy
Rewizja strony w postępowaniu karnym
Przestępne nadużycie władzy
Wypadki drogowe
Zwrot sprawy do uzupenienia postępowania przygotow
Rozwód w prawie prywatnym międzynarodowym
Instytucja rodzin zastępczych
Sygnalizacja profilaktyczna w sprawach karnych
Wykonywanie kary pozbawienia wolności w świetle wy
Nadzwyczajne złagodzenie kary w praktyce sądowej
Samooskarżenie w świetle prawa karnego
Prawo o ustroju sądów powszechnych oraz ważniejsze
Jak jest za tym murem?
Co warto wiedzieć o egzekucji sądowej
Zapis gospodarstwa rolnego
Świadczenia przysługujące w związku z urodzeniem i
Zostań kuratorem
Zapis gospodarstwa rolnego
Prawo o ustroju sądów powszechnych oraz ważniejsze
Ubezpieczenia komunikacyjne
Kodeks postępowania administracyjnego
Polskie prawo wykroczeń
Kodeks a przestępstwa drogowe
Wypadki drogowe
Kodeks karny oraz ważniejsze ustawy dodatkowe
40 lat wymiaru sprawiedliwocśi PRL
Kodeks karny
Kodeks postępowania karnego
1987
1987
1987
1987
1987
1986
1987
1983
1987
1988
1988
1988
1988
1988
1988
1988
1988
1988
1988
1988
1988
1988
1988
1988
1988
1988
1988
1988
1988
1988
1
2
3
1
2
1
1
1
2
2
1
1
1
2
1
1
1
1
2
1
1
1
2
1
1
1
1
1
3
1
1,00 zł
2,00 zł
3,00 zł
1,00 zł
2,00 zł
1,00 zł
1,00 zł
1,00 zł
2,00 zł
2,00 zł
1,00 zł
1,00 zł
1,00 zł
2,00 zł
1,00 zł
1,00 zł
1,00 zł
1,00 zł
2,00 zł
1,00 zł
1,00 zł
1,00 zł
2,00 zł
1,00 zł
1,00 zł
1,00 zł
1,00 zł
1,00 zł
3,00 zł
1,00 zł
507
508
509
510
511
512
513
514
515
516
517
518
519
520
521
522
523
524
525
526
527
528
529
530
531
532
533
534
535
536
805
806
807
809
813
814 - 816
817 - 818
821
824
826
822
823
825
828
829
830
831 - 832
833
834
835 - 843
844
846 - 847
848
849
850
851
852
853
854
855
Daniec, Roman
Drexler, Zbigniew
Daniec, Roman
Krzekotowska, Krystyna
Warzocha, Edward
Poland
Poland
Jankowski, Zenon
Policzkiewicz, Jan
Kamiński, Jerzy
Kleniewska, Irena Oprać.
Janowicz, Zbigniew (1921- )
Berner, Krystyna
Ministerstwo Sprawiedliwości
Ministerstwo Sprawiedliwości
Gostyński, Zbigniew
Poland
Jankowski, Michał
Kram, Andrzej
Poland
Kram, Andrzej
Sąd Najwyższy
Sąd Najwyższy
Sąd Najwyższy
Sąd Najwyższy
Sąd Najwyższy
Sąd Najwyższy
Sąd Najwyższy
Sąd Najwyższy
Sąd Najwyższy
Podnajem mieszkań
Kodeks drogowy
Postępowanie i wzory pism w sprawach mieszkań spół
Mieszkanie a uprawnienia domowników
Co warto wiedzieć o egzekucji sądowej
Kodeks karny
Kodeks postępowania karnego
Postępowanie karne przed sądem pierwszej instancji
Wzory pism procesowych w sprawach cywilnych
Resocjalizacja skazanych
40 lat wymiaru sprawiedliwocśi PRL
Postępowanie administracyjne i postępowanie przed
Poradnik kuratora nieletnich
Zbiór resortowych aktów prawnych Ministerstwa Spra
Profilaktyka funkcją Wymiaru Sprawiedliwości
Bibliografia prawa karnego materialnego, prawa kar
Postępowania szczególne w sprawach o przestępstwa
Wyłącznie sędziego w polskiej procedurze karnej
Sądowy wymiar kary za przestępstwa objęte działani
Kodeks postępowania cywilnego. Kodeks rodzinny i o
Sądowy wymiar kary za przestępstwa objęte działani
Kartoteka orzecznictwa Sądu Najwyższego w sprawach
Kartoteka orzeczeń Sądu Najwyższego w sprawach cyw
Kartoteka orzecznictwa Sądu Najwyższego w sprawach
Kartoteka orzecznictwa Sądu Najwyższego XI i XII
Kartoteka orzeczeń Sądu Najwyższego z zakresu praw
Kartoteka orzeczeń Sądu Najwyższego z zakresu praw
Kartoteka orzeczeń Sądu Najwyższego w sprawach prą
Kartoteka orzeczeń Sądu Najwyższego w sprawach cyw
Kartoteka orzeczeń Sądu Najwyższego w sprawach rod
1988
1989
1989
1989
1989
1989
1989
1989
1989
1989
1989
1989
1989
1989
1989
1989
1989
1989
1989
1989
1989
1989
1989
1989
1989
1989
1989
1989
1989
1989
1
1
1
1
1
3
2
1
1
1
1
1
1
1
1
1
2
1
1
9
1
2
1
1
1
1
1
1
1
1
1,00 zł
1,00 zł
1,00 zł
1,00 zł
1,00 zł
3,00 zł
2,00 zł
1,00 zł
1,00 zł
1,00 zł
1,00 zł
1,00 zł
1,00 zł
1,00 zł
1,00 zł
1,00 zł
2,00 zł
1,00 zł
1,00 zł
9,00 zł
1,00 zł
2,00 zł
1,00 zł
1,00 zł
1,00 zł
1,00 zł
1,00 zł
1,00 zł
1,00 zł
1,00 zł
537
538
539
540
541
542
543
544
545
546
547
548
549
550
551
552
553
554
555
556
557
558
559
560
561
562
563
564
565
566
856
857
858
859
860
861
862
863
864
866
867
868
869
870 - 872
873
874
875 - 877
878
880
881
882 - 883
884
885 - 886
887 - 888
891
892
897 - 898
901
902
903
Sąd Najwyższy
Sąd Najwyższy
Sąd Najwyższy
Sąd Najwyższy
Sąd Najwyższy
Sąd Najwyższy
Poland
Poland
Poland
Berutowicz, Włodzimierz (1914-2004)
Filipiak, Teresa Anna
Poland
Piasecka, Maria Kazimiera. Oprać.
Poland
Poland
Poland
Poland
Poland
Zagórna, Teresa
Bafia, Jerzy (1926-1991)
Poland
Hołyst, Brunon
Prusak, Krystyna
Dobrowolska, Monika
Poland
Drexler, Zbigniew
Orłowska, Janina
Poland
Poland
Borkowski, Janusz (1934- )
Kartoteka orzeczeń Sądu Najwyższego w sprawach rod
Kartoteka orzeczeń Sądu Najwyższego w sprawach ube
Kartoteka orzeczeń Sądu Najwyższego w sprawach cyw
Kartoteka orzeczeń Sądu Najwyższego w sprawach ube
Kartoteka orzecznictwa Sądu Najwyższego w sprawach
Kartoteka orzecznictwa Sądu Najwyższego XI i XII
Podstawy wiedzy o prawie
Prawo o ustroju sądów powszechnych oraz ważniejsze
Vademecum komornika
Organizacja ochrony prawnej w PRL [Polskiej Rzeczy
Darowizna własnościowego spółdzielczego prawa do 1
Kartoteka Sądu Najwyższego w sprawach karnych
Kodeks karny oraz ważniejsze ustawy dodatkowe
Regulamin wykonywania kary pozbawienia wolności i
Kodeks postępowania karnego
Kodeks postępowania karnego
Kodeks karny
Kodeks postępowania karnego
Jak jest za tym murem?
Zmiany w prawie karnym
Problemy prawa karnego
Problematyka przestępczości na VII Kongresie Naród
Bibliografia prawa karnego (materialnego, procesów
Świadek w procesie sądowym
Prawo o ruchu drogowym oraz przepisy wykonawcze (k
Kodeks drogowy
Nowe Prawo o stowarzyszeniach z objaśnieniami
Prawo lokalowe i ważniejsze przepisy wykonawcze
Prawo lokalowe i ważniejsze przepisy wykonawcze
Kodeks postępowania administracyjnego
1989
1989
1989
1989
1989
1989
1989
1989
1989
1987
1989
1989
1989
1989
1989
1989
1989
1989
1989
1989
1989
1989
1989
1989
1989
1989
1989
1990
1990
1990
1
1
1
1
1
1
1
1
1
1
1
1
1
3
1
1
3
1
1
1
2
1
2
2
1
1
2
1
1
1
1,00 zł
1,00 zł
1,00 zł
1,00 zł
1,00 zł
1,00 zł
1,00 zł
1,00 zł
1,00 zł
1,00 zł
1,00 zł
1,00 zł
1,00 zł
3,00 zł
1,00 zł
1,00 zł
3,00 zł
1,00 zł
1,00 zł
1,00 zł
2,00 zł
1,00 zł
2,00 zł
2,00 zł
1,00 zł
1,00 zł
2,00 zł
1,00 zł
1,00 zł
1,00 zł
567
568
569
570
571
572
573
574
575
576
577
578
579
580
581
582
583
584
585
586
587
588
589
590
591
592
593
594
595
596
904 - 905
906 - 909
910
911
913
914
915 - 917
918 - 919
920
921
923
924 - 925
926
927 - 929
941 - 942
943
944
945
946
947
948 - 949
950
951
991
992
993 - 994
997 - 998
1001
1002
1003 - 1004
Oleszko, Aleksander (1943- )
Krzekotowska, Krystyna. Red.
Krzekotowska, Krystyna. Red.
Poland
Spółdzielczy Instytut Badawczy
(Warsaw,
Poland)
Kram,
Andrzej
Uniwersytet Jagielloński Katedra
Postępowania Karn
Poland
Daniec, Roman
Kolasiński, Krzysztof
Wiśniewski, Andrzej
Skrętowicz, Edward (1937- )
Górski, Władysław (1917- )
Cieślak, Marian (1921- )
Trybulski, Zbigniew
Szmyt, Przemysław
Poland
Gurgul, Stanisław
Gurgul, Stanisław
Drexler, Zbigniew
Poland
Hołyst, Brunon
Górski, Władysław (1917- )
Poland
Norek, Emil A.
Poland
Poland
Poland
Poland
Uniwersytet Śląski w Katowicach
Umowy prawa spadkowego oraz mające zastosowanie w
Syntezy z prac cywilno-prawnych i orzecznictwo za
Syntezy z prac cywilno-prawnych i orzecznictwo za
Współdziałanie Sądów Rodzinnych z poradnictwem rod
Przegląd orzecznictwa i piśmiennictwa z zakresu pr
Sądowy wymiar kary za przestępstwa objęte działani
Konstytucyjne podstawy wymiaru sprawiedliwości w s
Regulamin wykonywania kary pozbawienia wolności i
Zamiany mieszkań
Rozpoznawanie spraw z zakresu ubezpieczeń społeczn
Kodeks handlowy
Wyrok sądu karnego pierwszej instancji
Prawo przewozowe
Pisma procesowe w postpęowaniu karnym
Bibliografia prawa i postępowania cywilnego
Deliktowa odpowiedzialność producenta za wprowadzę
Rozwój penitencjarnistyki w PRL
Ustawa o działalności gospodarczej
Wspólne przedsięwzięcia gospodarcze z podmiotami z
Kodeks drogowy
Kodeks postępowania karnego
Problematyka przestępczości na VII Kongresie Naród
Prawo przewozowe
Materiały VIII Krajowej Konferencji Sekcji Psychia
Kodeks handlowy
Wzory umów i innych aktów z zakresu obowiązywania
Współczesne tendencje rozwoju procedury cywilnej w
Kodeks cywilny
Kodeks postępowania cywilnego
Problemy prawa karnego
1990
1990
1990
1988
1990
1990
1990
1990
1990
1990
1990
1990
1990
1990
1990
1990
1990
1990
1990
1990
1990
1990
1990
1990
1990
1990
1990
1991
1991
1991
2
4
1
1
1
1
3
2
1
1
1
2
1
3
2
1
1
1
1
1
2
1
1
1
1
2
2
1
1
2
2,00 zł
5,00 zł
5,00 zł
1,00 zł
1,00 zł
1,00 zł
3,00 zł
2,00 zł
1,00 zł
1,00 zł
1,00 zł
2,00 zł
1,00 zł
3,00 zł
2,00 zł
1,00 zł
1,00 zł
1,00 zł
1,00 zł
1,00 zł
2,00 zł
1,00 zł
1,00 zł
1,00 zł
1,00 zł
2,00 zł
2,00 zł
1,00 zł
1,00 zł
2,00 zł
597
598
599
600
601
602
603
604
605
606
607
608
609
610
611
612
613
614
615
616
617
618
619
620
621
622
623
624
625
626
1005
1006
1011
1015
1012 - 1013
1014
1035
1044
1045
1048
1049
1050
1124
1125
1126 - 1127
1128
1161
1162
1163
1165
1167 - 1170
1174
1177
1178
1179
1183
1184
1187
1188
1189
Lemka, Grzegorz
Krzekotowska, Krystyna. Red.
Poland
Bystrzycka, Zofia
Poland
Ministerstwo Sprawiedliwości
Poland
Poland
Poland
Borkowski, Janusz (1934- )
Poland
Gurgul, Stanisław
Majorowicz, Józef
Bieniek, Gerard (1941- )
Grajewski, Krzysztof
Pochwicki, Ignacy. Oprać.
Czarnecki, Henryk
Poland
Poland
Polska Akademia Nauk Instytut
Prawnych Zakład
Krym(1914- ). Przedm.
Pietrzykowski,
Janusz
Poland
Krajewski, Jan
Policzkiewicz, Jan
Dobrzański, Bronisław
Wiśniewski, Andrzej
Janowicz, Zbigniew (1921- )
Poland
Ereciński, Tadeusz
Skrętowicz, Edward (1937- )
Kodeks postępowania cywilnego
Syntezy z prac cywilno-prawnych i orzecznictwo za
Kodeks karny
Prawo o notariacie
Kodeks karny
Przegląd penitencjarny i kryminologiczny
Kodeks karny
Dziennik Urzędowy Ministerstwa Finansów
Dziennik Urzędowy Ministra Pracy i Polityki Socjal
Kodeks postępowania administracyjnego
Kodeks postępowania karnego
Prawo upadłościowe
Zmiany w regulacji stosunków prawnych w rolnictwie
Kodeks pracy oraz przepisy wykonawcze i związkowe
Kodeks wykroczeń ; Kodeks postępowania w sprawach
Zbiór przepisów finansowych i gospodarczych dla je
Informator o dokumentach sądowo-więziennych z lat
Kodeks postępowania cywilnego
Kodeks cywilny ze skorowidzem ; Kodeks postępowani
Archiwum kryminologii
Kodeks cywilny ze skorowidzem rzeczowym
Kodeks cywilny ze skorowidzem
Kodeks postępowania cywilnego
Czynności sądowe w sprawach cywilnych
Kodeks postępowania cywilnego
Kodeks handlowy
Kodeks postępowania administracyjnego
Podstawy wiedzy o prawie
Kodeks postępowania cywilnego z komentarzem
Wyrok sądu karnego pierwszej instancji
1991
1991
1991
1991
1991
1991
1991
1991
1991
1991
1991
1992
1992
1992
1992
1992
1994
1994
1994
1994
1994
1985
1985
1985
1985
1989
1988
1989
1990
1990
1
1
1
1
2
1
1
1
1
1
1
1
1
1
2
1
1
1
1
1
4
1
1
1
1
1
1
1
1
1
1,00 zł
1,00 zł
1,00 zł
1,00 zł
2,00 zł
1,00 zł
1,00 zł
1,00 zł
1,00 zł
1,00 zł
1,00 zł
1,00 zł
1,00 zł
1,00 zł
2,00 zł
1,00 zł
1,00 zł
1,00 zł
1,00 zł
1,00 zł
4,00 zł
1,00 zł
1,00 zł
1,00 zł
1,00 zł
1,00 zł
1,00 zł
1,00 zł
1,00 zł
1,00 zł
627
628
629
630
631
632
633
634
635
636
637
638
639
640
641
642
643
644
645
646
647
648
649
650
651
652
653
654
655
656
1190
1191
1192
1193
1199
1202
1219
1220
1221
1224
1228
1238
1241
1242
1245
1246
1251
1257
1272
1273
1278
1287
1307
1319
1335
1402
1404
1406
1410
1407
Bafia, Jerzy (1926-1991)
Winiarz, Janusz. Red.
Bieniek, Gerard (1941- )
Winiarz, Janusz. Red.
Piasecki, Kazimierz (1930- ). Red.
Jachman, Roman
Białek, Irena.
Ministerstwo Sprawiedliwości
Doda, Zbigniew
Gardocki, Lech
Poland
Marek, Andrzej (1940- )
Wydział Statystyki Ministerstwa
Sprawiedliwości
Jankowski,
Janusz
Pietrzykowski, Krzysztof. Red.
Romer, Maria Teresa
Korzeniowski, Tadeusz
Tenerowicz, Anna. Red.
Poland Kodeks pracy
Poland
Poland
Chrzanowska, Ewa
Bafia, Jerzy
Czerniewska, Hanna. Red.
Suski, Paweł
Skrętowicz, Edward (1937- )
Prusak, Feliks (1939- )
Ferenc, Adam
Siwik, Zygfryd
Kochanowski, Janusz
Kodeks karny
Kodeks cywilny z komentarzem
Kodeks pracy oraz przepisy wykonawcze i związkowe
Kodeks cywilny z komentarzem
Kodeks postępowania cywilnego
Prawo o ustroju sądw powszechnych
Problematyka prawna i techniczna wypadków drogowyc
Statystyka sądowa i penitencjarna
Kasacja w postępowaniu karnym
Informacja statystyczna o ewidencji spraw i orzecz
Kodeks cywilny ze skorowidzem
Okoliczności wyłączające bezprawność czynu
Statystyka sądowa
Ustawa o komornikach sądowych i egzekucji
Kodeks cywilny
Prawo pracy
Prawo o ustroju sądów powszechnych
Kodeks pracy wraz z indeksem rzeczowym
Kodeks pracy
Zaopatrzenie emerytalne pracowników i ich rodzin o
nowe zasady wypłacania "trzynastek" w sferze budże
Kalendarz podatnika 2000 r.
Ustawy karne PRL
Kodeks cywilny
Kodeks handlowy i przepisy związkowe
Wyrok sądu karnego pierwszej instancji
Nadzór prokuratora nad postępowaniem przygotowawcz
Rewizja strony w postępowaniu karnym
Ustawa karna skarbowa, część ogólna
Subiektywne granice sprawstwa i odpowiedzialności
1990
1990
1990
1990
1997
1998
1996
1996
1996
1998
1999
2000
2000
2000
2000
2000
2000
2000
1996
1996
1999
1999
1994
1993
1995
1990
1989
1989
1992
1989
1
1
1
1
1
1
1
1
1
1
1
1
1
1
1
1
1
1
1
1
1
1
1
1
1
1
1
1
1
1
1,00 zł
1,00 zł
1,00 zł
1,00 zł
1,00 zł
1,00 zł
1,00 zł
1,00 zł
1,00 zł
1,00 zł
1,00 zł
1,00 zł
1,00 zł
1,00 zł
1,00 zł
1,00 zł
1,00 zł
1,00 zł
1,00 zł
1,00 zł
1,00 zł
1,00 zł
1,00 zł
1,00 zł
1,00 zł
1,00 zł
1,00 zł
1,00 zł
1,00 zł
1,00 zł
657
658
659
660
661
662
663
664
665
666
667
668
669
670
671
672
673
674
675
676
677
678
679
680
681
682
683
684
685
686
1408
1409
1415
1416
1417
1421
1464
1465
1471
1473
1475
1476
1477
1482
1494
1497
1498
1501
1513
1518
1520
1524
1525
1564
1573
1627
1628
1684
1685
1699
Chruściel, Tadeusz Lesław
Szabo, Denis
Korecka, Gertruda
Ferenc, Adam
Lew-Starowicz, Zbigniew (1943- )
Kalinowski, Przemysław
Gudowski, Jacek
Oleszko, Aleksander (1943- )
Bafia, Jerzy (1926-1991)
Poland
Poland
Zedler, Feliks
Poland
Poland
Poland
Piasecki, Kazimierz (1930- ) Red.
Piasecki, Kazimierz (1930- ). Red.
Frąckowiak, Józef. Współaut.
Haak, Henryk
Brol, Jan
Piasecka, Maria Kazimiera. Oprać.
Gudowski, Jacek
Wiśniewski, Andrzej
Poland
Sojka, Tadeusz. Oprać.
Poland
Zagórna, Teresa
Poland
Andrzejewski, Marek
Poland
Zapobieganie narkomanii w świetle polskiego prawa
Kryminologia i polityka kryminalna
Polska bibliografia penitencjarna rok 1993
Rewizja strony w postępowaniu karnym
Seksuologia sądowa
Jak odwoływać się od wyroku sądu karnego
Kodeks rodzinny i opiekuńczy
Księgi wieczyste, hipoteka
Kodeks drogowy
Prawo cywilne
Kodeks postępowania administracyjnego
Prawo upadłościowe w zarysie
Kodeks postępowania administracyjnego
Nowe prawodawstwo i przepisy wykonawcze
Kodeks cywilny ze skorowidzem. Kodeks postępowania
Kodeks postępowania cywilnego
Kodeks postępowania cywilnego
Kodeks handlowy
Kodeks rodzinny i opiekuńczy
Koszty sądowe w sprawach cywilnych
Kodeks karny oraz ważniejsze ustawy dodatkowe
Kodeks postępowania cywilnego
Kodeks handlowy
Regulamin wykonywania kary pozbawienia wolności i
Kodeks pracy
Kodeks postępowania karnego
Jak jest za tym murem?
kodeks postępowania administracyjnego
Fundusz alimentacyjny
Kodeks cywilny ze skorowidzem ; Kodeks postępowani
1989
1989
1996
1989
1989
1989
1998
1996
1989
1997
1990
1992
1990
1991
1996
1997
1997
1988
1995
1994
1987
1993
1990
1990
1995
1988
1989
1993
1995
1997
1
1
1
1
1
1
1
1
1
1
1
1
1
1
1
1
1
1
1
1
1
1
1
1
1
1
1
1
1
1
1,00 zł
1,00 zł
1,00 zł
1,00 zł
1,00 zł
1,00 zł
1,00 zł
1,00 zł
1,00 zł
1,00 zł
1,00 zł
1,00 zł
1,00 zł
1,00 zł
1,00 zł
1,00 zł
1,00 zł
1,00 zł
1,00 zł
1,00 zł
1,00 zł
1,00 zł
1,00 zł
1,00 zł
1,00 zł
1,00 zł
1,00 zł
1,00 zł
1,00 zł
1,00 zł
687
688
689
690
691
692
693
694
695
696
697
698
699
700
701
702
703
704
705
706
707
708
709
710
711
712
713
714
715
716
1700
1704
1705
1762
1776
1778
1874
1875
1878
1879
1880
1885
1889
1890
1892
1893
1898
1900
1917
1957
1972
845
1180
1186
1198
1216
1255
1284
1288
1296
Poland
Borsuk-Zawadzka, Danuta
Gwiazdomorski, Jan (1899-1977).
Piasecki, Kazimierz {1930- ). Red.
Poland
Poland
Poland
Szczurek, Zbigniew
Poland
Glasner, Artur
Poland
Poland
Jachman, Roman
Korzeniowski, Tadeusz
Poland
Sojka, Tadeusz
Poland
Cendrowski, Jerzy
Poland
Poland
Poland
Kodeks cywilny ze skorowidzem
Kodeks postępowania cywilnego
Prawo spadkowe w zarysie
Kodeks postępowania cywilnego
Kodeks postępowania cywilnego ze skorowidzem
Kodeks cywilny ze skorowidzem ; Kodeks postępowani
Koszty i opłaty sądowe, adwokackie, notarialne, sk
Kodeks postępowania cywilnego, postępowanie zabezp
Kodeks cywilny ; Kodeks postępowania cywilnego ; K
Prawo wekslowe i czekowe
Koszty i opłaty sądowe, adwokackie, notarialne, sk
Kodeks cywilny ze skorowidzem ; Kodeks postępowani
Prawo o ustroju sądw powszechnych
Prawo o ustroju sądów powszechnych
Nowy kodeks pracy
Kodeks pracy
Kodeks cywilny ze skorowidzem ; Kodeks postępowani
Prawo o zamówieniach publicznych
Kodeks postępowania cywilnego
Kodeks cywilny ze skorowidzem ; Kodeks postępowani
Ustrój sądów powszechnych
Słownik rosyjsko-polski
Metodyka pracy sedziego w sprawach cywilnych
Podstawy wiedzy prawnej
Komentarz do ustawy o księgach wieczystych i hipotece
Materiał roboczy. Konferencja sędziów polskich.
Rozliczenia majątkowe małżonków
Lista płac jako podstawa ewidencji wypełniania dok. ZUS
Instrukcja kasowa
Instrukcja ochrony wartości pieniężnych
1999
1991
1985
1997
1998
1994
1997
1994
1999
1992
1997
1994
1998
2000
1996
1995
1996
1995
2001
1996
1994
1949
1987
1989
1996
1999
2000
1999
1999
2000
1
1
1
1
1
1
1
1
1
1
1
1
1
1
1
1
1
1
1
1
1
1
1
1
1
1
1
1
1
1
1,00 zł
1,00 zł
1,00 zł
1,00 zł
1,00 zł
1,00 zł
1,00 zł
1,00 zł
1,00 zł
1,00 zł
1,00 zł
1,00 zł
1,00 zł
1,00 zł
1,00 zł
1,00 zł
1,00 zł
1,00 zł
1,00 zł
1,00 zł
1,00 zł
1,00 zł
1,00 zł
1,00 zł
3,00 zł
2,00 zł
1,00 zł
1,00 zł
1,00 zł
1,00 zł
717
718
719
720
721
722
723
724
725
726
727
728
729
730
731
732
733
734
735
736
737
738
739
740
741
742
743
744
745
746
1297
1298
1484
1489
1490
1503
1565
1582
1622
1688
1707
1758
1780
1785
1861
1902
1903
1905
1906
1929
1974
1977
1987
1993
1995
1997
1998
1999
2000
2011
Instrukcja inwentaryzacyjna
Instrukcja obiegu i kontroli dokumentów
Podstawy europejskiego prawa wspólnotowego
Ustawa o zwalczaniu nieuczciwej konkurencji
Nieruchomości
Komentarz do KC. Księga I: część ogólna
NKK - zeszyt 28
Statystyka sądowa
KK, KPK, KKW
Komentarz do ustawy o księgach wieczystych i hipotece
Komentarz do KC. Księga I: część ogólna
Konstytucja RP
O uznanie za nieważne orzeczeń wyd. wobec osób
represjonowanych
Kodeks
wykroczeń
KK, KPK, KKW
Ustawa o ochronie zdrowia psychicznego
KKW - komentarze
Standardy prawne Rady Europy - tom II: Prawo cywilne
Standardy prawne Rady Europy - tom III: Teksty i
komentarze
NKK.
KKW - zeszyt nr 10
Poland
Koszty i opłaty sądowe, adwokackie, notarialne, sk
Ministerstwo Sprawiedliwości.
Regulamin wewnętrznego urzędowania sądów powszechn
Departament Kadr i S
NKK. KKS - zeszyt nr 25
Sztander, Wanda
Poza kontrolą
Poland
Koszty i opłaty sądowe, adwokackie, notarialne, sk
Poland
Kodeks postępowania cywilnego
Wiśniewski, Andrzej Władysław (1950-) Kodeks spółek handlowych z przepisami okołokodekso
Poland
Kodeks cywilny ; Kodeks postępowania cywilnego ; K
Grajewski, Krzysztof
Kodeks wykroczeń ; Kodeks postępowania w sprawach
karnych
KKW
- komentarze
1992
1992
1995
1994
1999
1998
2000
1988
1997
1996
1999
1997
1994
1998
1997
1995
1998
1995
1997
1998
1997
1999
1999
2001
1997
2000
2001
1999
1992
1998
1
1
1
1
1
1
1
1
1
1
1
1
1
1
1
1
1
1
1
1
1
1
1
1
1
1
1
1
1
1
1,00 zł
1,00 zł
1,00 zł
1,00 zł
1,00 zł
1,00 zł
1,00 zł
1,00 zł
1,00 zł
1,00 zł
1,00 zł
1,00 zł
1,00 zł
1,00 zł
1,00 zł
1,00 zł
1,00 zł
1,00 zł
1,00 zł
1,00 zł
1,00 zł
1,00 zł
1,00 zł
1,00 zł
1,00 zł
1,00 zł
1,00 zł
1,00 zł
1,00 zł
1,00 zł
747
748
749
750
751
752
753
754
755
756
757
758
759
760
761
762
763
764
765
766
767
768
769
770
771
772
773
774
775
776
2015
2016
2039
2042 - 2043
2044
2047
2050
2051
2052
2054
2057
2060
2073
2082
2088
2093
2109
2110
2138 - 2139
2150
2160
2162
2163 - 2165
2166 - 2168
2169
2171
2181 - 2182
2186
2187 - 2190
2221 - 2222
Poland
Poland
PWN
Kodeks karny ; Kodeks postępowania karnego ; Kodeks
wykroczeń
Kodeks
cywilny ; Kodeks postępowania cywilnego
Kryminologia
Roczny biuletyn stat. przestępcz. oraz wyniki pracy policji
z prok. -cywilny z komentarzem
Winiarz, Janusz. Red.
Kodeks
Dólling, Dieter. Red.
Relacje o przestępstwach i procesach karnych w pra
KK, KPK, KKW
Wyd. Prawnicze W-wa 1997
Kodeks karny komentarz tom I i II
Odpowiedzialność za przestępstwa i wykroczenia skarbowe
Polska bibliografia penitencjarna rok 1999
KK, KPK, KKW
Kurator sądowy w postępowaniu karnym
KK - komentarz tom I i II
Poland
Ustrój sądów powszechnych
Kodeks wykroczeń
OSN. Prawo karne
Porzecka, Barbara. Red.
Kodeks pracy wraz z indeksem rzeczowym
Poland
Kodeks celny wraz z indeksem rzeczowym
Daszkiewicz, Krystyna
Kodeks karny z 1997 roku
Materiały z konf. 4-6.12.2000 Konstancin Jeziorna k. Wwy Prawa kobietbudżetowa - zmiany
Rachunkowość
Poland
Kodeks cywilny
Poland
Kodeks pracy
Poland
Kodeks pracy
Fijałkowski, Tadeusz (prawnik). Oprać. Kodeks pracy
Świątkowski, Andrzej (1944- )
Indywidualne prawo pracy
Poland
Kodeks cywilny
Poradnik sfery budżetowej 2002 rok
Poland
Kodeks cywilny
Porzecka, Barbara
Kodeks cywilny
1996
1999
1986
1993
1989
1999
1998
1997
1996
2001
1997
1999
1987
1996
1999
1993
2001
2001
2001
2001
2002
2002
2002
2002
2002
2002
2002
2002
2002
2003
1
1
1
2
1
1
1
1
1
1
1
1
1
1
1
1
1
1
2
1
1
1
3
3
1
1
2
1
4
2
1,00 zł
1,00 zł
1,00 zł
1,00 zł
1,00 zł
1,00 zł
1,00 zł
1,00 zł
1,00 zł
1,00 zł
1,00 zł
1,00 zł
1,00 zł
1,00 zł
1,00 zł
1,00 zł
1,00 zł
1,00 zł
2,00 zł
1,00 zł
1,00 zł
1,00 zł
3,00 zł
3,00 zł
1,00 zł
1,00 zł
2,00 zł
1,00 zł
4,00 zł
2,00 zł
777
778
779
780
781
782
783
784
785
786
787
788
789
790
791
792
793
794
795
796
797
2223
2226 - 2231
2243
2256
2281
2314
2323 - 2325
2337
2338
2379 - 2382
2383
2386 - 2388
2396
2400
2407
2410 - 2411
2434
2436
2440
2441
2638
Porzecka, Barbara
Bojarska, Katarzyna
Ratusińska, Izabela Red.
Romer, Maria Teresa
Chałas, Jarosław
Porzecka, Barbara. Red.
Ereciński, Tadeusz (1946- )
Porzecka, Barbara. Red.
Ereciński, Tadeusz (1946- )
Wojciechowski, Janusz (1954- )
Zieliński, Andrzej (1939- ).
Bodio, Joanna.
Porzecka, Barbara. Red.
Porzecka, Barbara. Red.
Janusz Strzępka
Ratusińska, Izabela
Poland
Winiarz, Jan (1923-1994)
Łomża, dnia 28.08.2008r.
Kodeks karny
Kodeks karny
Kodeks karny
Kodeks pracy z przepisami wykonawczymi
Wzorcowe zarządzanie w sprawie zasad rachunkowości
Prawo zamówień publicznych w budownictwie z
komentarzem
Kodeks cywilny 2005
Kodeks cywilny
Kodeks cywilny
Kodeks cywilny
Kodeks cywilny
Kodeks wykroczeń
Kodeks postępowania cywilnego
Kodeks postępowania cywilnego
Kodeks cywilny
Kodeks cywilny
Prawo umów budowlanych
Kodeks cywilny
Kodeks postępowania cywilnego
Prawo rodzinne
Przesłuchanie i diagnoza małego dziecka
2003
2003
2003
2004
2004
2004
2005
2005
2005
2005
2005
2005
2005
2005
2005
2005
2001
2006
2006
2006
2002
1
6
1
1
1
1
3
1
1
4
1
3
1
1
1
2
1
1
1
1
1
1010
1,00 zł
6,00 zł
1,00 zł
1,00 zł
1,00 zł
1,00 zł
3,00 zł
1,00 zł
1,00 zł
4,00 zł
1,00 zł
3,00 zł
1,00 zł
1,00 zł
7,00 zł
7,00 zł
1,00 zł
1,00 zł
1,00 zł
1,00 zł
3,00 zł
Dyrektor Sądu Okręgowego
Irena Kulikowska-Melion