azur mod2 - output stage

Transkrypt

azur mod2 - output stage
MODYFIKACJA 2: ANALOGOWY UKŁAD WYJŚCIOWY.
Wstępne wyjaśnienia do projektu:
1) PCB projektowana w AutoCad, więc miałem dowolność w ułożeniu elementów i geometrii ścieżek.
2) Następstwem p.1) mogą być drobne błędy w poniższej dokumentacji (np. rozbieżne oznaczenia elementów),
chociaż fizyczny układ zadziałał przy pierwszym podłączeniu.
3) Widok PCB jako „przeźrocze” oznacza to co widzimy patrząc z góry (od strony elementów) na PCB z założeniem że
PCB jest przeźroczysta.
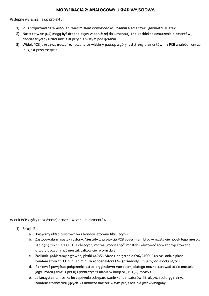
Widok PCB z góry (przeźrocze) z rozmieszczeniem elementów
1) Sekcja S1
a. Klasyczny układ prostownika z kondensatorami filtrującymi
b. Zastosowałem mostek scalony. Niestety w projekcie PCB popełniłem błąd w rozstawie nóżek tego mostka.
Nie będę zmieniał PCB. Dla chcących, można „rozciągnąć” mostek i wlutować go w zaprojektowane
otwory bądź ominąć mostek całkowicie (o tym dalej)
c. Zasilanie pobieramy z głównej płytki 640V2. Masa z połączenia C96/C100, Plus zasilania z plusa
kondensatora C100, minus z minusa kondensatora C96 (przewody lutujemy od spodu płytki).
d. Ponieważ powyższe połączenie jest za oryginalnym mostkiem, dlatego można darować sobie mostek i
jego „rozciąganie” z pkt b) i podłączyć zasilanie w miejsce „+” i „–„ mostka.
e. Ja korzystam z mostka bo zapewnia odseparowanie kondensatorów filtrujących od oryginalnych
kondensatorów filtrujących. Zasadniczo mostek w tym projekcie nie jest wymagany.
~
~
2) Sekcja S2
a. Układ stabilizatora równoległego (‘shunt regulator’)
b. Pole z flagą „S2” pokazuje stabilizator napięcia dodatniego VCC+
c. Pole poniżej pokazuje stabilizator napięcia ujemnego VCCd. Różnica pomiędzy stabilizatorami:
i. W dodatnim Q1=BC546B(npn) a Q2=BD140-16(pnp)
ii. W ujemnym Q1-BC556B(pnp) a Q2=BD139-16(npn)
iii. Odmienna polaryzacja diod zenera
e. Symbole „LK” oznaczają połączenia przewodowe pomiędzy polami lutowniczymi.
f. Wyjścia stabilizatorów łączą się za pomocą LK z polami zasilającymi wzmacniacze operacyjne. Polecam
skrętkę dwużyłową (można z taśmy oderwać dwie żyły i skręcić wkrętarką – bardzo dobra metoda)
g. Lista elementów stabilizator VCC+
Item
Count Label-Value
Attributes
Designation
1
2
220u
RAD0.2
C1,C2
2
1
10u
RAD0.2
C3
3
1
MMBZ5243B
SOT-23
D2 UWAGA: DIODA ZENERA 13V 500mW
4
1
BC546B
TO-92B
Q1
5
1
BC556B
TO-92B
Q2 UWAGA: W schemacie występuje BC556B zamiast BD140-16
ponieważ w bazie danych nie występował BD140-16. W fizycznym układzie należy stosować BD140-16.
6
1
36
AXIAL0.4
R1
7
1
1.8k
AXIAL0.4
R2
8
1
200
AXIAL0.4
R3
9
1
180
AXIAL0.4
R4
10
1
150
AXIAL0.4
R5
h. Lista elementów stabilizator VCCItem
Count Label-Value
Attributes
Designation
1
2
220u
RAD0.2
C1,C2
2
1
10u
RAD0.2
C3
3
1
DL5243B
DL-35
D2 UWAGA: DIODA ZENERA 13V 500mW
4
1
BC546B
TO-92B
Q2 UWAGA: W schemacie występuje BC546B zamiast BD139-16
ponieważ w bazie danych nie występował BD139-16. W fizycznym układzie należy stosować BD139-16.
5
1
BC556B
TO-92B
Q1
6
1
36
AXIAL0.4
R1
7
1
1.8k
AXIAL0.4
R2
8
1
200
AXIAL0.4
R3
9
1
180
AXIAL0.4
R4
10
1
150
AXIAL0.4
R5
SCHEMAT SEKCJA S2:
VCC+:
C3
10u
D2
MMBZ5243B
R4
180
S1
R1
36
R3
200
Q1
BC546B
C1
220u
Q2
BC556B
C2
220u
R2
1.8k
+
R5
150
Robc
850
Vs1
21V
-
VCC-:
C3
10u
D2
DL5243B
R4
180
R1
36
Q1
BC556B
C1
220u
R3
200
R2
1.8k
+
Q2
BC546B
Robc
850
R5
150
C2
220u
Vs1
21
-
W powyższych schematach „Robc” symuluje rzeczywiste obciążenie prądowe układu
3) Sekcja S3
a. Układ filtra dolnoprzepustowego II-rzędu i bufora wyjściowego.
b. Pola lutownicze oznaczone LK40, LK41 itd. należy połączyć z odpowiednimi przelotkami oryginalnej płytki
640V2. UWAGA: podłączamy się pod dolne oczka poszczególnych przelotek patrząc z góry na płytkę
ponieważ dolne oczka są bezpośrednimi wyprowadzeniami DAC’ów. Polecam skrętkę dwużyłową (można
z taśmy oderwać dwie żyły i skręcić wkrętarką – bardzo dobra metoda).
c. Sekcja prawego kanału (Rout) jest identyczna. Należy stosować te same elementy.
d. Element „PotX” to potencjometr wieloobrotowy 100kΩ do regulacji offsetu NE5534. Występuje w ilości
4szt
e. Element „Rpot” to opornik 20kΩ zasilający „PotX”. Występuje w ilości 4szt.
f. Lista elementów:
Item
Count Label-Value
Attributes
Designation
1
4
3.3n
RAD0.2
C1,C2,C3,C4
2
4
680p
RAD0.2
C5,C6,C7,C8
3
4
47n
RAD0.2
C9,C10,C11,C12
4
2
47p
RAD0.2
C13,C14
5
4
10k
AXIAL0.4
R1,R2,R3,R4
6
8
1k
AXIAL0.4
R5,R6,R7,R8,R13,R14,R15,R16,
7
5
5k
AXIAL0.4
R9,R10,R11,R12,R17
8
1
AD797/AD
DIP8
U1
9
2
NE5534
DIP8
U2,U3
SCHEMAT SEKCJA S3:
R9
5k
R1
10k
R5
1k
C13
47p
C5
680p
U2
NE5534
C1
3.3n
R2
10k
R6
1k
C2
3.3n
R10
5k
C9
47n
+
-
+
R13
1k
C6
680p
+
C10
47n
R7
1k
C7
680p
R12
5k
R14
1k
+
C14
47p
U3
NE5534
R8
1k
C4
3.3n
Vs2
15
R16
1k
C3
3.3n
R4
10k
U1
AD797/AD
R17
5k
R11
5k
R3
10k
R15
1k
Vs1
15
C11
47n
+
C8
680p
C12
47n
4) Potencjalne modyfikacje:
a. Opornik R17 można dobierać pod impedancję wzmacniacza. Wartość wpływa na dźwięk. Testowałem
wartości 43K, 22K, 10K i 5K. U mnie najlepiej wypadł 5k.
b. Oporniki R5,6,7,8 wpływają na charakterystykę ‘cięcia” wysokich częstotliwości. 1,5k powoduje ‘górkę’
+0,5dB@20kHz, 1k ma górkę ok. +0,050dB@20kHz. Efekt jest taki że można ‘regulować’ ilość i charakter
wysokich tonów. Wg mojego gustu lepiej jest z 1k.
c. AD797 – jest mega szczegółowy i dokładny. Przestrzeń pomiędzy dźwiękami wydaje się sterylna. Można
spróbować wpiąć NE5534. Moim zdaniem lepszy bas, ale to wszystko. Dalsze moje próby będą na
LME49710.
d. Kolejna opcja do testowania to np. LME49710. Będzie pasował w każde miejsce na płytce.
e. UWAGA! Oryginalny AD797 stosuje kondensator kompensacyjny C15 47pF (nie ma go na schemacie, na
płytce jest zaznaczony). Można go stosować lub nie.
f. UWAGA! Oryginalny NE5534 stosuje potencjometr PotX do regulacji offsetu.
g. UWAGA! Punkty e) i f) ograniczają stosowanie zamienników. Jednak np. LME49710 pasuje w każde
miejsce bo ma wolne piny 1,5,8.
5) Zdjęcia
a. Widok ogólny
b.
Umiejscowienie wyjścia z DAC na układ wyjściowy (połączenia LK40, LK41 itd.)