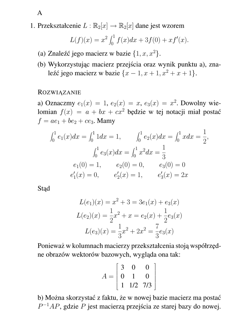
A 1. Przekształcenie L : R2[x] → R2[x] dane jest wzorem L(f)(x) = x f

Transkrypt

A 1. Przekształcenie L : R2[x] → R2[x] dane jest wzorem L(f)(x) = x f
A
1. Przekształcenie L : R2[x] → R2[x] dane jest wzorem
L(f )(x) = x
2
Z
1
0
f (x)dx + 3f (0) + xf 0(x).
(a) Znaleźć jego macierz w bazie {1, x, x2}.
(b) Wykorzystujac
˛ macierz przejścia oraz wynik punktu a), znaleźć jego macierz w bazie {x − 1, x + 1, x2 + x + 1}.
ROZWI AZANIE
˛
a) Oznaczmy e1(x) = 1, e2(x) = x, e3(x) = x2. Dowolny wielomian f (x) = a + bx + cx2 b˛edzie w tej notacji miał postać
f = ae1 + be2 + ce3. Mamy
Z
1
0
e1(x)dx =
Z
1
0
Z
Z
1dx = 1,
1
0
e3(x)dx =
e1(0) = 1,
e01(x) = 0,
1
0
Z
1
0
e2(x)dx =
Z
1
0
1
xdx = ,
2
1
3
e3(0) = 0
e03(x) = 2x
x2dx =
e2(0) = 0,
e02(x) = 1,
Stad
˛
L(e1)(x) = x2 + 3 = 3e1(x) + e3(x)
1
1
L(e2)(x) = x2 + x = e2(x) + e3(x)
2
2
1
7
L(e3)(x) = x2 + 2x2 = e3(x)
3
3
Ponieważ w kolumnach macierzy przekształcenia stoja˛ współrz˛edne obrazów wektorów bazowych, wyglada
˛ ona tak:

A=






3 0 0
0 1 0
1 1/2 7/3







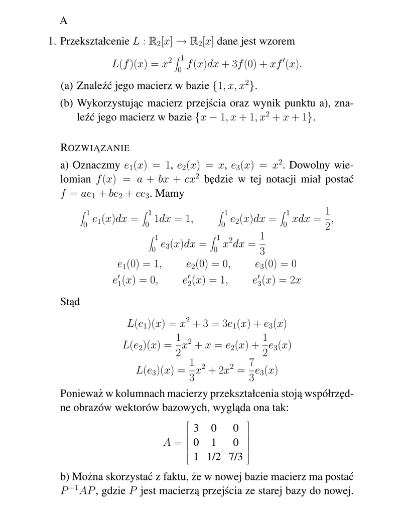
b) Można skorzystać z faktu, że w nowej bazie macierz ma postać
P −1AP , gdzie P jest macierza˛ przejścia ze starej bazy do nowej.
Ta macierz ma w kolumnach współrz˛edne
wektorów nowej bazy

 -1 1 1 


wzgl˛edem starej bazy. P =  1 1 1  Pozostaje wi˛ec znaleźc


0 0 1
macierz odwrotna˛ i wykonać mnożenie.







-1 1 1 1 0 0
1 1 1 0 1 0
0 0 1 0 0 1








w2 +w1 


−→


(−1)·w1 ,w2 :2 

−→






-1 1 1 1 0 0
0 2 2 1 1 0
0 0 1 0 0 1

w1 +w2 ,w2 +w3 

−→
P
−1
AP =












1 -1 -1 -1 0 0
0 1 1 1/2 1/2 0
0 0 1 0 0 1














1 0 0 -1/2 1/2 0
0 1 0 1/2 1/2 -1
0 0 1
0 0 1



-1/2 1/2 0   3 0 0   -1 1 1
1/2 1/2 -1  ·  0 1 0  ·  1 1 1
 
 
1 1/2 7/3
0 0 1
0 0 1

=








3
-1/2 1/2 0   -3 3
 
1
1/2 1/2 -1  ·  1 1
 
-1/2 3/2 23/6
0 0 1

=



























2 -1
-1
-1/2 1/2 -11/6
-1/2 3/2 23/6







2. Podać przykład przekształcenia L : R4 → R4 (wzór analityczny
i macierz w bazie standardowej), którego obrazem jest podprzestrzeń lin{(1, 0, 1, 0), (0, 1, 0, 1)}. Znaleźć baz˛e i wymiar jadra
˛ tego
przekształcenia.
ROZWI AZANIE
˛
Wystarczy przypisać wektorom bazowym wektory rozpinajace
˛ obraz, np.
L(1, 0, 0, 0) = (1, 0, 1, 0)
L(0, 0, 1, 0) = (0, 0, 0, 0)
L(0, 1, 0, 0) = (0, 1, 0, 1)
L(0, 0, 0, 1) = (0, 0, 0, 0)
Wtedy macierza˛ przekształcenia jest:










1
0
1
0
0
1
0
1
0
0
0
0
0
0
0
0










a wzór analityczny ma postać:
L(x, y, z, t) = (x, y, x, y)
Jadro
˛ znajdujemy rozwiazuj
˛ ac
˛
L(x, y, z, t) = (0, 0, 0, 0)
Otrzymujemy x = 0, y = 0, czyli
ker L = {(x, y, z, t) : x = 0, y = 0} = lin{(0, 0, 1, 0), (0, 0, 0, 1)}
Ta rodzina rozpinajaca
˛ jadro
˛ jest jego baza,˛ a wymiar wynosi 2.


0 2 −1 
3. Niech A =
1 1 −1 .

−1 −2 0






(a) Znaleźć wartości własne tej macierzy.
(b) Podać bazy przestrzeni własnych przekształcenia zadanego przez
t˛e macierz (w bazie standardowej).


−1






(c) Niech v =  1 . Wyznaczyć A151v.


1
ROZWI AZANIE
˛
a)


−λ
2
−1 
1 1 − λ −1  = (1 + λ)2(3 − λ)

−1 −2 −λ
wi˛ec wartościami własnymi sa˛ 3 i −1.






b) Liczba 3 jest wartościa˛ własna˛ o krotności algebraicznej 1, wi˛ec
jej przestrzeń własna jest jednowymiarowa. Znajdziemy wektor
własny dla λ = 3.







−3 2 −1
1 −2 −1
−1 −2 −3







x
y
z














=
0
0
0







prowadzi do x = y = −z, wi˛ec przykładowym wektory własne sa˛
postaci (x, x, −x), a baza˛ V3 jest na przykład {(1, 1, −1)}.
Dla λ = −1 otrzymujemy







1 2 −1
1 2 −1
−1 −2 1







x
y
z














=
0
0
0







czyli x+2y−z = 0. To daje wektory własne postaci (x, y, x+2y) =
x(1, 0, 1) + y(0, 1, 2). Baza˛ V−1 jest {(1, 0, 1), (0, 1, 2)}.
c) Zauważmy, że (−1, 1, 1) = (0, 1, 2) − (1, 0, 1). To oznacza, że
(−1, 1, 1) jest wektorem własnym dla wartości własnej równej −1,
czyli






1 

 −1 
 −1 





A151  1  = (−1)151  1  =  −1 






1
−1
1
Alternatywnie, można zdiagonalizować A, czyli zamienić baz˛e na
baz˛e wektorów własnych, wtedy podnieść A do pot˛egi i przemnożyć przez wektor, po czym wrócić do bazy standardowej, ale to
wi˛ecej pracy.
4. Niech ϕ1 : R3 −→ R2 i ϕ2 : R2 −→ R2 b˛eda˛ przekształceniami
liniowymi. Pokazać, że jeśli dim ker(ϕ2 ◦ ϕ1) = 1, to ϕ2 jest różnowartościowe.
ROZWI AZANIE
˛
ϕ
ϕ
1
2
Mamy R3 −→
R2 −→
R2. Zatem
dim ker(ϕ2 ◦ ϕ1) + dim im(ϕ2 ◦ ϕ1) = 3,
skad
˛ dim im(ϕ2 ◦ϕ1) = 2. Ponieważ dim im(ϕ2 ◦ϕ1) ¬ dim im(ϕ2)
(np. bo im(ϕ2 ◦ ϕ1) ⊂ im(ϕ2)), również dim im(ϕ2) = 2. A jako że
dim ker(ϕ2) + dim im(ϕ2) = 2,
otrzymujemy dim ker(ϕ2) = 0, czyli ker(ϕ2) = {0}, co oznacza,
że ϕ2 jest różnowartościowy.
B
Zadania 1,2,3 analogicznie jak w grupie A.
4. Niech ϕ1 : R3 −→ R2 i ϕ2 : R2 −→ R2 b˛eda˛ przekształceniami
liniowymi. Pokazać, że jeśli dim ker(ϕ2 ◦ ϕ1) = 1, to ϕ1 jest surjekcja.˛
ROZWI AZANIE
˛
ϕ
ϕ
1
2
Mamy R3 −→
R2 −→
R2. Zatem
dim ker(ϕ2 ◦ ϕ1) + dim im(ϕ2 ◦ ϕ1) = 3,
skad
˛ dim im(ϕ2 ◦ ϕ1) = 2. Zauważmy, że dim im(ϕ2 ◦ ϕ1) ¬
dim im(ϕ1). Istotnie,
im(ϕ2 ◦ ϕ1) = {ϕ2(ϕ1v) : v ∈ R3}
= {ϕ2(w) : w ∈ imϕ1} = im{ϕ2|imϕ1 },
wi˛ec
dim im{ϕ2|imϕ1 } ¬ dim im{ϕ2|imϕ1 } + dim ker{ϕ2|imϕ1 }
= dim im(ϕ1)
Zatem również dim im(ϕ1) = 2. Ale jedyna˛ podprzestrzenia˛ dwuwymiarowa˛ przestrzeni R2 jest całe R2, wi˛ec im(ϕ1) = R2, czyli
ϕ1 jest surjekcja.˛