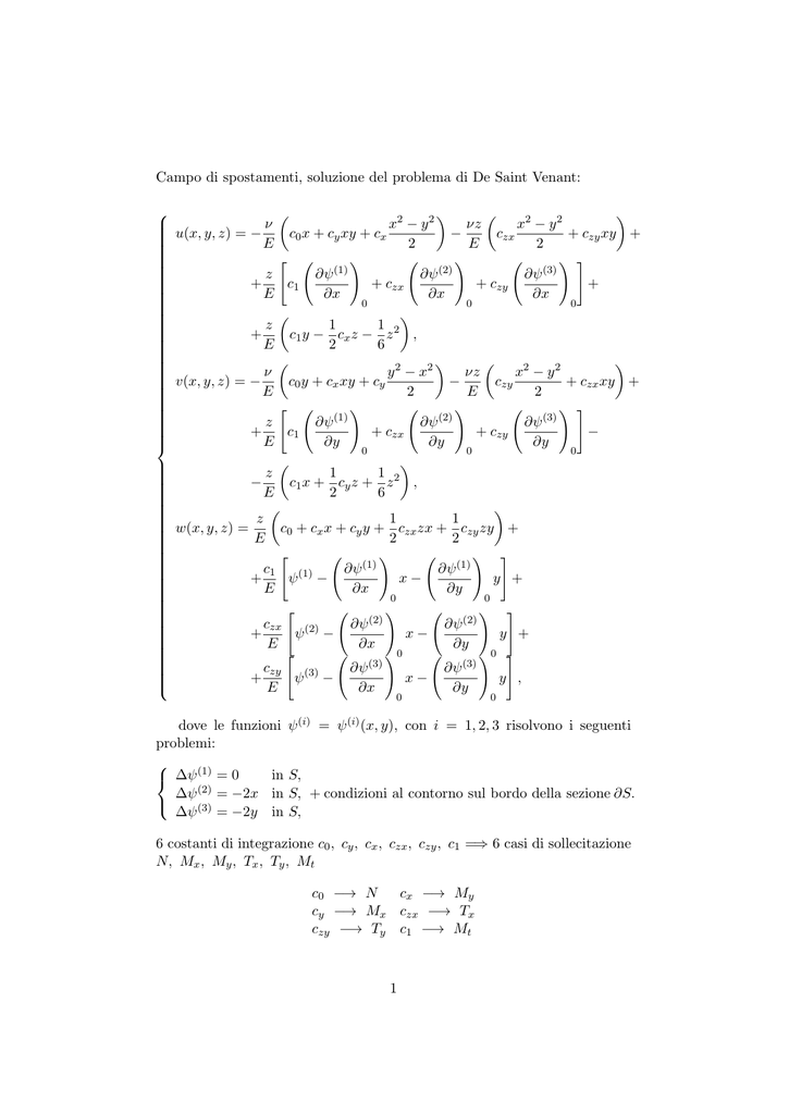
Campo di spostamenti, soluzione del problema di De

Transkrypt

Campo di spostamenti, soluzione del problema di De
Campo di spostamenti, soluzione del problema di De Saint Venant:

x2 − y 2
νz
x2 − y 2
ν



c
x
+
c
xy
+
c
−
c
+
c
xy
+
u(x,
y,
z)
=
−
0
y
x
zx
zy


E
2
E
2



"
!
!
! #



(1)
(2)
(3)

∂ψ
∂ψ
∂ψ
z


c1
+ czx
+ czy
+
+


E
∂x
∂x
∂x


0
0
0






z
1
1 2


+
c1 y − cx z − z ,


E
2
6






ν
y 2 − x2
x2 − y 2
νz



v(x,
y,
z)
=
−
c
y
+
c
xy
+
c
−
c
+
c
xy
+
0
x
y
zy
zx


E
2
E
2




"
!
!
! #


(1)
(2)
(3)

z
∂ψ
∂ψ
∂ψ


+
c1
+ czx
+ czy
−



E
∂y
∂y
∂y
0
0
0


z
1
1


−
c1 x + cy z + z 2 ,


E
2
6






z
1
1



w(x, y, z) =
c0 + cx x + cy y + czx zx + czy zy +


E
2
2




"
!
! #


(1)
(1)

c
∂ψ
∂ψ
1


+
ψ (1) −
x−
y +



E
∂x
∂y


0
0


"
!
! #



(2)
(2)

c
∂ψ
∂ψ
zx


+
ψ (2) −
x−
y +


E
∂x
∂y


"
!0
!0 #



(3)
(3)

c
∂ψ
∂ψ
zy

(3)

x−
y ,
+
ψ −


E
∂x
∂y
0
dove le funzioni
problemi:

in
 ∆ψ (1) = 0
∆ψ (2) = −2x in

∆ψ (3) = −2y in
0
ψ (i) = ψ (i) (x, y), con i = 1, 2, 3 risolvono i seguenti
S,
S, + condizioni al contorno sul bordo della sezione ∂S.
S,
6 costanti di integrazione c0 , cy , cx , czx , czy , c1 =⇒ 6 casi di sollecitazione
N, Mx , My , Tx , Ty , Mt
c0 −→ N
cx −→ My
cy −→ Mx czx −→ Tx
czy −→ Ty c1 −→ Mt
1