Terminy płatności odsetek obligacji serii D i E

Transkrypt

Terminy płatności odsetek obligacji serii D i E
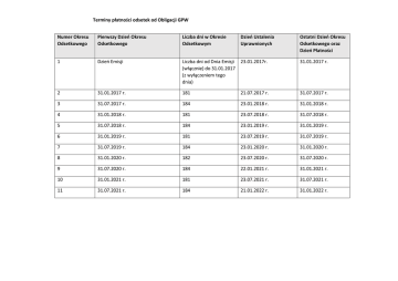
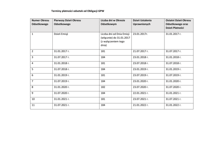
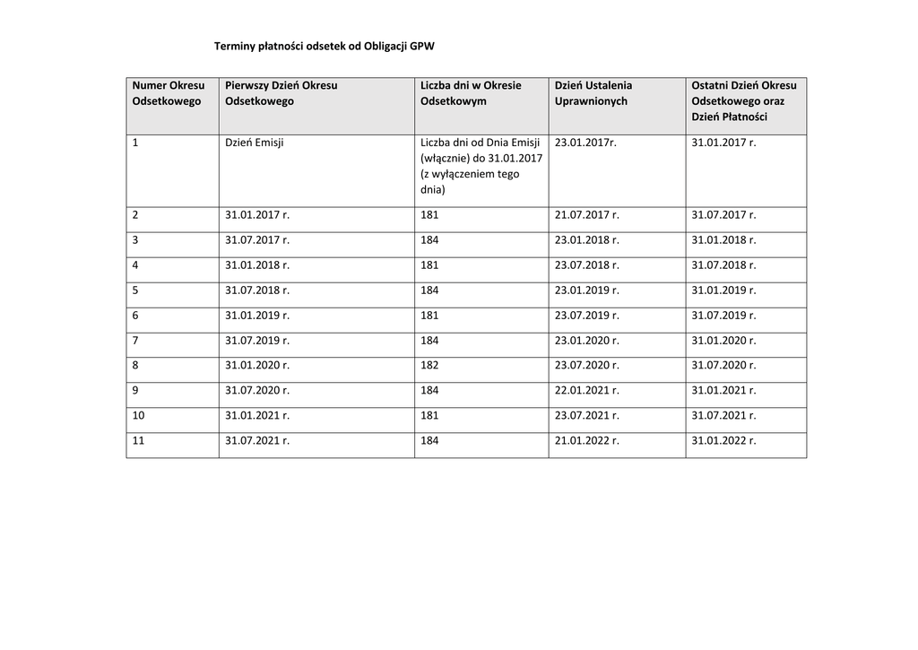
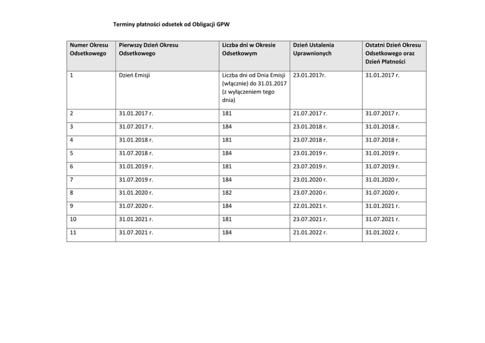
Terminy płatności odsetek od Obligacji GPW
Numer Okresu
Odsetkowego
Pierwszy Dzień Okresu
Odsetkowego
Liczba dni w Okresie
Odsetkowym
Dzień Ustalenia
Uprawnionych
Ostatni Dzień Okresu
Odsetkowego oraz
Dzień Płatności
1
Dzień Emisji
Liczba dni od Dnia Emisji
(włącznie) do 31.01.2017
(z wyłączeniem tego
dnia)
23.01.2017r.
31.01.2017 r.
2
31.01.2017 r.
181
21.07.2017 r.
31.07.2017 r.
3
31.07.2017 r.
184
23.01.2018 r.
31.01.2018 r.
4
31.01.2018 r.
181
23.07.2018 r.
31.07.2018 r.
5
31.07.2018 r.
184
23.01.2019 r.
31.01.2019 r.
6
31.01.2019 r.
181
23.07.2019 r.
31.07.2019 r.
7
31.07.2019 r.
184
23.01.2020 r.
31.01.2020 r.
8
31.01.2020 r.
182
23.07.2020 r.
31.07.2020 r.
9
31.07.2020 r.
184
22.01.2021 r.
31.01.2021 r.
10
31.01.2021 r.
181
23.07.2021 r.
31.07.2021 r.
11
31.07.2021 r.
184
21.01.2022 r.
31.01.2022 r.