Sytuacja na rynku pracy w województwie lubelskim

Transkrypt

Sytuacja na rynku pracy w województwie lubelskim
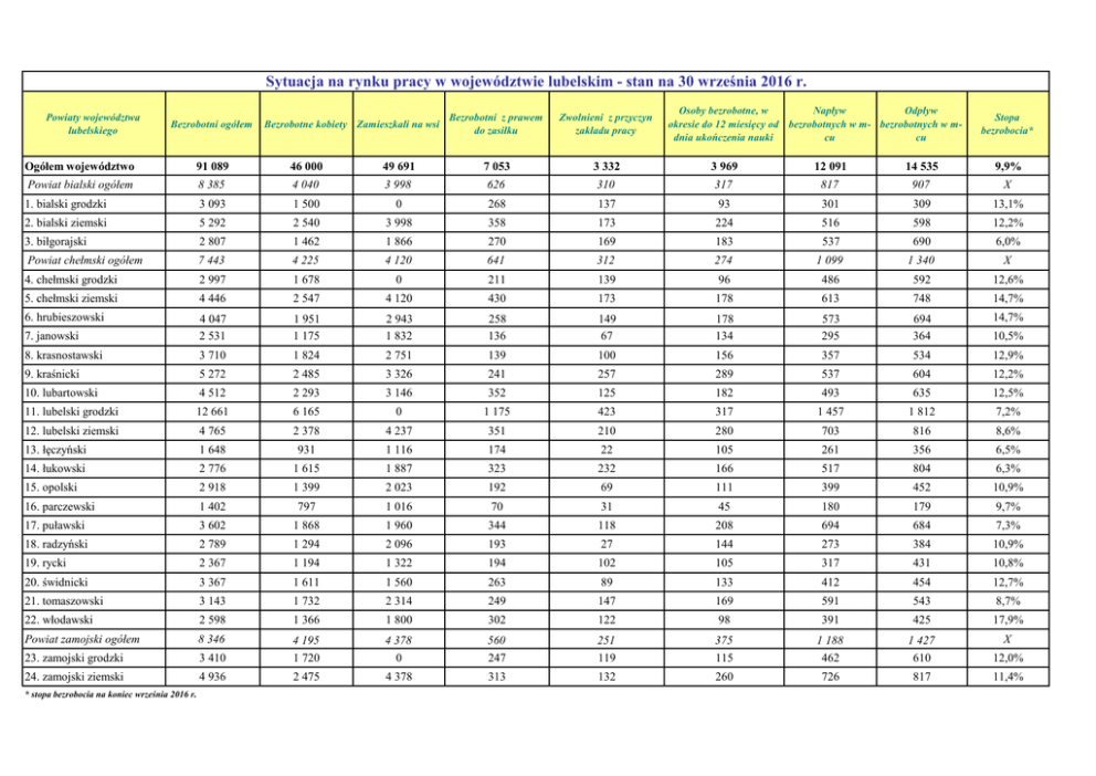
Sytuacja na rynku pracy w województwie lubelskim - stan na 30 września 2016 r.
Powiaty województwa
lubelskiego
Bezrobotni ogółem
Bezrobotne kobiety Zamieszkali na wsi
Bezrobotni z prawem
do zasiłku
Zwolnieni z przyczyn
zakładu pracy
Osoby bezrobotne, w
Napływ
Odpływ
okresie do 12 miesięcy od bezrobotnych w m- bezrobotnych w mdnia ukończenia nauki
cu
cu
Ogółem województwo
91 089
46 000
49 691
7 053
3 332
3 969
12 091
14 535
Stopa
bezrobocia*
9,9%
Powiat bialski ogółem
8 385
4 040
3 998
626
310
317
817
907
X
1. bialski grodzki
3 093
1 500
0
268
137
93
301
309
13,1%
2. bialski ziemski
5 292
2 540
3 998
358
173
224
516
598
12,2%
3. biłgorajski
2 807
1 462
1 866
270
169
183
537
690
6,0%
Powiat chełmski ogółem
7 443
4 225
4 120
641
312
274
1 099
1 340
X
4. chełmski grodzki
2 997
1 678
0
211
139
96
486
592
12,6%
5. chełmski ziemski
4 446
2 547
4 120
430
173
178
613
748
14,7%
6. hrubieszowski
1 951
1 175
2 943
1 832
258
136
149
67
178
134
573
295
694
364
14,7%
7. janowski
4 047
2 531
8. krasnostawski
3 710
1 824
2 751
139
100
156
357
534
12,9%
9. kraśnicki
5 272
2 485
3 326
241
257
289
537
604
12,2%
10. lubartowski
4 512
2 293
3 146
352
125
182
493
635
12,5%
11. lubelski grodzki
12 661
6 165
0
1 175
423
317
1 457
1 812
7,2%
12. lubelski ziemski
4 765
2 378
4 237
351
210
280
703
816
8,6%
13. łęczyński
1 648
931
1 116
174
22
105
261
356
6,5%
14. łukowski
2 776
1 615
1 887
323
232
166
517
804
6,3%
15. opolski
2 918
1 399
2 023
192
69
111
399
452
10,9%
16. parczewski
1 402
797
1 016
70
31
45
180
179
9,7%
17. puławski
3 602
1 868
1 960
344
118
208
694
684
7,3%
18. radzyński
2 789
1 294
2 096
193
27
144
273
384
10,9%
19. rycki
2 367
1 194
1 322
194
102
105
317
431
10,8%
20. świdnicki
3 367
1 611
1 560
263
89
133
412
454
12,7%
21. tomaszowski
3 143
1 732
2 314
249
147
169
591
543
8,7%
22. włodawski
2 598
1 366
1 800
302
122
98
391
425
17,9%
Powiat zamojski ogółem
8 346
23. zamojski grodzki
3 410
4 195
1 720
4 378
0
560
247
251
119
375
115
1 188
462
1 427
610
12,0%
24. zamojski ziemski
4 936
2 475
4 378
313
132
260
726
817
11,4%
* stopa bezrobocia na koniec września 2016 r.
10,5%
X