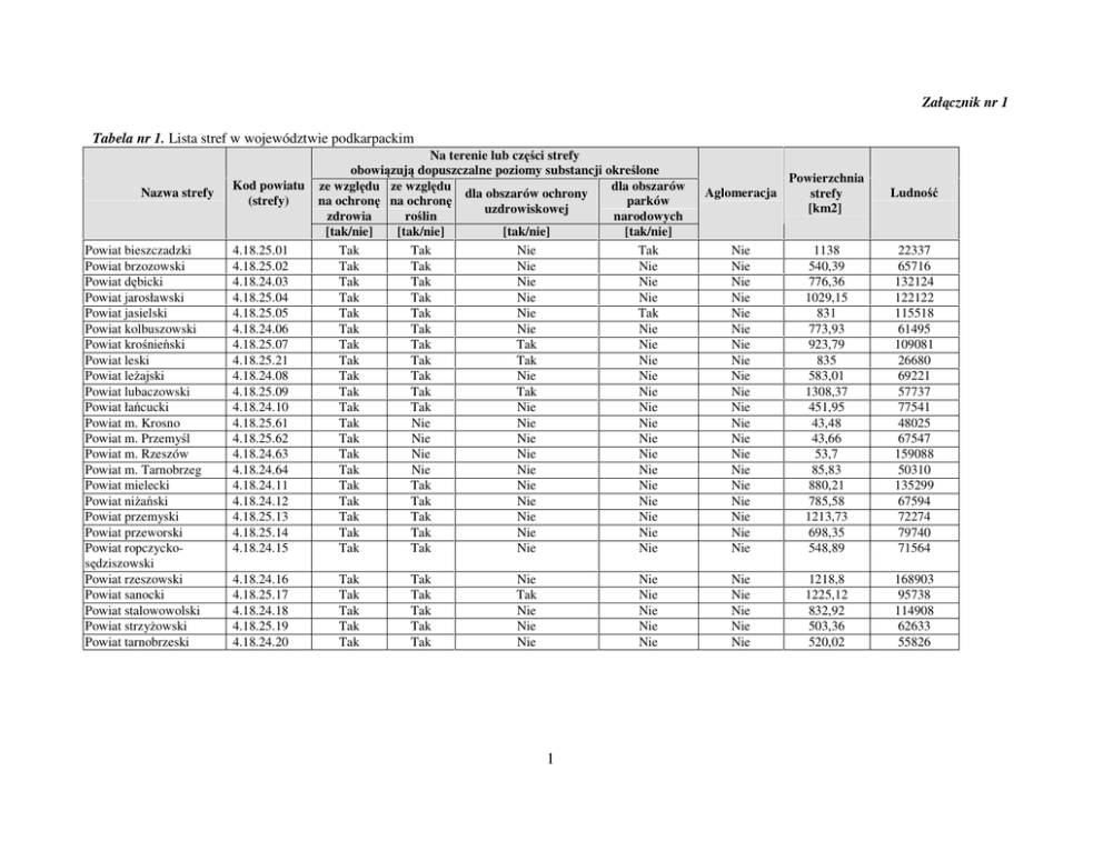
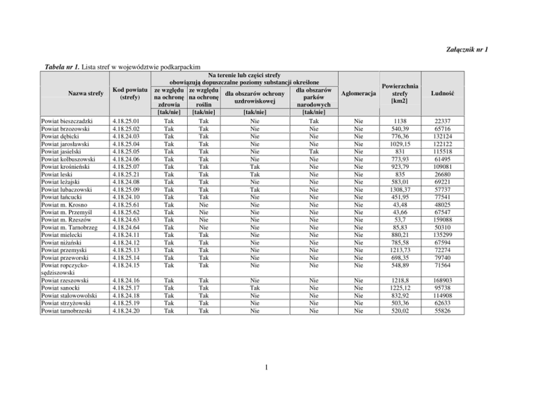
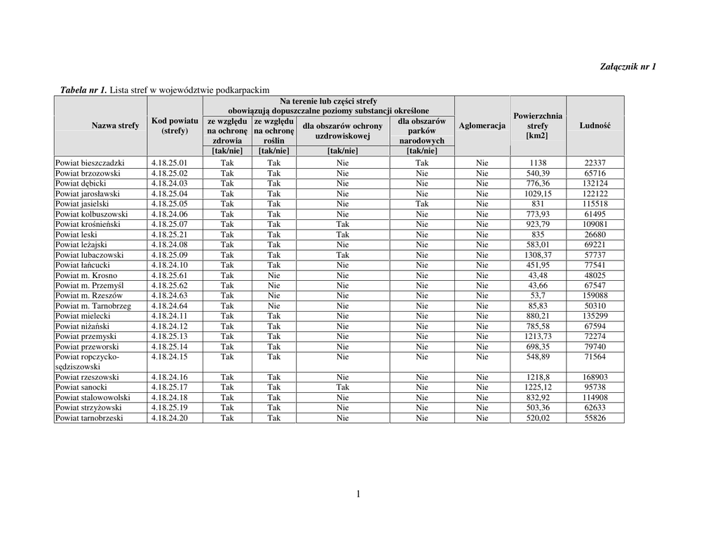
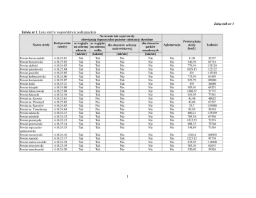
Załącznik nr 1 Tabela nr 1. Lista stref w województwie podkarpackim

Transkrypt

Załącznik nr 1 Tabela nr 1. Lista stref w województwie podkarpackim
Załącznik nr 1
Tabela nr 1. Lista stref w województwie podkarpackim
Nazwa strefy
Powiat bieszczadzki
Powiat brzozowski
Powiat dębicki
Powiat jarosławski
Powiat jasielski
Powiat kolbuszowski
Powiat krośnieński
Powiat leski
Powiat leżajski
Powiat lubaczowski
Powiat łańcucki
Powiat m. Krosno
Powiat m. Przemyśl
Powiat m. Rzeszów
Powiat m. Tarnobrzeg
Powiat mielecki
Powiat niżański
Powiat przemyski
Powiat przeworski
Powiat ropczyckosędziszowski
Powiat rzeszowski
Powiat sanocki
Powiat stalowowolski
Powiat strzyżowski
Powiat tarnobrzeski
Kod powiatu
(strefy)
4.18.25.01
4.18.25.02
4.18.24.03
4.18.25.04
4.18.25.05
4.18.24.06
4.18.25.07
4.18.25.21
4.18.24.08
4.18.25.09
4.18.24.10
4.18.25.61
4.18.25.62
4.18.24.63
4.18.24.64
4.18.24.11
4.18.24.12
4.18.25.13
4.18.25.14
4.18.24.15
4.18.24.16
4.18.25.17
4.18.24.18
4.18.25.19
4.18.24.20
Na terenie lub części strefy
obowiązują dopuszczalne poziomy substancji określone
ze względu ze względu
dla obszarów
dla obszarów ochrony
na ochronę na ochronę
parków
uzdrowiskowej
zdrowia
roślin
narodowych
[tak/nie]
[tak/nie]
[tak/nie]
[tak/nie]
Tak
Tak
Nie
Tak
Tak
Tak
Nie
Nie
Tak
Tak
Nie
Nie
Tak
Tak
Nie
Nie
Tak
Tak
Nie
Tak
Tak
Tak
Nie
Nie
Tak
Tak
Tak
Nie
Tak
Tak
Tak
Nie
Tak
Tak
Nie
Nie
Tak
Tak
Tak
Nie
Tak
Tak
Nie
Nie
Tak
Nie
Nie
Nie
Tak
Nie
Nie
Nie
Tak
Nie
Nie
Nie
Tak
Nie
Nie
Nie
Tak
Tak
Nie
Nie
Tak
Tak
Nie
Nie
Tak
Tak
Nie
Nie
Tak
Tak
Nie
Nie
Tak
Tak
Nie
Nie
Tak
Tak
Tak
Tak
Tak
Tak
Tak
Tak
Tak
Tak
Nie
Tak
Nie
Nie
Nie
Nie
Nie
Nie
Nie
Nie
1
Aglomeracja
Powierzchnia
strefy
[km2]
Ludność
Nie
Nie
Nie
Nie
Nie
Nie
Nie
Nie
Nie
Nie
Nie
Nie
Nie
Nie
Nie
Nie
Nie
Nie
Nie
Nie
1138
540,39
776,36
1029,15
831
773,93
923,79
835
583,01
1308,37
451,95
43,48
43,66
53,7
85,83
880,21
785,58
1213,73
698,35
548,89
22337
65716
132124
122122
115518
61495
109081
26680
69221
57737
77541
48025
67547
159088
50310
135299
67594
72274
79740
71564
Nie
Nie
Nie
Nie
Nie
1218,8
1225,12
832,92
503,36
520,02
168903
95738
114908
62633
55826
Tabela nr 2. Wykaz stacji, z których wyniki wykorzystano w ocenie rocznej za 2006 rok
pokrycie czasu
45
31
kompletność
72
62
czas
uśredniania
24
24
1(1)
PM10
pokrycie czasu
49
kompletność
24
85
Kod strefy: 4.18.25.05
czas
uśredniania
49
CO
pokrycie czasu
85
kompletność
24
czas
uśredniania
67
O3
pokrycie czasu
24
93
Kod strefy: 4.18.25.04
czas
uśredniania
67
pokrycie czasu
93
kompletność
20
czas
uśredniania
24
97
Kod strefy: 4.18.24.03
pokrycie czasu
20
kompletność
24
czas
uśredniania
100
kompletność
Pb
czas
uśredniania
SO2
pokrycie czasu
NOx
kompletność
Strefa: Powiat bieszczadzki
Miejscowość: Czarna
PkCzarnaWSSENafgaz
Miejscowość: Ustrzyki Dolne
PkUstDolWSSE Bels
Strefa: Powiat dębicki
Miejscowość: Dębica
PkDębicaWIOSPasyw
i(2t) 100
PkDębicaWSSEParkow
Strefa: Powiat jarosławski
Miejscowość: Jarosław
PkJarosWSSEGrunw
Strefa: Powiat jasielski
Miejscowość: Jasło
PkJasloWSSESrocz
PkJasloWIOSFloria
i(2t) 100
PkJasloWIOSFloria
PkJasloWIOSFloria2
Miejscowość: Żydowskie
PkKrempWIOSZydow
Strefa: Powiat krośnieński
Miejscowość: Iwonicz Zdrój
PkIwZdrWSSEToros
Miejscowość: Rymanów Zdrój
PkRymZdrWSSE Zdroj
Strefa: Powiat leski
Miejscowość: Lesko
PkLeskoWSSERynek
Miejscowość: Polańczyk
PkPolanWSSEStPomp
Strefa: Powiat lubaczowski
Miejscowość: Horyniec Zdrój
NO2
pokrycie czasu
kompletność
Kod krajowy stacji
czas
uśredniania
benzen
Kod strefy: 4.18.25.01
24
100
24
24
97
24
24
14
14
1(1)
i(m) 100
100
24
95
19
24
92
18
24
99
20
24
24
24
1(1)
96
19
72
62
i(m) 100
Kod strefy: 4.18.25.07
24
45
31
100
95
19
24
92
Kod strefy: 4.18.25.21
18
24
99
20
24
95
Kod strefy: 4.18.25.09
20
2
i(t)
85
42
24
90
67
24
87
62
24
95
48
PkHorZdrWSSESobies
Strefa: Powiat miasto Krosno
Miejscowość: Krosno
PkKrosnoWSSELewakow
PkKrosnoWSSEKisielewski
Strefa: Powiat miasto Przemyśl
Miejscowość: Przemyśl
PkPrzemWIOSDom
i(2t)
PkPrzemWIOSDom
Strefa: Powiat miasto Rzeszów
Miejscowość: Rzeszów
PkRzeszWIOSSzop
PkRzeszWSSEPoniat
PkRzeszWSSEWierzb
PkRzeszWSSEPiłsud
PkRzeszWSSESkubisz
Strefa: Powiat miasto Tarnobrzeg
Miejscowość: Tarnobrzeg
PkTarnobWSSE1Maja
PkTarnobWIOSSwBarb
i(2t)
Strefa: Powiat mielecki
Miejscowość: Mielec
PkMielWSSEGrunw
PkMielWIOSZarzStr
i(2t)
Strefa: Powiat niżański
Miejscowość: Nisko
PkNiskoWIOSSzklarniowa
i(2t)
PkNiskoWIOSSzklarniowa
Strefa: Powiat sanocki
Miejscowość: Komańcza
PkKomanWSSEOsZdr
Miejscowość: Sanok
PkSanokWSSEJezier
PkSanokWSSEJanPawel
Strefa: Powiat stalowowolski
Miejscowość: Stalowa Wola
PkStWolWSSENiezlom
i(2t)
24
90
89
24
92
18
24
90
Kod strefy: 4.18.25.61
24
92
89
18
24
73
14
Kod strefy: 4.18.25.62
100
14
100
14
100
14
24
1(1)
90
32
1(1)
24 100
24 98
24 98
24 59
57
56
98
59
24
90
1(1)
1(1)
Kod strefy: 4.18.24.63
i(t)
96
48
1(1)
24
24
93
94
53
54
24
91
52
1(1)
24
77
24 100
24
98
24
98
Kod strefy: 4.18.24.64
32
24
1(1)
44
87
98
98
24
93 53
24 94 54
Kod strefy: 4.18.24.11
24
92
89
51
24
24
82
90
61
80
24
100 83,5
24
96
1(1)
52
i(t)
83
83
48
Kod strefy: 4.18.24.12
100
100
14
14
24
1(1)
100
18
24
73
15
24
24
64
98
64
98
24
93
52
1(1)
24 100
1(1)
Kod strefy: 4.18.25.17
24
18
73
15
24
64
24
98
Kod strefy: 4.18.24.18
64
98
24 93
Podstawowy czas uśredniania stężeń (symbol, opis):
1(1)
1 godzina
24
24 godziny
i(t)
tydzień
i(2t)
2 tygodnie
i(m)
miesiąc
i(rok)
rok
i(8g)
8 godzin(y)
i(5d)
5 dni
3
24
78
44
24
85 42
1(1)
53
1(1)
Tabela nr 3. Zestawienie wyników stężeń dwutlenku siarki uzyskanych na stałych stacjach pomiarowych w 2006 r. w woj. podkarpackim
Lp.
1
2
3
4
5
6
7
8
9
10
11
12
13
14
15
16
17
18
19
20
21
22
23
24
25
26
27
Lokalizacja
Rzeszów
Dębica
Mielec
Czarna
Iwonicz Zdrój
Jasło
Komańcza
Krosno
Polańczyk
Rymanów Zdrój
Sanok
Ustrzyki Dolne
Przemyśl
Jarosław
Horyniec Zdrój
Stalowa Wola
Tarnobrzeg
Nisko
Lesko
Żydowskie
Stanowisko
pomiarowe
Szopena
Skubisza
Poniatowskiego
Piłsudskiego
Wierzbowa
Parkowa
Grunwaldzka
Ośrodek Nafta-Gaz
Torosiewicza
Floriańska
Sroczyńskiego
Ośrodek Zdrowia
Lewakowskiego
Stacja Pomp
Zdrojowa
Jezierskiego
Jana Pawła II
Bełska
Pl. Dominikański
Grunwaldzka
Sobieskiego
Niezłomnych
1 Maja
Św. Barbary
Szklarniowa
Rynek
-
Okres uśredniania
stężeń
(stężenie
średnioroczne
Kryteria
normowane jedynie w
kryterium ochrony
roślin)
OZ
rok kalendarzowy
OZ
rok kalendarzowy
OZ
rok kalendarzowy
K
rok kalendarzowy
OZ
rok kalendarzowy
OZ
rok kalendarzowy
OZ
rok kalendarzowy
OR
rok kalendarzowy
rok kalendarzowy
U
OZ
rok kalendarzowy
OZ
rok kalendarzowy
rok kalendarzowy
OR
OZ
rok kalendarzowy
rok kalendarzowy
U
rok kalendarzowy
U
OZ
rok kalendarzowy
OZ
rok kalendarzowy
OZ
rok kalendarzowy
OZ
rok kalendarzowy
OZ
rok kalendarzowy
rok kalendarzowy
U
OZ
rok kalendarzowy
OZ
rok kalendarzowy
OZ
rok kalendarzowy
OZ
rok kalendarzowy
OZ
rok kalendarzowy
PN
rok kalendarzowy
4
Średnie
stężenie
[µ
µg/m3]
Liczba
przekroczeń
stężeń
rok / 24-godz.
Liczba
przekroczeń
stężeń
rok / 1-godz.
9,5
6,3
7,9
5,7
4,5
5,3
8,1
5,9
4,2
8,1
3,5
6,1
14,2
3,5
3,4
10,1
9,3
12,8
9,9
5,5
3,5
6,2
2,3
4,8
6,5
8,6
4,8
-
-
-
-
-
Tabela nr 4. Zestawienie wyników stężeń dwutlenku azotu uzyskanych na stałych stacjach pomiarowych w 2006 r. w woj. podkarpackim
Okres uśredniania
Przekroczenia
stężeń
Średnie
stężeń
(stężenie
średnioroczne
Stanowisko
stężenie
Lp.
Lokalizacja
Kryteria normowane jedynie w
średniorocznych
pomiarowe
[µ
µg/m3]
kryterium ochrony
[µ
µg/m3]
roślin)
1
Szopena
OZ
rok kalendarzowy
17,5
2
Skubisza
OZ
rok kalendarzowy
14,5
3 Rzeszów
Poniatowskiego
OZ
rok kalendarzowy
21,8
4
Piłsudskiego
K
rok kalendarzowy
29,8
5
Wierzbowa
OZ
rok kalendarzowy
14,7
6 Dębica
Parkowa
OZ
rok kalendarzowy
11,96
7 Mielec
Grunwaldzka
OZ
rok kalendarzowy
10,2
8 Czarna
Ośrodek Nafta-Gaz
OR
rok kalendarzowy
5,4
9 Iwonicz Zdrój
Torosiewicza
rok kalendarzowy
6,6
U
10
Floriańska
OZ
rok kalendarzowy
15,9
Jasło
11
Sroczyńskiego
OZ
rok kalendarzowy
16,7
12 Komańcza
Ośrodek Zdrowia
rok kalendarzowy
7,1
OR
13 Krosno
Lewakowskiego
OZ
rok kalendarzowy
18,6
14 Polańczyk
Stacja Pomp
rok kalendarzowy
4,6
U
15 Rymanów Zdrój
Zdrojowa
rok kalendarzowy
7,7
U
16
Jezierskiego
OZ
rok kalendarzowy
10,1
Sanok
17
Jana Pawła II
OZ
rok kalendarzowy
15,4
18 Ustrzyki Dolne
Bełska
OZ
rok kalendarzowy
12,9
19 Przemyśl
Pl. Dominikański
OZ
rok kalendarzowy
19,7
20 Jarosław
Grunwaldzka
OZ
rok kalendarzowy
32,6
21 Horyniec Zdrój
Sobieskiego
rok kalendarzowy
11,98
U
22 Stalowa Wola
Niezłomnych
OZ
rok kalendarzowy
26,2
23
1 Maja
OZ
rok kalendarzowy
26,5
Tarnobrzeg
24
Św. Barbary
OZ
rok kalendarzowy
22,2
25 Nisko
Sopot
OZ
rok kalendarzowy
19,9
26 Lesko
Rynek
OZ
rok kalendarzowy
13,9
27 Żydowskie
PN
rok kalendarzowy
2,5
OZ – stacja wykonująca pomiary w kryterium ochrony zdrowia, OR – stacja wykonująca pomiary w kryterium ochrony roślin,
U– obszar uzdrowiska , PN – obszar Parku Narodowego
5
Liczba
przekroczeń
stężeń
rok / 1-godz.
-
-
-
-
Tabela nr 5. Zanieczyszczenie pyłem PM10 – wyniki uzyskane na stałych stacjach pomiarowych w 2006 r. w woj. podkarpackim
Lp.
1
2
2
4
5
6
7
8
9
10
Lokalizacja
Rzeszów
Rzeszów
Rzeszów
Jasło
Przemyśl
Tarnobrzeg
Sanok
Mielec
Dębica
Krosno
Stanowisko
pomiarowe
Szopena
Piłsudskiego
Wierzbowa
Floriańska
Pl. Dominikański
1 Maja
Jezierskiego
Zarząd Strefy
Parkowa
Kisielewskiego
Czas uśredniania
stężeń
rok kalendarzowy
rok kalendarzowy
rok kalendarzowy
rok kalendarzowy
rok kalendarzowy
rok kalendarzowy
rok kalendarzowy
rok kalendarzowy
rok kalendarzowy
rok kalendarzowy
Średnie stężenie
[µ
µg/m3]
PM10
52,4
29,8
21,3
45,2
48,1
37,1
23,1
28,9
29,4
23,3
Liczba przekroczeń
stężeń
24-godz. / rok
101
51
18
50
57
26
13
12
24
4
Tabela nr 6. Zanieczyszczenie ołowiem – wyniki uzyskane na stałych stacjach pomiarowych w 2006r. w woj. podkarpackim
Lp.
1
2
3
Lokalizacja
Przemyśl
Mielec
Jasło
Stanowisko
pomiarowe
Pl. Dominikański
Zarząd Strefy
Floriańska
Czas uśredniania
stężeń
Średnie stężenie
[µ
µg/m3]
rok kalendarzowy
rok kalendarzowy
rok kalendarzowy
0,03
0,08
0,02
Przekroczenia stężeń
średniorocznych
-
6
Tabela nr 7.
Lp.
1
2
3
4
5
6
7
8
9
10
11
12
13
14
15
16
17
18
19
Zanieczyszczenie benzenem w 2006 r. na terenie woj. podkarpackiego – pomiary pasywne
Lokalizacja
Jedlicze Rejtana
Jedlicze Parking Rafinerii
Jedlicze-Mickiewicza
Jedlicze Sikorskiego
Jedlicze Wałowa
Mielec Zarząd Strefy
Przemyśl Pl. Dominikański
Stalowa Wola Niezłomnych
Jasło Floriańska
Jasło Kopernika
Jasło Młynarska
Jasło Sportowa
Jasło Niegłowicka
Tarnobrzeg Św. Barbary
Tarnobrzeg Klonowa
Nisko Sopocka
Rzeszów Poznańska
Rzeszów Wielkopolska
Dębica
Stanowisko
pomiarowe
pasywne
pasywne
pasywne
pasywne
pasywne
pasywne
pasywne
pasywne
pasywne
pasywne
pasywne
pasywne
pasywne
pasywne
pasywne
pasywne
pasywne
pasywne
pasywne
Okres
uśredniania
stężeń
rok kalendarzowy
rok kalendarzowy
rok kalendarzowy
rok kalendarzowy
rok kalendarzowy
rok kalendarzowy
rok kalendarzowy
rok kalendarzowy
rok kalendarzowy
rok kalendarzowy
rok kalendarzowy
rok kalendarzowy
rok kalendarzowy
rok kalendarzowy
rok kalendarzowy
rok kalendarzowy
rok kalendarzowy
rok kalendarzowy
rok kalendarzowy
7
Średnie
stężenie
[µ
µg/m3]
2,9
2,4
1,8
2,3
1,8
2,05
4,8
2,7
2,3
2,7
2,6
3,1
2,6
1,8
1,1
2,6
1,6
2,1
1,5
Przekroczenia
stężeń
średniorocznych
-