Ad.1) Struktura klientów

Transkrypt

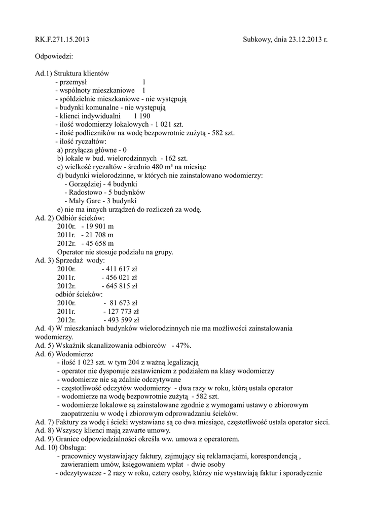
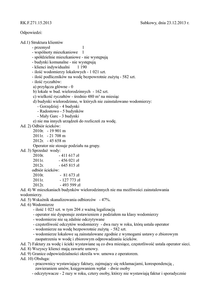
Ad.1) Struktura klientów
RK.F.271.15.2013
Subkowy, dnia 23.12.2013 r.
Odpowiedzi:
Ad.1) Struktura klientów
- przemysł
1
- wspólnoty mieszkaniowe 1
- spółdzielnie mieszkaniowe - nie występują
- budynki komunalne - nie występują
- klienci indywidualni
1 190
- ilość wodomierzy lokalowych - 1 021 szt.
- ilość podliczników na wodę bezpowrotnie zużytą - 582 szt.
- ilość ryczałtów:
a) przyłącza główne - 0
b) lokale w bud. wielorodzinnych - 162 szt.
c) wielkość ryczałtów - średnio 480 m³ na miesiąc
d) budynki wielorodzinne, w których nie zainstalowano wodomierzy:
- Gorzędziej - 4 budynki
- Radostowo - 5 budynków
- Mały Garc - 3 budynki
e) nie ma innych urządzeń do rozliczeń za wodę.
Ad. 2) Odbiór ścieków:
2010r. - 19 901 m
2011r. - 21 708 m
2012r. - 45 658 m
Operator nie stosuje podziału na grupy.
Ad. 3) Sprzedaż wody:
2010r.
- 411 617 zł
2011r.
- 456 021 zł
2012r.
- 645 815 zł
odbiór ścieków:
2010r.
- 81 673 zł
2011r.
- 127 773 zł
2012r.
- 493 599 zł
Ad. 4) W mieszkaniach budynków wielorodzinnych nie ma możliwości zainstalowania
wodomierzy.
Ad. 5) Wskaźnik skanalizowania odbiorców - 47%.
Ad. 6) Wodomierze
- ilość 1 023 szt. w tym 204 z ważną legalizacją
- operator nie dysponuje zestawieniem z podziałem na klasy wodomierzy
- wodomierze nie są zdalnie odczytywane
- częstotliwość odczytów wodomierzy - dwa razy w roku, którą ustala operator
- wodomierze na wodę bezpowrotnie zużytą - 582 szt.
- wodomierze lokalowe są zainstalowane zgodnie z wymogami ustawy o zbiorowym
zaopatrzeniu w wodę i zbiorowym odprowadzaniu ścieków.
Ad. 7) Faktury za wodę i ścieki wystawiane są co dwa miesiące, częstotliwość ustala operator sieci.
Ad. 8) Wszyscy klienci mają zawarte umowy.
Ad. 9) Granice odpowiedzialności określa ww. umowa z operatorem.
Ad. 10) Obsługa:
- pracownicy wystawiający faktury, zajmujący się reklamacjami, korespondencją ,
zawieraniem umów, księgowaniem wpłat - dwie osoby
- odczytywacze - 2 razy w roku, cztery osoby, którzy nie wystawiają faktur i sporadycznie
pobierają opłaty
- windykacją - 2 osoby.
Ad. 11) Baza danych klientów przekazana zostanie przy podpisaniu umowy, w formie papierowej.
Ad. 12) Przejęcie licencji oprogramowania służącego do do fakturowania i windykacji jest sprawą
umowną obecnego i przyszłego operatora sieci.
Ad. 13) Wskaźniki windykacji:
- ściągalność w terminie 50%
- ściągalność po 3 m-cach 10%
- ściągalność po roku 8%
Ad. 14) Wysokość zadłużenia:
- powyżej 31 dni ok. 70 000 zł
- powyżej 180 dni ok. 200 000 zł
- powyżej roku ok. 130 000 zł.
Ad. 15) Procedura jest uruchamiana po upływie 60 dni od terminu płatności należności.
Ad. 16) Operator dokonuje odcięć dostawy wody z powodu zadłużenia. Przy odcięciach wody
stosuje się przepisy ustawy o zbiorowym zaopatrzeniu w wodę i zbiorowym odprowadzaniu
ścieków.
Rocznie prowadzonych jest ok. 50 spraw tego typu.
Ad. 17) Gmina nie dysponuje lokalem nadającym się na biuro obsługi klientów.
B. Ujmowanie wody, stacje uzdatniania, hydrofornie
Ad. 18) W budżecie Gminy nie przewidziano środków finansowych na przeprowadzenie remontów
SUW. Planowane jest wykonanie drogi dojazdowej do SUW w Wielgłowach oraz stworzenie
dojazdu do Stacji w Gorzędzieju.
Nie istnieją porozumienia z właścicielami gruntów w zakresie dojazdów sprzętem do awarii,
operator wejścia na grunt uzgadnia we własnym zakresie.
Studnie głębinowe:
SUW Subkowy G80/VI, 12 kW, 1 rok eksploatacji, 2 szt.
G100/X, 18kW, 4 lata eksploatacji, 1 szt.
SUW Wielgłowy G80/X 22kW, 5 lat eksploatacji, 2 szt.
SUW Waćmierz G80/VI 18kW, 1 rok eksploatacji
G60/X, 8 kW, 1 rok eksploatacji
SUW Gorzędziej GBA 210, 1,5 kW, 3 lata eksploatacji, 2 szt.
Operator posiada aktualne badania instalacji elektroenergetycznych. ( w załączeniu wyniki).
Hydrofornie
a) sprężarki: SUW Subkowy - 5 lat, ostatnia naprawa przeprowadzona w 2009 r.
SUW Waćmierz - 6 lat, ostatnia naprawa przeprowadzona w 2008 r.
SUW Gorzędziej - 2 lata
SUW Wielgłowy - 2 lata,
w rezerwie jest jedna sprężarka.
b) odżelaziacze wypełnione są masą G1, czas eksploatacji w stacjach Subkowy, Waćmierz i
Wielgłowy wynosi 6 lat, w których następowało uzupełnienie żwirków.
W SUW Gorzędziej odżelaziacze wypełnione są również masa G1 i są 3 lata eksploatowane,
c) głównymi problemami eksploatacyjnymi są: wysoki poziom w wodzie surowej jonu amonowego,
żelaza i manganu.
d) niesprawny jest jeden piec akumulacyjne w SUW Waćmierz.
Ewentualna wymiana i pokrycie kosztów następować będzie w uzgodnieniu z właścicielem sieci.
e) możliwość zasilania awaryjnego za pomocą agregatu prądotwórczego istnieje w Stacji
Gorzędziej i Subkowy. Do dyspozycji operatora jest agregat prądotwórczy o mocy 30 kW,
ANDORIA.
Ad. 19) Wodomierze
SUW Subkowy MP Ø 100, 2 szt. utraciły ważność legalizacji,
studnie MWN MK Ø 100, 2 szt., legalizacja ważna do 2017 roku
MWN MK Ø 150, 1 szt., legalizacja ważna do 2017 roku
SUW Gorzędziej MP Ø 65, 2 szt., legalizacja ważna do 2014 roku
studnie MP Ø 80, 2 szt.,legalizacja ważna do 2014 roku
SUW Wielgłowy MP Ø 100, 2 szt., utraciły ważność legalizacji,
studnie MK Ø 150, 2 szt., utraciły ważność legalizacji,
SUW Waćmierz MP Ø 50, 1 szt., utracił ważność legalizacji,
studnie: nr 1, MK Ø 80, utracił ważność legalizacji,
nr 2, brak wodomierza.
Ad. 20) Obiekty wyposażone są w sprzęt ppoż. i apteczki pierwszej pomocy i przechodzi wraz z
dzierżawionym majątkiem.
Ad. 21) Urządzenia ciśnieniowe i zawór bezpieczeństwa posiadają książki i paszporty UDT.
SUW Waćmierz:
hydrofor i zawór do 2014 r.
sprężarka do 2016 r.
SUW Wielgłowy
hydrofor i zawór do 2014 r.
sprężarka do 2014 r.
SUW Gorzędziej
hydrofor i zawór do 2016 r.
sprężarka do do 2016 r.
SUW Subkowy
hydrofor i zawór do 2016 r.
sprężarka do 2015 r.
Ad. 22) Wyniki w załączeniu.
Ad. 23) Operator nie posiada ewidencji w tym zakresie.
Ad. 24) SUW Gorzędziej wyposażona jest w system przekazywania sms-em informacji o awariach
w stacji, bez gromadzenia danych.
Ad. 25) Informacje zawarte są w zał. nr 2a do SiWZ.
Ad. 26) Zbiorniki maja po 150 m³ każdy, myte są w zależności od potrzeb, średnio co pół roku.
Ostatnie mycie wykonano w e wrześniu br.
Ad. 27) Obowiązkiem ochrony dzierżawionych obiektów zgodnie z projektem umowy do SiWZ
obciążony jest Wykonawca.
Gmina nie posiada opracowanych planów ochrony.
C. Sieć wodociągowa
Ad. 28) Informacje na temat powiadomień o planowanych przerwach w dostawie wody zawarte są
w § 38 Regulaminu dostarczania wody i odprowadzania ścieków, dostępnego na stronie
internetowej gminy Subkowy ( bip.subkowy.pl w zakładce Plany, programy, regulaminy)
Ad. 29) J/w.
Ad. 30) Schematy zasilania poszczególnych miejscowości opracowane sa na mapie formatu A1,
będącej w posiadaniu gminy. Gmina nie dysponuje sprzętem do powielania map
wielkoformatowych.
Alternatywne zasilanie mozliwe jest:
z m. Gorzędziej do m. Narkowy,
z m. Subkowy przez m. Narkowy do m. Gorzędziej,
z m. Subkowy do m. Brzuśce i Radostowo,
z m. Brzuśce do m. Subkowy ( osiedle Witosa i Jana Pawła II).
Ad. 31) Informacje zawarte są w zał. nr 2a do SiWZ.
Operator nie posiada bardziej szczegółowych danych.
Ilość wymienionych przyłączy, długość i koszt zawarto w pkt 93.
Ad. 32) Przegląd sprawności hydrantów przeprowadzono w br.
Sprawdzono 266 hydrantów, z tego 63 jest niesprawnych.
Ad. 33) Koszt wymiany hydrantów pokrywa operator sieci.
Ad. 34) Studnie wodomierzowe eksploatuje operator sieci w ilości 50 szt.
Ad. 35) Istnieje jedna przepompownia wody w m. Brzuśce na wodociągu zasilającym m.
Radostowo.
Ad. 36 Operator posiada umowę na cele p.poż. podpisana z gminą. Woda jest naliczana na
podstawie poboru wody przez wóz strażacki ze zbiornikiem na wodę w ilości pojemności zbiornika
pomnożonej przez ilość tankowań.
Stawki za pobór wody do celów p.poż. pokrywają się z taryfami.
Ad. 37) Oznakowanie tabliczkami H i domiarowymi uzbrojenia i koszty z nimi związane stanowić
będą dodatkowe uzgodnienia Wykonawcy z Zamawiającym.
Ad. 38) W m. Gorzędziej, Waćmierz, Brzuśce i w części Subkowy Dworzec istnieją tylko mapy
projektowe. Pozostałe sieci są zinwentaryzowane.
Koszty inwentaryzacji sieci leżą po stronie zamawiającego.
Ad. 39) Zakup nowych wodomierzy do SUW i studni głębinowych pokrywa zamawiający, ich
montaż - operator. Na sieciach zewnętrznych nie są zainstalowane wodomierze ani
przepływomierze ( ich montażu nie przewidywały opracowania projektowe).
Ad. 40) Obowiązek rozliczania i zatwierdzania każdej awarii wynika z tego, że zamawiający chce
mieć kontrolę nad stanem awaryjności i kosztami.
D. Oczyszczalnie ścieków.
Ad. 41) Obsługą oczyszczalni ścieków zajmują się 2 osoby w systemie dochodzącym.
25 rbg/tydzień.
Ad. 42) Zagospodarowanie ścieków:
- oczyszczalnia Gorzędziej - w formie płynnej wywożone sa do stacji w ZWiK Tczew, w
ilości 120 - 140 m³,
- oczyszczalnia Subkowy - osad stały składowany jest na terenie oczyszczalni, parametry
jakościowe umożliwiają stosowanie ich w rolnictwie oraz do rekultywacji gruntów na cele
rolnicze,
ilość osadu 3 tony
Koszty związane z utylizacją ponosi operator.
Ad. 43) Gwarant odpowiada za zakres zrealizowanych zamówień przez okres 3 lat wynikających z
wad i usterek. Wykonawca odpowiada natomiast za materiały eksploatacyjne i za uszkodzenia
spowodowane niewłaściwym użytkowaniem.
Koszty wynikające z zaniedbani eksploatacyjnych ponosi eksploatator.
Ad. 44) Gmina nie planuje przenieść uprawnień gwarancyjnych i wynikających z rękojmi na
Wykonawcę.
Ad. 45) W procesie oczyszczania nie stosuje się środków chemicznych.
Ad. 46) Ilość odpadów 1,5 tony. Wywożone są do ZUOS w Tczewie.
Ad. 47) Sterownie oczyszczalniami - ręczne.
Ad. 48) Operator nie zajmuje się obsługa zbiorników bezodpływowych na terenie gminy.
Ad. 49) Punkt odbioru ścieków ze względu na procesy związane z rozruchem i małą ilością ścieków
dopływających do oczyszczalni nie został uruchomiony.
Ad. 50) Krat czyszczonych ręcznie jest ogółem 7 szt., czyszczone odbywa się średnio raz w
tygodniu.
Ad. 51) Osadnik wstępny w oczyszczalni w Gorzędzieju czyszczony jest raz w miesiącu, kosze w
reaktorze trzy razy w roku.
Ad. 52) Wymienione dokumenty są w posiadaniu operatora.
W oczyszczalni w m. Subkowy trwa usuwanie usterek wykrytych w okresie gwarancji.
Ad. 53) Opróżnianie osadników Imhoffa odbywa się co 2 tygodnie.
Ad. 54) Badania ochronne na obiektach były przeprowadzone w br.
Ad. 55) W zał. 2a do SiWZ podane są wszystkie awarie łącznie z zatorami.
2010r.
2011r.
2012r.
- ilość zawałów kanalizacji
3
4
5
- awarie przewodów tłocznych
1
1
2
Ad. 56) Rodzaje i awarie pomp zatapialnych:
2012r.
2013r.
- zablokowania
średnio jedna dziennie
- przepalenie uzwojeń
10
9
- naturalne zużycie
od 201 r. łącznie 5 szt.
Ad. 57) Nie podłączonych do sieci kanalizacyjnej jest 20 gospodarstw. Egzekwowaniem obowiązku
przyłączenia nieruchomości do sieci zajmuje się gmina.
Ad. 58) Praca pompowni nadzorowana jest telemetrycznie za wyjątkiem P 4 i P 5 w Gorzędzieju.
Dane archiwalne są w dyspozycji operatora sieci.
Ad. 59) Problem uciążliwości z występowaniem odorów pojawia się sporadycznie, w okresach
spadku ciśnienia.
Ad. 60) Badani były przeprowadzone w bieżącym roku.
Ad. 61) Gorzędziej:
P1 - SEG 40 i SEG 34, produkcji z 2008 r., montaż w 2008 r., moc 3 kW, napięcie 380 V,
awaryjność - raz na dwa miesiące, praca - 45 godz. tygodniowo,
P2 - ZZS - 20szt., produkcji z 2002 r., montaż w 2003 r., moc 4,2 kW, napięcie 380 V,
awaryjność - raz na dwa miesiące, praca - 32 godz. tygodniowo,
P3 - SVO 14BL - szt. 2, produkcji z 2003 r., montaż w 2003 r., moc 2,9 kW napięcie 380 V,
awaryjność - raz na trzy miesiące, praca - 6 godz. tygodniowo,
P4 - OMA 80/S, 2 szt., produkcji z 2001 r., montaż w 2003 r., moc 1,65 kW napięcie 380 V,
awaryjność - raz na rok, brak pomiarów,
P5 - BIOX 200/8 - szt. 1, produkcji z 2002 r., montaż w 2003 r., moc 0,9 kW napięcie 230 V,
awaryjność - raz na rok, brak pomiarów,
- BIOX 230/8 - szt. 1, produkcji z 2002 r., montaż w 2003 r., moc 1,2 kW napięcie 230 V,
awaryjność - raz na rok, brak pomiarów.
Subkowy :
1) Przepompownie w ul. Wodnej, Sportowej, Kościelnej, Zamkowej, Wybickiego i Sikorskiego
wyposażono w układ dwóch pomp typu ASO830.186-S13/4, silnik o mocy 1,3 kW, silnik 3-fazowy
z rozruchem bezpośrednim, praca pomp odpowiednio: 5 godz., 5 godz., 8 godz., 2 godz. , 16 godz.,
1 godz. - w tygodniu.
2) Przepompownie w ul. Gdańskiej ( 2 szt.), Dworcowej, Za Dworcem, Ogrodowej i Sportowej
wyposażono w układ 2 pomp typu S50-172/002 VLG140 z silnikiem o mocy 1,3 kW, 3-fazowy z
rozruchem bezpośrednim, oraz pompy RSPZ-D1.3-C-16A.D.F.G., praca pomp odpowiednio: 6 i 5
godz., 4 godz., 1 godz., 2,5 godz., 7 godz. - w tygodniu.
Ad. 62) Okres gwarancji na nowo wybudowane obiekty upływa w w 2014 i 2015 r.
Okres rękojmi wynosi trzy lata.
Ad. 63) Gmina nie planuje przenosić uprawnień gwarancyjnych i wynikających z rękojmi na
wykonawcę.
F. Ochrona środowiska
Ad. 64) Gmina nie posiada decyzji ustalających strefy ochrony bezpośredniej, zgodnie z ustawą
prawo wodne art. 51 i 52 pkt 3 ( Dz. U. z 2013 r. poz.145), ani pozwoleń dot. gospodarki odpadami.
Ad. 65) Kopie pozwoleń wodnoprawnych są dołączone do SiWZ. Oryginały dostępne są w
Urzędzie Gminy.
Ad. 66) Nowe pozwolenia wodnoprawne i opracowania z nimi związane są realizowana przez
gminę.
Ad. 67) Opłaty związane z uzyskaniem pozwoleń ww. ponosi gmina, a wykonanie zaleceń z nich
wynikające spoczywa na wykonawcy.
Ad. 68) Ścieki z osadników Imhoffa wywożone są beczkowozami.
Ad. 69) Wody popłuczne odprowadzane są do zbiorników wód popłucznych, pozwolenia
wodnoprawne obejmują również odprowadzanie ścieków z SUW.
Ad. 70) Nie ma instalacji emitujących zanieczyszczenia do powietrza.
Ad. 71) Nie ma .
Ad. 72) § 4 pkt 12 projektu umowy mówi o usuwaniu awarii.
Ad. 73) § 4 pkt 37 projektu umowy mówi o odzysku i unieszkodliwianiu odpadów zgodnie z
przepisami. Co umożliwia przekazywanie odpadów do odzysku i innych procesów
unieszkodliwiania.
G. Koszty, ubezpieczenia i podatki
Ad. 74) SiWZ rozdział VI, ust. 1, pkt 11 informuje, że wykonawca przedstawi oświadczenie, że na
czas obowiązywania umowy będzie posiadał ubezpieczenie OC oraz, że dopuszcza się zawarcie
polisy w okresach 12 miesięcznych.
Ad. 75) Odpowiedź zawarta jest w Państwa pytaniu nr 76.
Ad. 76) Ad. 77) SiWZ rozdział VI, ust. 1, pkt 11 informuje, że wykonawca przedstawi oświadczenie.
Ad. 78 i 79) " Innym dokumentem" może być certyfikat potwierdzający posiadanie ubezpieczania
w wymaganej wartości i opłaconej składce wystawiony przez ubezpieczyciela a w
przypadku kopii potwierdzony za zgodność z oryginałem.
Ad. 80) Patrz - SiWZ rozdział VI, ust. 1, pkt 11.
Ad. 81) Patrz - SiWZ rozdział VI, ust. 1, pkt 11.
Ad. 82) Plany inwestycyjne zawarte sa w uchwałach budżetowych Rady Gminy dostępnych na
stronach internetowych gminy (bip.subkowy.pl). Płatność podatków następować będzie zgodnie z
zapisami SiWZ w rozdz. XX.
Ad. 83) Wielkość sprzedaży wody w stosunku do jej produkcji w ostatnich trzech latach
utrzymywała się w przedziale 66-72%.W 2011r. - 66%, 2012r. - 69%, w 2013 r. - 71%.
Ad. 84) Grunt pod osadnikiem Imhoffa w Małym Garcu nie jest własnością Gminy i nie jest
wliczony do użytkowania.
Ad. 85) Zapis zawarty w § 7 pkt 8 dotyczy możliwych do uzyskania parametrów w ramach
dostępnej technologii.
Ad. 86) Zamawiający ponosi koszty wymienione w § 7 pkt 8 po otrzymaniu stosownego wniosku
od operatora i uwzględnieniu ich w budżecie gminy.
Ad. 87) Koszty:
a) ilość wody zakupionej w 2012 r. zawiera zał. nr 2a do SiWZ w 2013 r. przewiduje się zakup
ok. 1 440 m³, wartość - w 2012 r. - 3,18 zł/ m³, w 2013 r. - 3,35 zł/ m³,
b) opłaty za korzystanie ze środowiska w 2012 r. wynosiły :
woda - 7 177 zł
ścieki - 1 664 zł
c) w 2014 r. gmina nie przewiduje dopłat do taryf
d) opłaty wym. w § 4 pkt 30 związane są z prowadzona działalnością i pokrywane sa przez
operatora sieci,
e) w związku z rozbudową sieci kanalizacyjnej planowana ilość odebranych ścieków w okresie
2014 -2018 wzrośnie o ok. 1 800 m³ .
Natomiast sprzedaż wody w związku z rozbudową sieci wzrośnie niewiele, są to sieci
łączące wodociągi grupowe i doprowadzające wodę do pojedynczych zabudowań,
szacunkowy wzrost na poziomie ok. 500 m³,
f) dane dot. zakupu energii elektrycznej zawarte są w zał. nr 2a do SiWZ,
g) stawku podatków uchwalane są corocznie, obowiązujące w 2014 r. dostępne są na stronie
internetowej (bip.subkowy.pl).
H. Pracownicy, istniejące umowy, decyzje
Ad. 88) Nie przewiduje się żadnej osoby do przejęcia przez Wykonawcę w ramach umowy.
Ad. 89) Tak. Obecnie umowy zawarte są przez operatora sieci - Spółdzielnię Kółek Rolniczych.
Obiekty mają niezależne opomiarowanie.
Ad. 90) Punkt odbioru ścieków nie jest uruchomiony.
Ad. 91) Zalecenia wynikające z pozwoleń wodnoprawnych m.in. wymiana wodomierzy w
studniach.
Ad. 92 Badania jakości ścieków 2 razy w roku, wody - w/g harmonogramu ustalonego z
Państwowy Powiatowym Inspektorem Sanitarnym w Tczewie.
I. Modernizacje, inwestycje, warunki techniczne
Ad. 93) 2010r. - 4 przyłącza, koszt 3 000 zł,
2011r - 3 przyłącza, koszt 3 500 zł,
2012r. - 4 przyłącza, koszt 3 500 zł,
2013r. - 5 przyłączy, koszt 5 000 zł.
Ad. 94) Budowę przyłączy finansuje osoba chcąca się przyłączyć do sieci.
Ad. 95) Gmina ma w dyspozycji ok. 70% inwentaryzacji powykonawczych sieci. Resztę stanowią
projekty budowy sieci.
Ad. 96) Projekty rozbudowy opracowuje i uzgadnia gmina.
Ad. 97) Warunki techniczne wydaje nieodpłatnie eksploatator sieci.
Ad. 98) Nadzór nad wykonaniem sieci realizowanych przez Gminę wykonują specjaliści przez nią
zatrudnieni, natomiast nadzór nad budową przyłączy sprawuje eksploatator.
Ad. 99) Dokumentacja techniczna obiektów znajduje się u eksploatatora a inwentaryzacje sieci u
Zamawiającego.
Ad. 100) Wymiana wyeksploatowanego wyposażenia finansowana bezie na zasadach opisanych w
§ 7, 8 i 9 projektu umowy.
Ad. 101) Procedura zgłaszania potrzeb w tym zakresie określona została w §4 pkt 17 projektu
umowy.
Ad. 102) Zakres odpowiedzialności został określony w projekcie umowy.
Ad. 103) Potrzeby inwestycyjne i modernizacyjne zgłaszane będą zgodnie z zapisem § 4 pkt 17
projektu umowy.
Ad. 104) Gmina nie dysponuje miejscem na zaplecze techniczne.
Ad. 105) Brak jest sprzętu i urządzeń nie związanych z obiektami do przejęcia przez Wykonawcę.
Ad. 106) Koszty związane z remontami kapitalne budynków SUW, wymianą instalacji elektrycznej
na zasadach przedstawionych w projekcie umowy pokrywa zamawiający, naprawy - pokrywa
wykonawca.
Ad. 107) Dokumentacje techniczne poszczególnych obiektów znajdują się w dyspozycji operatora.
Ad. 108) Elektroenergetyczne pomiary ochronne instalacji i urządzeń wykonane zostały w sierpniu
2013 r. , następne przewidziane są za rok.
Ad. 109) Obsługę i konserwację urządzeń należy przeprowadzać zgodnie z DTR producenta.
W szczególności należy dbać o systematyczną wymianę olejów w urządzeniach.
Prace przy urządzeniach elektrycznych może wykonywać elektryk posiadający świadectwo
kwalifikacyjne obsługi urządzeń elektroenergetycznych.
Corocznie należy wykonywać przeglądy techniczne instalacji urządzeń elektroenergetycznych
obiektów i urządzeń włącznie z pomiarami ochronnymi.
Ad. 110) Właścicielem jest gmina, podlega on przekazaniu wyłonionemu w postępowaniu
przetargowym operatorowi, dostęp do systemu dla SNG uzgodniony zostanie odrębnie,
operator posiada opis techniczny systemu.
Właścicielem systemu jest Hydro-Partner, Leszno.
Koszty eksploatacji - 1 500 zł/m-c.
Ad. 111) Ochrona powierzonego mienia polega na uniemożliwieniu dostępu z wykorzystaniem
istniejących zabezpieczeń osobom postronnym.
Elementarne wymogi to:
- ogrodzenie obiektów,
- zamknięcie włazów do studni i zbiorników retencyjnych,
- zamknięcie bram wjazdowych,
- zamknięcie drzwi do obiektów.
Zamawiający nie przewiduje instalacji monitoringu na obiektach.
Ad. 112) Operator jest w posiadaniu wszystkich wymienionych dokumentów.
Ad. 113) Nie. Wykonawca zobowiązany jest do przygotowania niezbędnych informacji dla
zamawiającego w wymaganym zakresie. Wnioski aplikacyjne przygotowywane są przez gminę.
Wójt
Mirosław Murzydło