Załączniki

Transkrypt

Załączniki
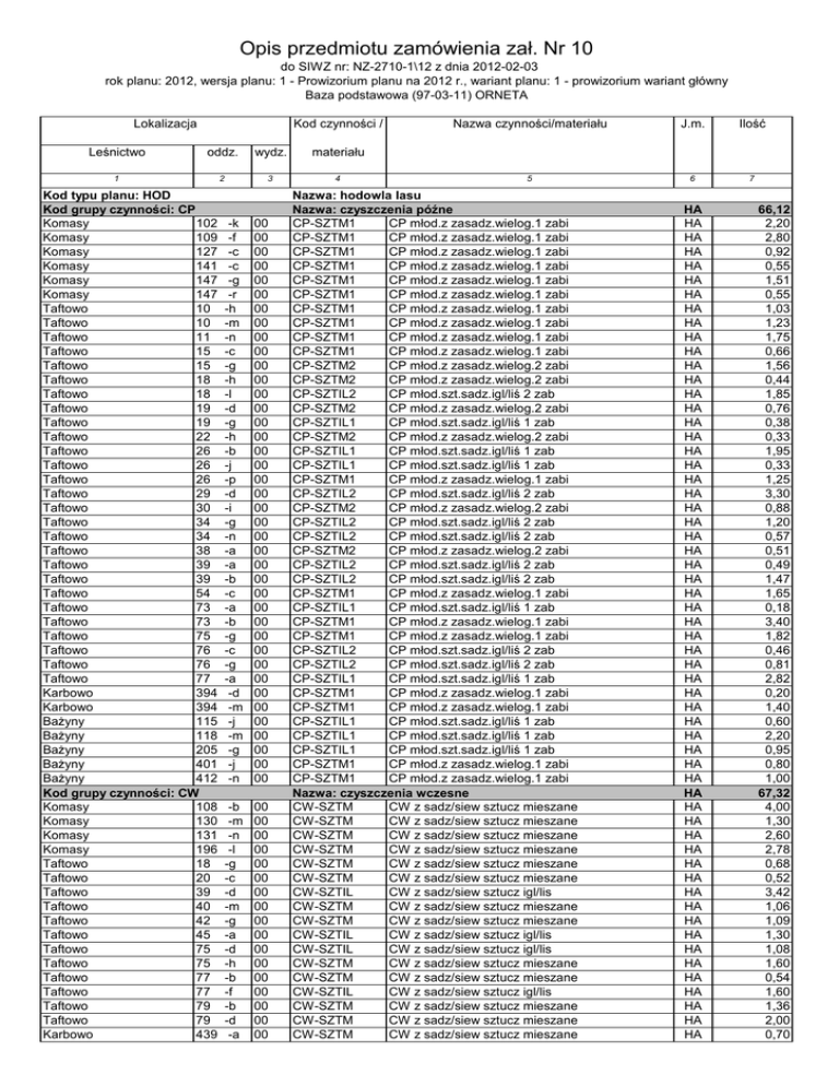
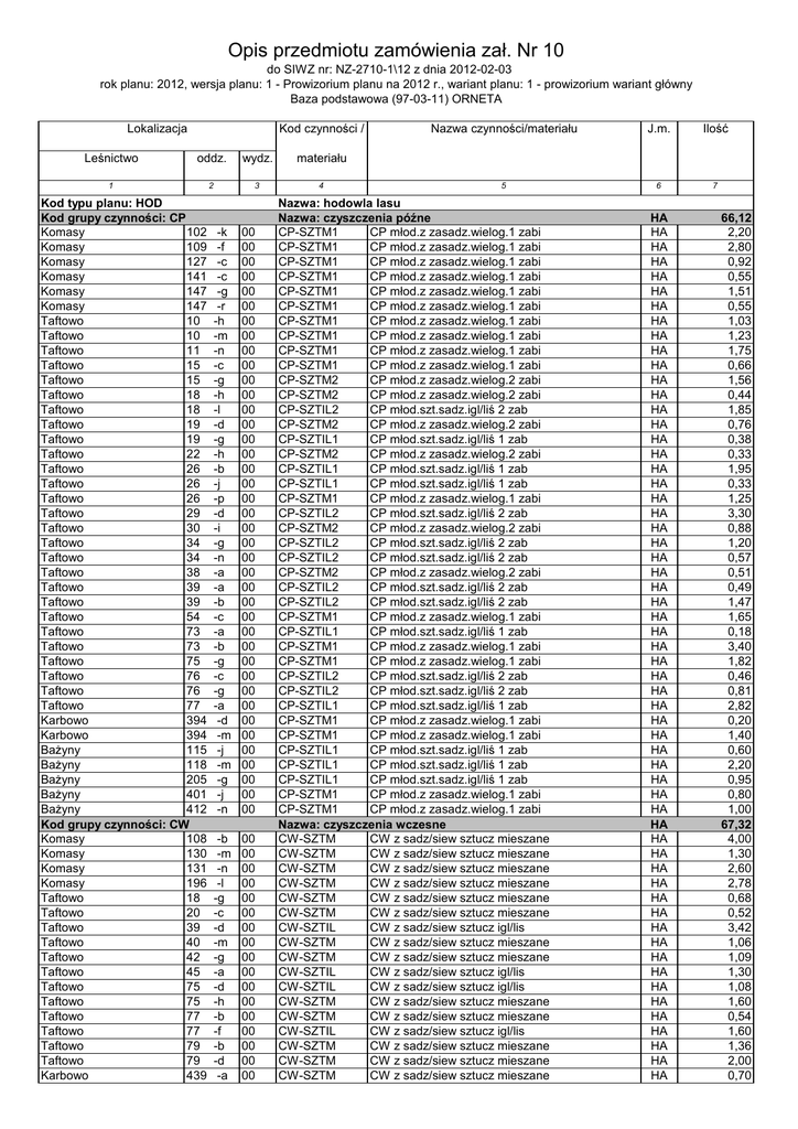
Opis przedmiotu zamówienia zał. Nr 10
do SIWZ nr: NZ-2710-1\12 z dnia 2012-02-03
rok planu: 2012, wersja planu: 1 - Prowizorium planu na 2012 r., wariant planu: 1 - prowizorium wariant główny
Baza podstawowa (97-03-11) ORNETA
Lokalizacja
Kod czynności /
Leśnictwo
oddz.
wydz.
1
2
3
Kod typu planu: HOD
Kod grupy czynności: CP
Komasy
102
Komasy
109
Komasy
127
Komasy
141
Komasy
147
Komasy
147
Taftowo
10
Taftowo
10
Taftowo
11
Taftowo
15
Taftowo
15
Taftowo
18
Taftowo
18
Taftowo
19
Taftowo
19
Taftowo
22
Taftowo
26
Taftowo
26
Taftowo
26
Taftowo
29
Taftowo
30
Taftowo
34
Taftowo
34
Taftowo
38
Taftowo
39
Taftowo
39
Taftowo
54
Taftowo
73
Taftowo
73
Taftowo
75
Taftowo
76
Taftowo
76
Taftowo
77
Karbowo
394
Karbowo
394
Bażyny
115
Bażyny
118
Bażyny
205
Bażyny
401
Bażyny
412
Kod grupy czynności: CW
Komasy
108
Komasy
130
Komasy
131
Komasy
196
Taftowo
18
Taftowo
20
Taftowo
39
Taftowo
40
Taftowo
42
Taftowo
45
Taftowo
75
Taftowo
75
Taftowo
77
Taftowo
77
Taftowo
79
Taftowo
79
Karbowo
439
-k
-f
-c
-c
-g
-r
-h
-m
-n
-c
-g
-h
-l
-d
-g
-h
-b
-j
-p
-d
-i
-g
-n
-a
-a
-b
-c
-a
-b
-g
-c
-g
-a
-d
-m
-j
-m
-g
-j
-n
00
00
00
00
00
00
00
00
00
00
00
00
00
00
00
00
00
00
00
00
00
00
00
00
00
00
00
00
00
00
00
00
00
00
00
00
00
00
00
00
-b
-m
-n
-l
-g
-c
-d
-m
-g
-a
-d
-h
-b
-f
-b
-d
-a
00
00
00
00
00
00
00
00
00
00
00
00
00
00
00
00
00
Nazwa czynności/materiału
J.m.
Ilość
5
6
7
materiału
4
Nazwa: hodowla lasu
Nazwa: czyszczenia późne
CP-SZTM1
CP młod.z zasadz.wielog.1 zabi
CP młod.z zasadz.wielog.1 zabi
CP-SZTM1
CP młod.z zasadz.wielog.1 zabi
CP-SZTM1
CP młod.z zasadz.wielog.1 zabi
CP-SZTM1
CP młod.z zasadz.wielog.1 zabi
CP-SZTM1
CP młod.z zasadz.wielog.1 zabi
CP-SZTM1
CP młod.z zasadz.wielog.1 zabi
CP-SZTM1
CP młod.z zasadz.wielog.1 zabi
CP-SZTM1
CP młod.z zasadz.wielog.1 zabi
CP-SZTM1
CP młod.z zasadz.wielog.1 zabi
CP-SZTM1
CP młod.z zasadz.wielog.2 zabi
CP-SZTM2
CP młod.z zasadz.wielog.2 zabi
CP-SZTM2
CP młod.szt.sadz.igl/liś 2 zab
CP-SZTIL2
CP młod.z zasadz.wielog.2 zabi
CP-SZTM2
CP młod.szt.sadz.igl/liś 1 zab
CP-SZTIL1
CP młod.z zasadz.wielog.2 zabi
CP-SZTM2
CP młod.szt.sadz.igl/liś 1 zab
CP-SZTIL1
CP młod.szt.sadz.igl/liś 1 zab
CP-SZTIL1
CP młod.z zasadz.wielog.1 zabi
CP-SZTM1
CP młod.szt.sadz.igl/liś 2 zab
CP-SZTIL2
CP młod.z zasadz.wielog.2 zabi
CP-SZTM2
CP młod.szt.sadz.igl/liś 2 zab
CP-SZTIL2
CP młod.szt.sadz.igl/liś 2 zab
CP-SZTIL2
CP młod.z zasadz.wielog.2 zabi
CP-SZTM2
CP młod.szt.sadz.igl/liś 2 zab
CP-SZTIL2
CP młod.szt.sadz.igl/liś 2 zab
CP-SZTIL2
CP młod.z zasadz.wielog.1 zabi
CP-SZTM1
CP młod.szt.sadz.igl/liś 1 zab
CP-SZTIL1
CP młod.z zasadz.wielog.1 zabi
CP-SZTM1
CP młod.z zasadz.wielog.1 zabi
CP-SZTM1
CP młod.szt.sadz.igl/liś 2 zab
CP-SZTIL2
CP młod.szt.sadz.igl/liś 2 zab
CP-SZTIL2
CP młod.szt.sadz.igl/liś 1 zab
CP-SZTIL1
CP młod.z zasadz.wielog.1 zabi
CP-SZTM1
CP młod.z zasadz.wielog.1 zabi
CP-SZTM1
CP młod.szt.sadz.igl/liś 1 zab
CP-SZTIL1
CP młod.szt.sadz.igl/liś 1 zab
CP-SZTIL1
CP młod.szt.sadz.igl/liś 1 zab
CP-SZTIL1
CP młod.z zasadz.wielog.1 zabi
CP-SZTM1
CP młod.z zasadz.wielog.1 zabi
CP-SZTM1
Nazwa: czyszczenia wczesne
CW z sadz/siew sztucz mieszane
CW-SZTM
CW z sadz/siew sztucz mieszane
CW-SZTM
CW z sadz/siew sztucz mieszane
CW-SZTM
CW z sadz/siew sztucz mieszane
CW-SZTM
CW z sadz/siew sztucz mieszane
CW-SZTM
CW z sadz/siew sztucz mieszane
CW-SZTM
CW-SZTIL
CW z sadz/siew sztucz igl/lis
CW z sadz/siew sztucz mieszane
CW-SZTM
CW z sadz/siew sztucz mieszane
CW-SZTM
CW z sadz/siew sztucz igl/lis
CW-SZTIL
CW z sadz/siew sztucz igl/lis
CW-SZTIL
CW z sadz/siew sztucz mieszane
CW-SZTM
CW-SZTM
CW z sadz/siew sztucz mieszane
CW-SZTIL
CW z sadz/siew sztucz igl/lis
CW-SZTM
CW z sadz/siew sztucz mieszane
CW-SZTM
CW z sadz/siew sztucz mieszane
CW-SZTM
CW z sadz/siew sztucz mieszane
HA
HA
HA
HA
HA
HA
HA
HA
HA
HA
HA
HA
HA
HA
HA
HA
HA
HA
HA
HA
HA
HA
HA
HA
HA
HA
HA
HA
HA
HA
HA
HA
HA
HA
HA
HA
HA
HA
HA
HA
HA
HA
HA
HA
HA
HA
HA
HA
HA
HA
HA
HA
HA
HA
HA
HA
HA
HA
HA
66,12
2,20
2,80
0,92
0,55
1,51
0,55
1,03
1,23
1,75
0,66
1,56
0,44
1,85
0,76
0,38
0,33
1,95
0,33
1,25
3,30
0,88
1,20
0,57
0,51
0,49
1,47
1,65
0,18
3,40
1,82
0,46
0,81
2,82
0,20
1,40
0,60
2,20
0,95
0,80
1,00
67,32
4,00
1,30
2,60
2,78
0,68
0,52
3,42
1,06
1,09
1,30
1,08
1,60
0,54
1,60
1,36
2,00
0,70
Karbowo
441 -p
Karbowo
441 -r
Bażyny
119 -f
Bażyny
333 -d
Bażyny
335 -f
Bażyny
340 -h
Bażyny
398 -d
Bażyny
412 -g
Bażyny
428 -p
Bażyny
444 -a
Kod grupy czynności: H-POZ
Karbowo
Karbowo
Karbowo
Karbowo
Karbowo
Karbowo
Karbowo
Karbowo
Karbowo
Kod grupy czynności: MA-PORZ
52 -i
Komasy
52 -i
Komasy
98 -i
Komasy
98 -i
Komasy
98 -k
Komasy
98 -k
Komasy
99 -c
Komasy
99 -c
Komasy
99 -m
Komasy
99 -m
Komasy
110 -l
Komasy
110 -l
Komasy
141 -d
Komasy
141 -d
Komasy
163 -g
Komasy
163 -g
Komasy
163 -i
Komasy
163 -i
Komasy
171 -h
Komasy
171 -h
Komasy
194 -b
Komasy
194 -b
Komasy
194 -c
Komasy
194 -c
Komasy
194 -g
Komasy
194 -g
Komasy
194 -i
Komasy
194 -i
Komasy
199 -b
Komasy
199 -b
Komasy
199 -c
Komasy
199 -c
Komasy
200 -i
Komasy
200 -i
Komasy
5 -l
Taftowo
5 -l
Taftowo
5 -n
Taftowo
5 -n
Taftowo
Taftowo
5 -o
5 -o
Taftowo
6 -g
Taftowo
6 -g
Taftowo
Taftowo
6 -m
Taftowo
6 -m
Taftowo
7 -h
Taftowo
7 -h
Taftowo
9 -f
Taftowo
9 -f
Taftowo
24 -d
Taftowo
24 -d
00
00
00
00
00
00
00
00
00
00
00
00
00
00
00
00
00
00
00
00
00
00
00
00
00
00
00
00
00
00
00
00
00
00
00
00
00
00
00
00
00
00
00
00
00
00
00
00
00
00
00
00
00
00
00
00
00
00
00
00
CW z sadz/siew sztucz mieszane
CW-SZTM
CW z sadz/siew sztucz mieszane
CW-SZTM
CW z sadz/siew sztucz igl/lis
CW-SZTIL
CW z sadz/siew sztucz igl/lis
CW-SZTIL
CW z sadz/siew sztucz igl/lis
CW-SZTIL
CW z sadz/siew sztucz igl/lis
CW-SZTIL
CW z sadz/siew sztucz igl/lis
CW-SZTIL
CW z sadz/siew sztucz igl/lis
CW-SZTIL
CW z sadz/siew sztucz igl/lis
CW-SZTIL
CW z sadz/siew sztucz igl/lis
CW-SZTIL
Nazwa: pozostałe prace z hodowli lasu
dołow. 1 lat. igl. z donies.
DOŁ-1I
dołow. 1 lat. liśc. z donies.
DOŁ-1L
dołow. 2-3 l liśc. z donies.
DOŁ-2L
dołow. 4-5 lat. liśc. z donies
DOŁ-4L
Prace godz.ręcz.z zagos.w godz
GODZ RHH
załad.1lat.igl.rozład.-zabezp.
ZAŁ-1IL
zał.rozł.zabezp.1l.igl.pojemn.
ZAŁ-1IP
załad.2-3l.liś.rozład. zabezp.
ZAŁ-2LL
załad.4-5l.liś.rozład. zabezp.
ZAŁ-4LL
Nazwa: porządkowanie pow.zrębowych
PORZ-STOS
wyn.ukł.pozost.pozręb.w stosy
WPOD-32N
Wyc.z.u.10-30%pokr.podsz.1-2.n
PORZ-STOS
wyn.ukł.pozost.pozręb.w stosy
WPOD>62N
Wyc.z.u.pow61%pokr.podsz.1-2.n
PORZ-STOS
wyn.ukł.pozost.pozręb.w stosy
WPOD-62N
Wyc.z.u.31-60%pokr.podsz.1-2.n
PORZ-STOS
wyn.ukł.pozost.pozręb.w stosy
WPOD-32N
Wyc.z.u.10-30%pokr.podsz.1-2.n
PORZ-STOS
wyn.ukł.pozost.pozręb.w stosy
WPOD-62N
Wyc.z.u.31-60%pokr.podsz.1-2.n
PORZ-STOS
wyn.ukł.pozost.pozręb.w stosy
WPOD-62N
Wyc.z.u.31-60%pokr.podsz.1-2.n
PORZ-STOS
wyn.ukł.pozost.pozręb.w stosy
WPOD-62N
Wyc.z.u.31-60%pokr.podsz.1-2.n
PORZ-STOS
wyn.ukł.pozost.pozręb.w stosy
WPOD-62N
Wyc.z.u.31-60%pokr.podsz.1-2.n
PORZ-STOS
wyn.ukł.pozost.pozręb.w stosy
WPOD-62N
Wyc.z.u.31-60%pokr.podsz.1-2.n
PORZ-STOS
wyn.ukł.pozost.pozręb.w stosy
WPOD-62N
Wyc.z.u.31-60%pokr.podsz.1-2.n
PORZ-STOS
wyn.ukł.pozost.pozręb.w stosy
WPOD-62N
Wyc.z.u.31-60%pokr.podsz.1-2.n
PORZ-STOS
wyn.ukł.pozost.pozręb.w stosy
WPOD-32N
Wyc.z.u.10-30%pokr.podsz.1-2.n
PORZ-STOS
wyn.ukł.pozost.pozręb.w stosy
WPOD-62N
Wyc.z.u.31-60%pokr.podsz.1-2.n
PORZ-STOS
wyn.ukł.pozost.pozręb.w stosy
WPOD-32N
Wyc.z.u.10-30%pokr.podsz.1-2.n
PORZ-STOS
wyn.ukł.pozost.pozręb.w stosy
WPOD-62N
Wyc.z.u.31-60%pokr.podsz.1-2.n
PORZ-STOS
wyn.ukł.pozost.pozręb.w stosy
WPOD-62N
Wyc.z.u.31-60%pokr.podsz.1-2.n
PORZ-STOS
wyn.ukł.pozost.pozręb.w stosy
WPOD-62N
Wyc.z.u.31-60%pokr.podsz.1-2.n
PORZ-STOS
wyn.ukł.pozost.pozręb.w stosy
WPOD-63N
Wyc.z.u.31-60%pokr.podsz.>2m.n
PORZ-STOS
wyn.ukł.pozost.pozręb.w stosy
WPOD-63N
Wyc.z.u.31-60%pokr.podsz.>2m.n
PORZ-STOS
wyn.ukł.pozost.pozręb.w stosy
WPOD-63N
Wyc.z.u.31-60%pokr.podsz.>2m.n
PORZ-STOS
wyn.ukł.pozost.pozręb.w stosy
WPOD>63N
Wyc.z.u.pow61%pokr.podsz.>2m.n
PORZ-STOS
wyn.ukł.pozost.pozręb.w stosy
WPOD-63N
Wyc.z.u.31-60%pokr.podsz.>2m.n
PORZ-STOS
wyn.ukł.pozost.pozręb.w stosy
Wyc.z.u.31-60%pokr.podsz.>2m.n
WPOD-63N
wyn.ukł.pozost.pozręb.w stosy
PORZ-STOS
Wyc.z.u.pow61%pokr.podsz.>2m.n
WPOD>63N
PORZ-STOS
wyn.ukł.pozost.pozręb.w stosy
WPOD>63N
Wyc.z.u.pow61%pokr.podsz.>2m.n
HA
HA
HA
HA
HA
HA
HA
HA
HA
HA
X
TSZT
TSZT
TSZT
TSZT
H
TSZT
TSZT
TSZT
TSZT
HA
M3P
HA
M3P
HA
M3P
HA
M3P
HA
M3P
HA
M3P
HA
M3P
HA
M3P
HA
M3P
HA
M3P
HA
M3P
HA
M3P
HA
M3P
HA
M3P
HA
M3P
HA
M3P
HA
M3P
HA
M3P
HA
M3P
HA
M3P
HA
M3P
HA
M3P
HA
M3P
HA
M3P
HA
M3P
HA
0,36
1,00
4,06
2,40
2,03
3,00
3,00
1,55
10,40
6,30
0,00
9,16
42,27
0,10
1,30
8,00
9,16
42,27
0,10
1,30
45,22
149,00
0,63
177,00
0,98
205,00
0,84
271,00
1,01
336,00
1,19
632,00
1,15
598,00
2,21
640,00
1,86
573,00
1,91
130,00
1,56
219,00
0,95
238,00
0,76
148,00
0,45
179,00
0,50
21,00
0,52
15,00
0,28
68,00
0,78
479,00
1,22
453,00
1,40
28,00
0,16
196,00
0,72
238,00
1,07
103,00
0,37
287,00
0,54
261,00
1,00
Taftowo
30 -m
Taftowo
30 -m
Taftowo
41 -p
Taftowo
41 -p
Taftowo
48 -g
Taftowo
48 -g
Taftowo
48 -i
Taftowo
48 -i
Taftowo
49 -f
Taftowo
49 -f
Taftowo
56 -f
Taftowo
56 -f
Karbowo
387 -c
Karbowo
387 -c
Karbowo
387 -l
Karbowo
387 -l
Karbowo
388 -l
Karbowo
388 -l
Karbowo
442 -c
Karbowo
442 -c
Bażyny
112 -a
Bażyny
112 -c
Bażyny
115 -c
Bażyny
116 -a
Bażyny
117 -f
Bażyny
403 -c
Bażyny
404 -a
Kod grupy czynności: ODN-GLEB
Taftowo
3 -c
Taftowo
9 -c
Taftowo
30 -h
Taftowo
31 -b
Taftowo
41 -m
Taftowo
92 -d
Taftowo
103 -i
Karbowo
387 -c
Karbowo
387 -l
Karbowo
388 -l
Karbowo
442 -c
Bażyny
115 -b
Bażyny
119 -a
Bażyny
119 -d
Bażyny
412 -i
Bażyny
412 -o
Bażyny
413 -b
Kod grupy czynności: ODN-LUK
Karbowo
385 -m
Karbowo
385 -m
Karbowo
385 -m
Kod grupy czynności: ODN-ZRB
Komasy
101 -a
Komasy
101 -a
Komasy
101 -a
Komasy
101 -a
Komasy
101 -a
Komasy
101 -a
Komasy
101 -a
Komasy
101 -a
Komasy
142 -c
Komasy
142 -c
Komasy
142 -c
Komasy
142 -c
Komasy
142 -c
Komasy
142 -c
Komasy
142 -c
Komasy
142 -c
Komasy
142 -c
Komasy
142 -c
Komasy
143 -c
Komasy
143 -c
Komasy
143 -c
00
00
00
00
00
00
00
00
00
00
00
00
00
00
00
00
00
00
00
00
00
00
00
00
00
00
00
00
00
00
00
00
00
00
00
00
00
00
00
01
02
00
00
00
00
00
00
00
00
00
00
00
00
00
00
00
00
00
00
00
00
00
00
00
00
01
01
01
wyn.ukł.pozost.pozręb.w stosy
PORZ-STOS
Wyc.z.u.pow61%pokr.podsz.>2m.n
WPOD>63N
wyn.ukł.pozost.pozręb.w stosy
PORZ-STOS
Wyc.z.u.10-30%pokr.podsz.>2m.n
WPOD-33N
wyn.ukł.pozost.pozręb.w stosy
PORZ-STOS
Wyc.z.u.31-60%pokr.podsz.>2m.n
WPOD-63N
wyn.ukł.pozost.pozręb.w stosy
PORZ-STOS
Wyc.z.u.31-60%pokr.podsz.>2m.n
WPOD-63N
wyn.ukł.pozost.pozręb.w stosy
PORZ-STOS
Wyc.z.u.31-60%pokr.podsz.>2m.n
WPOD-63N
wyn.ukł.pozost.pozręb.w stosy
PORZ-STOS
Wyc.z.u.10-30%pokr.podsz.>2m.n
WPOD-33N
wyn.ukł.pozost.pozręb.w stosy
PORZ-STOS
Wyc.z.u.pow61%pokr.podsz.>2m.n
WPOD>63N
wyn.ukł.pozost.pozręb.w stosy
PORZ-STOS
Wyc.z.u.pow61%pokr.podsz.>2m.n
WPOD>63N
wyn.ukł.pozost.pozręb.w stosy
PORZ-STOS
Wyc.z.u.pow61%pokr.podsz.>2m.n
WPOD>63N
wyn.ukł.pozost.pozręb.w stosy
PORZ-STOS
Wyc.z.u.pow61%pokr.podsz.>2m.n
WPOD>63N
Wyc.z.u.pow61%pokr.podsz.>2m.n
WPOD>63N
Wyc.z.u.pow61%pokr.podsz.>2m.n
WPOD>63N
Wyc.z.u.31-60%pokr.podsz.>2m.n
WPOD-63N
Wyc.z.u.10-30%pokr.podsz.1-2.n
WPOD-32N
Wyc.z.u.pow61%pokr.podsz.>2m.n
WPOD>63N
Wyc.z.u.10-30%pokr.podsz.1-2.n
WPOD-32N
Wyc.z.u.31-60%pokr.podsz.>2m.n
WPOD-63N
Nazwa: wyprzedzające przygotow.gleby
wyoryw.bruzd pług leś.do 0.5ha
WYK-PA5CZ
wyoryw.bruzd pług leś.do 0.5ha
WYK-PA5CZ
wyoryw.bruzd pług leś.do 0.5ha
WYK-PA5CZ
wyoryw.bruzd pług leś.do 0.5ha
WYK-PA5CZ
wyoryw.bruzd pług leś.do 0.5ha
WYK-PA5CZ
wyoryw.bruzd pług leś.do 0.5ha
WYK-PA5CZ
wyoryw.bruzd pług leś.do 0.5ha
WYK-PA5CZ
wyoryw.bruzd pług leś.do 0.5ha
WYK-PA5CZ
wyoryw.bruzd pług leś.do 0.5ha
WYK-PA5CZ
wyoryw.bruzd pług leś.do 0.5ha
WYK-PA5CZ
wyoryw.bruzd pług leś.do 0.5ha
WYK-PA5CZ
wyorywanie bruzd-pług leśny
WYK-PASCZ
wyorywanie bruzd-pług leśny
WYK-PASCZ
wyorywanie bruzd-pług leśny
WYK-PASCZ
wyorywanie bruzd-pług leśny
WYK-PASCZ
wyorywanie bruzd-pług leśny
WYK-PASCZ
wyorywanie bruzd-pług leśny
WYK-PASCZ
Nazwa: odnowienia luk
DOŁ-4L
dołow. 4-5 lat. liśc. z donies
SADZ-WM
sadzenie wielolatek w jamkę
załad.4-5l.liś.rozład. zabezp.
ZAŁ-4LL
Nazwa: odnowienie zrębów
dołow. 1 lat. igl. z donies.
DOŁ-1I
dołow. 1 lat. liśc. z donies.
DOŁ-1L
Prace godz.- ciągnik zagospod.
GODZ CH
sadz.1 latek kostur pasy/taler
SADZ-1KP
sadzenie 1 latek w jamkę
SADZ-1M
wykopanie dołu do dołow. sadz.
WYK-DOŁU
załad.1lat.igl.rozład.-zabezp.
ZAŁ-1IL
załad.1lat.liś.rozład.-zabezp.
ZAŁ-1LL
dołow. 1 lat. igl. z donies.
DOŁ-1I
dołow. 1 lat. liśc. z donies.
DOŁ-1L
dołow. 2-3 l liśc. z donies.
DOŁ-2L
Prace godz.- ciągnik zagospod.
GODZ CH
sadz.1 latek kostur pasy/taler
SADZ-1KP
sadzenie 1 latek w jamkę
SADZ-1M
sadzenie wielolatek w jamkę
SADZ-WM
ZAŁ-1IL
załad.1lat.igl.rozład.-zabezp.
ZAŁ-1LL
załad.1lat.liś.rozład.-zabezp.
ZAŁ-2LL
załad.2-3l.liś.rozład. zabezp.
DOŁ-1I
dołow. 1 lat. igl. z donies.
DOŁ-1L
dołow. 1 lat. liśc. z donies.
GODZ CH
Prace godz.- ciągnik zagospod.
M3P
HA
M3P
HA
M3P
HA
M3P
HA
M3P
HA
M3P
HA
M3P
HA
M3P
HA
M3P
HA
M3P
HA
HA
HA
HA
HA
HA
HA
HA
HA
KMT
KMT
KMT
KMT
KMT
KMT
KMT
KMT
KMT
KMT
KMT
KMT
KMT
KMT
KMT
KMT
KMT
HA
TSZT
TSZT
TSZT
HA
TSZT
TSZT
H
TSZT
TSZT
M3
TSZT
TSZT
TSZT
TSZT
TSZT
H
TSZT
TSZT
TSZT
TSZT
TSZT
TSZT
TSZT
TSZT
H
97,00
0,39
118,00
0,36
222,00
1,20
214,00
0,78
349,00
0,82
250,00
0,56
516,00
1,49
503,00
1,00
824,00
1,60
493,00
1,20
1,57
0,20
1,30
1,30
0,59
1,45
1,10
20,59
2,27
6,40
7,60
7,07
5,54
2,73
3,07
9,80
6,60
10,50
7,90
6,39
6,33
25,30
2,06
4,66
4,66
0,20
1,30
1,30
1,30
30,13
18,25
9,73
3,00
18,25
9,73
3,00
36,50
19,46
2,25
1,24
0,07
2,00
2,25
1,24
0,07
4,50
2,48
0,07
8,65
4,58
3,00
Komasy
Komasy
Komasy
Komasy
Komasy
Komasy
Komasy
Komasy
Komasy
Komasy
Komasy
Komasy
Komasy
Komasy
Taftowo
Taftowo
Taftowo
Taftowo
Taftowo
Taftowo
Taftowo
Taftowo
Taftowo
Taftowo
Taftowo
Taftowo
Taftowo
Taftowo
Taftowo
Taftowo
Taftowo
Taftowo
Taftowo
Taftowo
Taftowo
Taftowo
Taftowo
Taftowo
Taftowo
Taftowo
Taftowo
Taftowo
Taftowo
Taftowo
Taftowo
Taftowo
Taftowo
Taftowo
Taftowo
Taftowo
Taftowo
Taftowo
Taftowo
Taftowo
Taftowo
Taftowo
Taftowo
Taftowo
Taftowo
Taftowo
Taftowo
Taftowo
Taftowo
Taftowo
Taftowo
Taftowo
Taftowo
Taftowo
Taftowo
Taftowo
Karbowo
143 -c
143 -c
143 -c
143 -c
192 -h
192 -h
192 -h
192 -h
192 -h
192 -h
192 -h
192 -h
192 -h
192 -h
8 -d
8 -d
8 -d
8 -d
8 -d
8 -d
8 -d
8 -d
8 -d
8 -d
8 -d
8 -d
8 -d
8 -d
8 -d
40 -r
40 -r
40 -r
40 -r
40 -r
40 -r
40 -r
40 -r
40 -r
40 -r
40 -r
40 -r
40 -r
58 -f
58 -f
58 -f
58 -f
58 -f
58 -f
58 -f
58 -f
58 -f
58 -f
58 -f
58 -f
58 -f
58 -f
58 -f
88 -c
88 -c
88 -c
88 -c
88 -c
88 -c
88 -c
88 -c
88 -c
88 -c
88 -c
88 -c
88 -c
385 -n
01
01
01
01
00
00
00
00
00
00
00
00
00
00
99
99
99
99
99
99
99
99
99
99
99
99
99
99
99
00
00
00
00
00
00
00
00
00
00
00
00
00
00
00
00
00
00
00
00
00
00
00
00
00
00
00
00
00
00
00
00
00
00
00
00
00
00
00
00
00
00
SADZ-1KP
SADZ-1M
ZAŁ-1IL
ZAŁ-2IL
DOŁ-1I
DOŁ-1L
DOŁ-2L
GODZ CH
SADZ-1KP
SADZ-1M
SADZ-WM
ZAŁ-1IL
ZAŁ-1LL
ZAŁ-2LL
DOŁ-1I
DOŁ-1L
DOŁ-2I
DOŁ-2L
DOŁ-4L
GODZ CH
SADZ-1KP
SADZ-1M
SADZ-WM
WYK-DOŁU
ZAŁ-1IL
ZAŁ-1LL
ZAŁ-2IL
ZAŁ-2LL
ZAŁ-4LL
DOŁ-1I
DOŁ-1L
DOŁ-2I
DOŁ-4L
GODZ CH
SADZ-1KP
SADZ-1M
SADZ-WM
WYK-DOŁU
ZAŁ-1IL
ZAŁ-1LL
ZAŁ-2IL
ZAŁ-4LL
DOŁ-1I
DOŁ-1L
DOŁ-2I
DOŁ-2L
DOŁ-4L
GODZ CH
SADZ-1KP
SADZ-1M
SADZ-WM
WYK-DOŁU
ZAŁ-1IL
ZAŁ-1LL
ZAŁ-2IL
ZAŁ-2LL
ZAŁ-4LL
DOŁ-1I
DOŁ-1L
DOŁ-2I
DOŁ-4L
GODZ CH
SADZ-1KP
SADZ-1M
SADZ-WM
WYK-DOŁU
ZAŁ-1IL
ZAŁ-1LL
ZAŁ-2IL
ZAŁ-4LL
DOŁ-1I
sadz.1 latek kostur pasy/taler
sadzenie 1 latek w jamkę
załad.1lat.igl.rozład.-zabezp.
załad.2-3l.igl.rozład. zabezp.
dołow. 1 lat. igl. z donies.
dołow. 1 lat. liśc. z donies.
dołow. 2-3 l liśc. z donies.
Prace godz.- ciągnik zagospod.
sadz.1 latek kostur pasy/taler
sadzenie 1 latek w jamkę
sadzenie wielolatek w jamkę
załad.1lat.igl.rozład.-zabezp.
załad.1lat.liś.rozład.-zabezp.
załad.2-3l.liś.rozład. zabezp.
dołow. 1 lat. igl. z donies.
dołow. 1 lat. liśc. z donies.
dołow. 2-3 lat. igl. z donies.
dołow. 2-3 l liśc. z donies.
dołow. 4-5 lat. liśc. z donies
Prace godz.- ciągnik zagospod.
sadz.1 latek kostur pasy/taler
sadzenie 1 latek w jamkę
sadzenie wielolatek w jamkę
wykopanie dołu do dołow. sadz.
załad.1lat.igl.rozład.-zabezp.
załad.1lat.liś.rozład.-zabezp.
załad.2-3l.igl.rozład. zabezp.
załad.2-3l.liś.rozład. zabezp.
załad.4-5l.liś.rozład. zabezp.
dołow. 1 lat. igl. z donies.
dołow. 1 lat. liśc. z donies.
dołow. 2-3 lat. igl. z donies.
dołow. 4-5 lat. liśc. z donies
Prace godz.- ciągnik zagospod.
sadz.1 latek kostur pasy/taler
sadzenie 1 latek w jamkę
sadzenie wielolatek w jamkę
wykopanie dołu do dołow. sadz.
załad.1lat.igl.rozład.-zabezp.
załad.1lat.liś.rozład.-zabezp.
załad.2-3l.igl.rozład. zabezp.
załad.4-5l.liś.rozład. zabezp.
dołow. 1 lat. igl. z donies.
dołow. 1 lat. liśc. z donies.
dołow. 2-3 lat. igl. z donies.
dołow. 2-3 l liśc. z donies.
dołow. 4-5 lat. liśc. z donies
Prace godz.- ciągnik zagospod.
sadz.1 latek kostur pasy/taler
sadzenie 1 latek w jamkę
sadzenie wielolatek w jamkę
wykopanie dołu do dołow. sadz.
załad.1lat.igl.rozład.-zabezp.
załad.1lat.liś.rozład.-zabezp.
załad.2-3l.igl.rozład. zabezp.
załad.2-3l.liś.rozład. zabezp.
załad.4-5l.liś.rozład. zabezp.
dołow. 1 lat. igl. z donies.
dołow. 1 lat. liśc. z donies.
dołow. 2-3 lat. igl. z donies.
dołow. 4-5 lat. liśc. z donies
Prace godz.- ciągnik zagospod.
sadz.1 latek kostur pasy/taler
sadzenie 1 latek w jamkę
sadzenie wielolatek w jamkę
wykopanie dołu do dołow. sadz.
załad.1lat.igl.rozład.-zabezp.
załad.1lat.liś.rozład.-zabezp.
załad.2-3l.igl.rozład. zabezp.
załad.4-5l.liś.rozład. zabezp.
dołow. 1 lat. igl. z donies.
TSZT
TSZT
TSZT
TSZT
TSZT
TSZT
TSZT
H
TSZT
TSZT
TSZT
TSZT
TSZT
TSZT
TSZT
TSZT
TSZT
TSZT
TSZT
H
TSZT
TSZT
TSZT
M3
TSZT
TSZT
TSZT
TSZT
TSZT
TSZT
TSZT
TSZT
TSZT
H
TSZT
TSZT
TSZT
M3
TSZT
TSZT
TSZT
TSZT
TSZT
TSZT
TSZT
TSZT
TSZT
H
TSZT
TSZT
TSZT
M3
TSZT
TSZT
TSZT
TSZT
TSZT
TSZT
TSZT
TSZT
TSZT
H
TSZT
TSZT
TSZT
M3
TSZT
TSZT
TSZT
TSZT
TSZT
8,65
4,58
17,30
9,16
14,40
7,65
0,07
3,00
14,40
7,65
0,07
28,80
15,30
0,07
19,90
1,20
0,36
0,07
6,45
5,00
19,90
1,20
6,91
20,00
19,90
1,20
0,36
0,10
6,45
2,79
0,84
0,18
3,07
2,00
2,79
0,84
3,25
10,00
2,79
0,84
0,18
3,07
16,12
0,94
0,40
0,06
5,30
4,00
16,12
0,94
5,75
4,00
16,12
0,94
0,40
0,06
5,30
5,27
1,16
0,48
5,80
3,00
5,27
1,16
6,28
13,00
5,27
1,16
0,48
5,80
1,60
Karbowo
385 -n
Karbowo
385 -n
Karbowo
385 -n
Karbowo
385 -n
Karbowo
385 -n
Karbowo
386 -a
Karbowo
386 -a
Karbowo
386 -a
Karbowo
386 -b
Karbowo
386 -b
Karbowo
386 -b
Karbowo
391 -h
Karbowo
391 -h
Karbowo
391 -h
Karbowo
391 -h
Karbowo
391 -h
Karbowo
391 -h
Karbowo
423 -j
Karbowo
423 -j
Karbowo
423 -j
Karbowo
423 -j
Karbowo
423 -j
Karbowo
423 -j
Karbowo
423 -j
Karbowo
423 -j
Karbowo
423 -j
Karbowo
423 -j
Karbowo
423 -k
Karbowo
423 -k
Karbowo
423 -k
Karbowo
423 -k
Karbowo
423 -k
Karbowo
423 -k
Bażyny
119 -d
Bażyny
119 -d
Bażyny
119 -d
Bażyny
119 -d
Bażyny
119 -d
Bażyny
119 -d
Bażyny
119 -d
Bażyny
119 -d
Bażyny
119 -d
Bażyny
119 -d
Bażyny
119 -d
Bażyny
119 -d
Bażyny
119 -d
Bażyny
399 -b
Bażyny
399 -b
Bażyny
399 -b
Bażyny
399 -b
Bażyny
399 -b
Bażyny
399 -b
Bażyny
399 -b
Bażyny
399 -b
Bażyny
399 -b
Bażyny
399 -b
Kod grupy czynności: ODN-ZŁOŻ
Taftowo
6 -o
Taftowo
6 -o
Taftowo
6 -o
Taftowo
6 -o
Taftowo
6 -o
Karbowo
382 -i
Karbowo
382 -i
Karbowo
382 -i
Karbowo
382 -i
Karbowo
382 -k
Karbowo
382 -k
Karbowo
382 -k
Karbowo
390 -a
Karbowo
390 -a
00
00
00
00
00
00
00
00
00
00
00
00
00
00
00
00
00
00
00
00
00
00
00
00
00
00
00
00
00
00
00
00
00
01
01
01
01
01
01
01
01
01
01
01
01
01
00
00
00
00
00
00
00
00
00
00
00
00
00
00
00
01
01
01
01
01
01
01
00
00
dołow. 1 lat. liśc. z donies.
DOŁ-1L
sadz.1 latek kostur pasy/taler
SADZ-1KP
sadzenie 1 latek w jamkę
SADZ-1M
załad.1lat.igl.rozład.-zabezp.
ZAŁ-1IL
załad.1lat.liś.rozład.-zabezp.
ZAŁ-1LL
dołow. 1 lat. liśc. z donies.
DOŁ-1L
sadzenie 1 latek w jamkę
SADZ-1M
załad.1lat.liś.rozład.-zabezp.
ZAŁ-1LL
dołow. 1 lat. liśc. z donies.
DOŁ-1L
sadzenie 1 latek w jamkę
SADZ-1M
załad.1lat.liś.rozład.-zabezp.
ZAŁ-1LL
dołow. 1 lat. igl. z donies.
DOŁ-1I
dołow. 1 lat. liśc. z donies.
DOŁ-1L
sadz.1 latek kostur pasy/taler
SADZ-1KP
sadzenie 1 latek w jamkę
SADZ-1M
załad.1lat.igl.rozład.-zabezp.
ZAŁ-1IL
załad.1lat.liś.rozład.-zabezp.
ZAŁ-1LL
dołow. 1 lat. igl. z donies.
DOŁ-1I
dołow. 1 lat. liśc. z donies.
DOŁ-1L
dołow. 2-3 l liśc. z donies.
DOŁ-2L
sadz.1 latek kostur pasy/taler
SADZ-1KP
sadzenie 1 latek w jamkę
SADZ-1M
sadzenie wielolatek w jamkę
SADZ-WM
wykopanie dołu do dołow. sadz.
WYK-DOŁU
załad.1lat.igl.rozład.-zabezp.
ZAŁ-1IL
załad.1lat.liś.rozład.-zabezp.
ZAŁ-1LL
załad.2-3l.liś.rozład. zabezp.
ZAŁ-2LL
dołow. 1 lat. igl. z donies.
DOŁ-1I
dołow. 1 lat. liśc. z donies.
DOŁ-1L
sadz.1 latek kostur pasy/taler
SADZ-1KP
sadzenie 1 latek w jamkę
SADZ-1M
załad.1lat.igl.rozład.-zabezp.
ZAŁ-1IL
załad.1lat.liś.rozład.-zabezp.
ZAŁ-1LL
dołow. 1 lat. igl. z donies.
DOŁ-1I
dołow. 1 lat. liśc. z donies.
DOŁ-1L
dołow. 2-3 lat. igl. z donies.
DOŁ-2I
dołow. 2-3 l liśc. z donies.
DOŁ-2L
Prace godz.- ciągnik zagospod.
GODZ CH
sadz.1 latek kostur pasy/taler
SADZ-1KP
sadzenie 1 latek w jamkę
SADZ-1M
sadzenie wielolatek w jamkę
SADZ-WM
wykopanie dołu do dołow. sadz.
WYK-DOŁU
załad.1lat.igl.rozład.-zabezp.
ZAŁ-1IL
załad.1lat.liść.rozład.-zabez
ZAŁ-1LP
załad.2-3l.igl.rozład. zabezp.
ZAŁ-2IL
załad.2-3l.liś.rozład. zabezp.
ZAŁ-2LL
dołow. 1 lat. igl. z donies.
DOŁ-1I
dołow. 1 lat. liśc. z donies.
DOŁ-1L
dołow. 2-3 l liśc. z donies.
DOŁ-2L
sadz.1 latek kostur pasy/taler
SADZ-1KP
sadzenie 1 latek w jamkę
SADZ-1M
sadzenie wielolatek w jamkę
SADZ-WM
wykopanie dołu do dołow. sadz.
WYK-DOŁU
załad.1lat.igl.rozład.-zabezp.
ZAŁ-1IL
załad.1lat.liść.rozład.-zabez
ZAŁ-1LP
załad.2-3l.liś.rozład. zabezp.
ZAŁ-2LL
Nazwa: odnow.w rębniach złożonych
DOŁ-1L
dołow. 1 lat. liśc. z donies.
GODZ CH
Prace godz.- ciągnik zagospod.
sadzenie 1 latek w jamkę
SADZ-1M
wykopanie dołu do dołow. sadz.
WYK-DOŁU
załad.1lat.liś.rozład.-zabezp.
ZAŁ-1LL
dołow. 1 lat. liśc. z donies.
DOŁ-1L
SADZ-1M
sadzenie 1 latek w jamkę
WYK-DOŁU
wykopanie dołu do dołow. sadz.
załad.1lat.liś.rozład.-zabezp.
ZAŁ-1LL
DOŁ-1L
dołow. 1 lat. liśc. z donies.
SADZ-1M
sadzenie 1 latek w jamkę
załad.1lat.liś.rozład.-zabezp.
ZAŁ-1LL
DOŁ-1L
dołow. 1 lat. liśc. z donies.
SADZ-1M
sadzenie 1 latek w jamkę
TSZT
TSZT
TSZT
TSZT
TSZT
TSZT
TSZT
TSZT
TSZT
TSZT
TSZT
TSZT
TSZT
TSZT
TSZT
TSZT
TSZT
TSZT
TSZT
TSZT
TSZT
TSZT
TSZT
M3
TSZT
TSZT
TSZT
TSZT
TSZT
TSZT
TSZT
TSZT
TSZT
TSZT
TSZT
TSZT
TSZT
H
TSZT
TSZT
TSZT
M3
TSZT
TSZT
TSZT
TSZT
TSZT
TSZT
TSZT
TSZT
TSZT
TSZT
M3
TSZT
TSZT
TSZT
HA
TSZT
H
TSZT
M3
TSZT
TSZT
TSZT
M3
TSZT
TSZT
TSZT
TSZT
TSZT
TSZT
2,88
1,60
2,88
1,60
2,88
4,34
4,34
4,34
3,40
3,40
3,40
1,15
2,04
1,15
2,04
1,15
2,04
2,56
2,36
0,10
2,56
2,36
0,10
2,00
2,56
2,36
0,10
1,45
2,67
1,45
2,67
1,45
2,67
6,75
8,40
2,24
0,20
3,00
6,75
8,40
2,44
3,00
13,50
16,80
4,48
0,40
7,20
4,57
8,93
7,20
4,57
8,93
3,00
7,20
4,57
8,93
5,80
2,82
1,00
2,82
5,00
2,82
5,16
5,16
2,00
5,16
2,10
2,10
2,10
1,86
1,86
Karbowo
390 -a
Karbowo
390 -a
Karbowo
390 -b
Karbowo
390 -b
Karbowo
390 -b
Karbowo
429 -d
Karbowo
429 -d
Karbowo
429 -d
Karbowo
429 -d
Karbowo
431 -c
Karbowo
431 -c
Karbowo
431 -c
Karbowo
431 -c
Bażyny
400 -a
Bażyny
400 -a
Bażyny
400 -a
Bażyny
400 -a
Bażyny
400 -a
Bażyny
400 -a
Bażyny
400 -a
Bażyny
400 -a
Bażyny
400 -a
Bażyny
400 -a
Kod grupy czynności: PIEL
Komasy
97 -n
97 -s
Komasy
100 -g
Komasy
100 -k
Komasy
101 -a
Komasy
108 -i
Komasy
109 -c
Komasy
125 -h
Komasy
125 -o
Komasy
127 -a
Komasy
129 -l
Komasy
132 -r
Komasy
142 -c
Komasy
143 -c
Komasy
164 -f
Komasy
190 -f
Komasy
192 -h
Komasy
200 -c
Komasy
200 -d
Komasy
3 -h
Taftowo
6 -o
Taftowo
7 -g
Taftowo
8 -d
Taftowo
12 -f
Taftowo
12 -g
Taftowo
12 -h
Taftowo
13 -g
Taftowo
13 -h
Taftowo
21 -b
Taftowo
21 -d
Taftowo
21 -i
Taftowo
22 -a
Taftowo
22 -n
Taftowo
24 -g
Taftowo
26 -c
Taftowo
27 -g
Taftowo
28 -i
Taftowo
28 -m
Taftowo
31 -f
Taftowo
40 -r
Taftowo
54 -d
Taftowo
54 -g
Taftowo
55 -c
Taftowo
58 -f
Taftowo
Taftowo
77 -d
Taftowo
88 -c
Karbowo
380 -s
00
00
00
00
00
01
01
01
01
00
00
00
00
00
00
00
00
00
00
00
00
00
00
00
00
00
00
00
00
00
00
00
00
00
00
00
01
00
00
00
00
00
00
00
00
01
00
00
00
00
00
00
00
00
00
00
00
00
00
01
00
00
00
00
00
00
00
00
00
00
wykopanie dołu do dołow. sadz.
WYK-DOŁU
załad.1lat.liś.rozład.-zabezp.
ZAŁ-1LL
dołow. 1 lat. liśc. z donies.
DOŁ-1L
sadzenie 1 latek w jamkę
SADZ-1M
załad.1lat.liś.rozład.-zabezp.
ZAŁ-1LL
dołow. 1 lat. liśc. z donies.
DOŁ-1L
sadzenie 1 latek w jamkę
SADZ-1M
wykopanie dołu do dołow. sadz.
WYK-DOŁU
załad.1lat.liś.rozład.-zabezp.
ZAŁ-1LL
dołow. 1 lat. liśc. z donies.
DOŁ-1L
sadzenie 1 latek w jamkę
SADZ-1M
wykopanie dołu do dołow. sadz.
WYK-DOŁU
załad.1lat.liś.rozład.-zabezp.
ZAŁ-1LL
dołow. 1 lat. igl. z donies.
DOŁ-1I
dołow. 1 lat. liśc. z donies.
DOŁ-1L
dołow. 2-3 l liśc. z donies.
DOŁ-2L
sadz.1 latek kostur pasy/taler
SADZ-1KP
sadzenie 1 latek w jamkę
SADZ-1M
sadzenie wielolatek w jamkę
SADZ-WM
wykopanie dołu do dołow. sadz.
WYK-DOŁU
załad.1lat.igl.rozład.-zabezp.
ZAŁ-1IL
załad.1lat.liść.rozład.-zabez
ZAŁ-1LP
załad.2-3l.liś.rozład. zabezp.
ZAŁ-2LL
Nazwa: pielęgnowanie gleby
KOSZ-CHN
koszenie chwast.i nalot.w upra
KOSZ-CHN
koszenie chwast.i nalot.w upra
KOSZ-CHN
koszenie chwast.i nalot.w upra
KOSZ-CHN
koszenie chwast.i nalot.w upra
KOSZ-CHN
koszenie chwast.i nalot.w upra
KOSZ-CHN
koszenie chwast.i nalot.w upra
KOSZ-CHN
koszenie chwast.i nalot.w upra
KOSZ-CHN
koszenie chwast.i nalot.w upra
KOSZ-CHN
koszenie chwast.i nalot.w upra
KOSZ-CHN
koszenie chwast.i nalot.w upra
KOSZ-CHN
koszenie chwast.i nalot.w upra
KOSZ-CHN
koszenie chwast.i nalot.w upra
KOSZ-CHN
koszenie chwast.i nalot.w upra
KOSZ-CHN
koszenie chwast.i nalot.w upra
KOSZ-CHN
koszenie chwast.i nalot.w upra
KOSZ-CHN
koszenie chwast.i nalot.w upra
KOSZ-CHN
koszenie chwast.i nalot.w upra
KOSZ-CHN
koszenie chwast.i nalot.w upra
KOSZ-CHN
koszenie chwast.i nalot.w upra
KOSZ-CHN
koszenie chwast.i nalot.w upra
KOSZ-CHN
koszenie chwast.i nalot.w upra
KOSZ-CHN
koszenie chwast.i nalot.w upra
KOSZ-CHN
koszenie chwast.i nalot.w upra
KOSZ-CHN
koszenie chwast.i nalot.w upra
KOSZ-CHN
koszenie chwast.i nalot.w upra
KOSZ-CHN
koszenie chwast.i nalot.w upra
KOSZ-CHN
koszenie chwast.i nalot.w upra
KOSZ-CHN
koszenie chwast.i nalot.w upra
KOSZ-CHN
koszenie chwast.i nalot.w upra
KOSZ-CHN
koszenie chwast.i nalot.w upra
KOSZ-CHN
koszenie chwast.i nalot.w upra
KOSZ-CHN
koszenie chwast.i nalot.w upra
KOSZ-CHN
koszenie chwast.i nalot.w upra
KOSZ-CHN
koszenie chwast.i nalot.w upra
KOSZ-CHN
koszenie chwast.i nalot.w upra
KOSZ-CHN
koszenie chwast.i nalot.w upra
KOSZ-CHN
koszenie chwast.i nalot.w upra
KOSZ-CHN
koszenie chwast.i nalot.w upra
KOSZ-CHN
koszenie chwast.i nalot.w upra
KOSZ-CHN
koszenie chwast.i nalot.w upra
KOSZ-CHN
koszenie chwast.i nalot.w upra
KOSZ-CHN
koszenie chwast.i nalot.w upra
KOSZ-CHN
koszenie chwast.i nalot.w upra
KOSZ-CHN
koszenie chwast.i nalot.w upra
KOSZ-CHN
koszenie chwast.i nalot.w upra
KOSZ-CHN
koszenie chwast.i nalot.w upra
KOSZ-CHN
koszenie chwast.i nalot.w upra
M3
TSZT
TSZT
TSZT
TSZT
TSZT
TSZT
M3
TSZT
TSZT
TSZT
M3
TSZT
TSZT
TSZT
TSZT
TSZT
TSZT
TSZT
M3
TSZT
TSZT
TSZT
HA
HA
HA
HA
HA
HA
HA
HA
HA
HA
HA
HA
HA
HA
HA
HA
HA
HA
HA
HA
HA
HA
HA
HA
HA
HA
HA
HA
HA
HA
HA
HA
HA
HA
HA
HA
HA
HA
HA
HA
HA
HA
HA
HA
HA
HA
HA
HA
2,00
1,86
2,16
2,16
2,16
9,90
9,90
2,00
9,90
2,70
2,70
2,00
2,70
4,16
1,14
3,27
4,16
1,14
3,27
3,00
4,16
1,14
3,27
120,80
1,40
1,20
2,56
0,47
3,80
0,48
1,21
0,32
2,05
0,75
3,90
0,25
0,47
1,80
0,90
0,20
3,00
0,95
1,15
0,85
0,47
0,53
3,29
0,93
1,02
0,48
0,35
1,19
0,45
0,60
0,80
1,30
0,80
0,45
1,10
0,54
1,67
1,60
0,86
0,92
0,52
1,70
2,48
2,70
0,44
1,77
1,50
Karbowo
381
Karbowo
381
Karbowo
382
Karbowo
382
Karbowo
385
Karbowo
385
Karbowo
385
Karbowo
386
Karbowo
386
Karbowo
390
Karbowo
390
Karbowo
391
Karbowo
415
Karbowo
417
Karbowo
422
Karbowo
423
Karbowo
423
Karbowo
423
Karbowo
423
Karbowo
424
Karbowo
424
Karbowo
429
Karbowo
431
Karbowo
431
Bażyny
117
Bażyny
118
Bażyny
119
Bażyny
178
Bażyny
339
Bażyny
339
Bażyny
340
Bażyny
399
Bażyny
400
Bażyny
400
Bażyny
401
Bażyny
401
Bażyny
401
Bażyny
401
Bażyny
401
Bażyny
401
Bażyny
402
Bażyny
403
Bażyny
404
Bażyny
411
Kod grupy czynności: POPR
Karbowo
380
Karbowo
380
Karbowo
380
Karbowo
381
Karbowo
381
Karbowo
381
Karbowo
385
Karbowo
385
Karbowo
385
Bażyny
118
Bażyny
118
Bażyny
118
Bażyny
118
Bażyny
118
Bażyny
118
Bażyny
118
Bażyny
118
Bażyny
401
Bażyny
401
Bażyny
401
Bażyny
401
Bażyny
401
Bażyny
401
Bażyny
401
401
Bażyny
Bażyny
401
-m
-x
-i
-k
-m
-n
-o
-a
-b
-a
-b
-h
-d
-a
-a
-j
-k
-m
-s
-b
-c
-d
-a
-c
-a
-k
-d
-g
-g
-k
-g
-b
-a
-g
-b
-d
-g
-h
-i
-k
-c
-a
-c
-b
00
00
01
01
00
00
00
00
00
00
00
00
00
00
00
00
00
00
00
01
01
01
00
00
01
00
01
00
00
00
00
00
00
00
01
01
00
01
01
00
00
00
00
01
-s
-s
-s
-m
-m
-m
-o
-o
-o
-k
-k
-k
-k
-k
-k
-k
-k
-g
-g
-g
-g
-g
-g
-g
-h
-h
00
00
00
00
00
00
00
00
00
00
00
00
00
00
00
00
00
00
00
00
00
00
00
00
01
01
koszenie chwast.i nalot.w upra
KOSZ-CHN
koszenie chwast.i nalot.w upra
KOSZ-CHN
koszenie chwast.i nalot.w upra
KOSZ-CHN
koszenie chwast.i nalot.w upra
KOSZ-CHN
koszenie chwast.i nalot.w upra
KOSZ-CHN
koszenie chwast.i nalot.w upra
KOSZ-CHN
koszenie chwast.i nalot.w upra
KOSZ-CHN
koszenie chwast.i nalot.w upra
KOSZ-CHN
koszenie chwast.i nalot.w upra
KOSZ-CHN
koszenie chwast.i nalot.w upra
KOSZ-CHN
koszenie chwast.i nalot.w upra
KOSZ-CHN
koszenie chwast.i nalot.w upra
KOSZ-CHN
koszenie chwast.i nalot.w upra
KOSZ-CHN
koszenie chwast.i nalot.w upra
KOSZ-CHN
koszenie chwast.i nalot.w upra
KOSZ-CHN
koszenie chwast.i nalot.w upra
KOSZ-CHN
koszenie chwast.i nalot.w upra
KOSZ-CHN
koszenie chwast.i nalot.w upra
KOSZ-CHN
koszenie chwast.i nalot.w upra
KOSZ-CHN
koszenie chwast.i nalot.w upra
KOSZ-CHN
koszenie chwast.i nalot.w upra
KOSZ-CHN
koszenie chwast.i nalot.w upra
KOSZ-CHN
koszenie chwast.i nalot.w upra
KOSZ-CHN
koszenie chwast.i nalot.w upra
KOSZ-CHN
koszenie chwast.i nalot.w upra
KOSZ-CHN
koszenie chwast.i nalot.w upra
KOSZ-CHN
koszenie chwast.i nalot.w upra
KOSZ-CHN
koszenie chwast.i nalot.w upra
KOSZ-CHN
koszenie chwast.i nalot.w upra
KOSZ-CHN
koszenie chwast.i nalot.w upra
KOSZ-CHN
koszenie chwast.i nalot.w upra
KOSZ-CHN
koszenie chwast.i nalot.w upra
KOSZ-CHN
koszenie chwast.i nalot.w upra
KOSZ-CHN
koszenie chwast.i nalot.w upra
KOSZ-CHN
koszenie chwast.i nalot.w upra
KOSZ-CHN
koszenie chwast.i nalot.w upra
KOSZ-CHN
koszenie chwast.i nalot.w upra
KOSZ-CHN
koszenie chwast.i nalot.w upra
KOSZ-CHN
koszenie chwast.i nalot.w upra
KOSZ-CHN
koszenie chwast.i nalot.w upra
KOSZ-CHN
koszenie chwast.i nalot.w upra
KOSZ-CHN
koszenie chwast.i nalot.w upra
KOSZ-CHN
koszenie chwast.i nalot.w upra
KOSZ-CHN
koszenie chwast.i nalot.w upra
KOSZ-CHN
Nazwa: poprawki i uzupełnienia
DOŁ-1I
dołow. 1 lat. igl. z donies.
sadz.popr 1 l.kostur pasy/tale
POPR-1KP
załad.1lat.igl.rozład.-zabezp.
ZAŁ-1IL
dołow. 1 lat. igl. z donies.
DOŁ-1I
sadz.popr 1 l.kostur pasy/tale
POPR-1KP
załad.1lat.igl.rozład.-zabezp.
ZAŁ-1IL
dołow. 1 lat. liśc. z donies.
DOŁ-1L
sadzenie 1 latek jamka popraw.
POPR-1M
załad.1lat.liś.rozład.-zabezp.
ZAŁ-1LL
dołow. 1 lat. igl. z donies.
DOŁ-1I
dołow. 2-3 l liśc. z donies.
DOŁ-2L
Prace godz.- ciągnik zagospod.
GODZ CH
sadz.popr 1 l.kostur pasy/tale
POPR-1KP
sadzenie wielol.w jamkę w popr
POPR-WM
wykopanie dołu do dołow. sadz.
WYK-DOŁU
ZAŁ-1IL
załad.1lat.igl.rozład.-zabezp.
ZAŁ-2LL
załad.2-3l.liś.rozład. zabezp.
dołow. 1 lat. igl. z donies.
DOŁ-1I
DOŁ-2L
dołow. 2-3 l liśc. z donies.
GODZ CH
Prace godz.- ciągnik zagospod.
POPR-WM
sadzenie wielol.w jamkę w popr
WYK-TAL60
zdarcie pokr.na talerz.60x60
ZAŁ-1IL
załad.1lat.igl.rozład.-zabezp.
ZAŁ-2LL
załad.2-3l.liś.rozład. zabezp.
DOŁ-1I
dołow. 1 lat. igl. z donies.
DOŁ-2L
dołow. 2-3 l liśc. z donies.
HA
HA
HA
HA
HA
HA
HA
HA
HA
HA
HA
HA
HA
HA
HA
HA
HA
HA
HA
HA
HA
HA
HA
HA
HA
HA
HA
HA
HA
HA
HA
HA
HA
HA
HA
HA
HA
HA
HA
HA
HA
HA
HA
HA
HA
TSZT
TSZT
TSZT
TSZT
TSZT
TSZT
TSZT
TSZT
TSZT
TSZT
TSZT
H
TSZT
TSZT
M3
TSZT
TSZT
TSZT
TSZT
H
TSZT
TSZT
TSZT
TSZT
TSZT
TSZT
0,70
0,70
0,86
0,35
0,20
0,65
0,80
0,60
0,70
0,31
0,36
0,46
1,50
1,00
1,50
0,70
0,50
0,15
0,10
1,38
0,21
1,65
0,15
0,45
1,70
1,61
2,80
1,20
1,00
0,72
0,55
3,00
1,19
1,00
0,15
0,35
4,65
0,90
0,25
1,01
1,20
1,30
0,45
1,76
2,61
1,60
1,60
1,60
0,80
0,80
0,80
0,80
0,80
0,80
6,50
5,25
3,00
6,50
5,25
2,00
13,00
10,50
0,74
0,05
1,00
0,79
0,79
1,58
0,10
0,24
0,05
Bażyny
401 -h
Bażyny
401 -h
Bażyny
401 -h
Bażyny
401 -h
Bażyny
401 -i
Bażyny
401 -i
Bażyny
401 -i
Bażyny
401 -i
Bażyny
401 -i
Bażyny
401 -i
Kod typu planu: OCHRL
Kod grupy czynności: O-BUDKIN
Karbowo
Kod grupy czynności: O-BUDKIS
Komasy
Taftowo
Karbowo
Kod grupy czynności: O-GRODZN
Taftowo
7 -g
7 -g
Taftowo
7 -g
Taftowo
7 -g
Taftowo
7 -g
Taftowo
12 -g
Taftowo
12 -g
Taftowo
12 -g
Taftowo
12 -g
Taftowo
12 -g
Taftowo
12 -h
Taftowo
12 -h
Taftowo
12 -h
Taftowo
12 -h
Taftowo
12 -h
Taftowo
13 -g
Taftowo
13 -g
Taftowo
13 -g
Taftowo
13 -g
Taftowo
13 -g
Taftowo
13 -h
Taftowo
13 -h
Taftowo
13 -h
Taftowo
13 -h
Taftowo
13 -h
Taftowo
15 -j
Taftowo
15 -j
Taftowo
15 -j
Taftowo
15 -j
Taftowo
15 -j
Taftowo
28 -i
Taftowo
28 -i
Taftowo
28 -i
Taftowo
28 -i
Taftowo
Taftowo
28 -i
Taftowo
31 -f
31 -f
Taftowo
Taftowo
31 -f
Taftowo
31 -f
Taftowo
31 -f
Taftowo
31 -f
Karbowo
382 -i
Karbowo
382 -i
Karbowo
382 -i
Karbowo
382 -i
Karbowo
382 -i
Karbowo
382 -k
Karbowo
382 -k
Karbowo
382 -k
Karbowo
382 -k
Karbowo
382 -k
Karbowo
390 -a
Karbowo
390 -a
01
01
01
01
01
01
01
01
01
01
00
00
00
00
00
00
00
00
00
00
00
00
00
00
00
00
00
00
00
00
00
00
00
00
00
01
01
01
01
01
01
01
01
01
01
00
00
00
00
00
00
01
01
01
01
01
01
01
01
01
01
00
00
sadzenie wielolatek w jamkę
SADZ-WM
zdarcie pokr.na talerz.60x60
WYK-TAL60
załad.1lat.igl.rozład.-zabezp.
ZAŁ-1IL
załad.2-3l.liś.rozład. zabezp.
ZAŁ-2LL
dołow. 1 lat. igl. z donies.
DOŁ-1I
dołow. 2-3 l liśc. z donies.
DOŁ-2L
sadzenie wielol.w jamkę w popr
POPR-WM
zdarcie pokr.na talerz.60x60
WYK-TAL60
załad.1lat.igl.rozład.-zabezp.
ZAŁ-1IL
załad.2-3l.liś.rozład. zabezp.
ZAŁ-2LL
Nazwa: ochrona lasu
Nazwa: wieszanie budek lęg.nowych
ZAW-BUD
rozwiez.,zawiesz.skrzyn.lęgow.
Nazwa: konserwacja budek lęgowych
CZYSZ-BUD
czyszczenie skrzynek lęgowych
czyszczenie skrzynek lęgowych
CZYSZ-BUD
czyszczenie skrzynek lęgowych
CZYSZ-BUD
Nazwa: grodzenie upraw
GODZ CH
Prace godz.- ciągnik zagospod.
GRODZ-SN
grodzenie upraw siatką niziny
PRZYB-1ŻU
przybicie okorow.żerdzi w 1rz.
RKDKC
Ręczne korow.dłużyc kłód-czerw
RKSC
Ręczne korow.drewna stos-czerw
GODZ CH
Prace godz.- ciągnik zagospod.
GRODZ-SN
grodzenie upraw siatką niziny
PRZYB-1ŻU
przybicie okorow.żerdzi w 1rz.
RKDKC
Ręczne korow.dłużyc kłód-czerw
RKSC
Ręczne korow.drewna stos-czerw
GODZ CH
Prace godz.- ciągnik zagospod.
GRODZ-SN
grodzenie upraw siatką niziny
PRZYB-1ŻU
przybicie okorow.żerdzi w 1rz.
RKDKC
Ręczne korow.dłużyc kłód-czerw
RKSC
Ręczne korow.drewna stos-czerw
GODZ CH
Prace godz.- ciągnik zagospod.
GRODZ-SN
grodzenie upraw siatką niziny
PRZYB-1ŻU
przybicie okorow.żerdzi w 1rz.
RKDKC
Ręczne korow.dłużyc kłód-czerw
RKSC
Ręczne korow.drewna stos-czerw
GODZ CH
Prace godz.- ciągnik zagospod.
GRODZ-SN
grodzenie upraw siatką niziny
PRZYB-1ŻU
przybicie okorow.żerdzi w 1rz.
RKDKC
Ręczne korow.dłużyc kłód-czerw
RKSC
Ręczne korow.drewna stos-czerw
GODZ CH
Prace godz.- ciągnik zagospod.
GRODZ-SN
grodzenie upraw siatką niziny
PRZYB-1ŻU
przybicie okorow.żerdzi w 1rz.
RKDKC
Ręczne korow.dłużyc kłód-czerw
RKSC
Ręczne korow.drewna stos-czerw
GODZ CH
Prace godz.- ciągnik zagospod.
GRODZ-SN
grodzenie upraw siatką niziny
PRZYB-1ŻU
przybicie okorow.żerdzi w 1rz.
RKDKC
Ręczne korow.dłużyc kłód-czerw
RKSC
Ręczne korow.drewna stos-czerw
GODZ CH
Prace godz.- ciągnik zagospod.
GODZ RHH
Prace godz.ręcz.z zagos.w godz
GRODZ-SN
grodzenie upraw siatką niziny
PRZYB-1ŻU
przybicie okorow.żerdzi w 1rz.
RKDKC
Ręczne korow.dłużyc kłód-czerw
RKSC
Ręczne korow.drewna stos-czerw
Prace godz.- ciągnik zagospod.
GODZ CH
grodzenie upraw siatką niziny
GRODZ-SN
przybicie okorow.żerdzi w 1rz.
PRZYB-1ŻU
Ręczne korow.dłużyc kłód-czerw
RKDKC
Ręczne korow.drewna stos-czerw
RKSC
Prace godz.- ciągnik zagospod.
GODZ CH
grodzenie upraw siatką niziny
GRODZ-SN
przybicie okorow.żerdzi w 1rz.
PRZYB-1ŻU
Ręczne korow.dłużyc kłód-czerw
RKDKC
Ręczne korow.drewna stos-czerw
RKSC
GODZ CH
Prace godz.- ciągnik zagospod.
GRODZ-SN
grodzenie upraw siatką niziny
TSZT
TSZT
TSZT
TSZT
TSZT
TSZT
TSZT
TSZT
TSZT
TSZT
SZT
SZT
SZT
SZT
SZT
SZT
HA
H
HM
HM
M3
M3
H
HM
HM
M3
M3
H
HM
HM
M3
M3
H
HM
HM
M3
M3
H
HM
HM
M3
M3
H
HM
HM
M3
M3
H
HM
HM
M3
M3
H
H
HM
HM
M3
M3
H
HM
HM
M3
M3
H
HM
HM
M3
M3
H
HM
0,29
0,29
0,48
0,10
0,02
0,05
0,07
0,07
0,04
0,10
15,00
15,00
278,00
150,00
83,00
45,00
29,65
2,00
5,10
5,10
2,24
4,49
2,00
9,00
9,00
3,96
7,92
1,00
4,00
4,00
1,76
3,52
1,00
3,60
3,60
1,58
3,17
2,00
10,00
10,00
4,40
8,80
3,00
10,00
10,00
4,40
8,80
4,00
16,20
16,20
6,48
12,96
3,00
5,00
5,50
5,50
2,20
4,40
10,00
10,00
10,00
5,00
10,00
4,00
4,00
4,00
2,00
4,00
3,00
3,00
Karbowo
390 -a
Karbowo
390 -a
Karbowo
390 -a
Karbowo
390 -b
Karbowo
390 -b
Karbowo
390 -b
Karbowo
390 -b
Karbowo
390 -b
Karbowo
423 -j
Karbowo
423 -j
Karbowo
423 -j
Karbowo
423 -j
Karbowo
423 -j
Karbowo
423 -k
Karbowo
423 -k
Karbowo
423 -k
Karbowo
423 -k
Karbowo
423 -k
Karbowo
429 -d
Karbowo
429 -d
Karbowo
429 -d
Karbowo
429 -d
Karbowo
429 -d
Karbowo
431 -c
Karbowo
431 -c
Karbowo
431 -c
Karbowo
431 -c
Karbowo
431 -c
Bażyny
118 -k
Bażyny
118 -k
Bażyny
118 -k
Bażyny
118 -k
Bażyny
118 -k
Kod grupy czynności: O-GRODZR
Karbowo
387 -l
Karbowo
387 -l
Karbowo
388 -l
Karbowo
388 -l
Karbowo
442 -c
Karbowo
442 -c
Bażyny
340 -i
Bażyny
340 -i
Bażyny
399 -l
Bażyny
399 -l
Bażyny
426 -b
Bażyny
426 -b
Kod grupy czynności: O-GRODZS
Taftowo
3 -f
Taftowo
3 -f
Taftowo
12 -f
Taftowo
12 -f
Taftowo
14 -i
Taftowo
14 -i
Taftowo
21 -b
Taftowo
21 -b
Taftowo
28 -b
Taftowo
28 -b
Taftowo
28 -c
Taftowo
28 -c
Taftowo
28 -k
Taftowo
28 -k
Taftowo
31 -a
Taftowo
31 -a
Taftowo
36 -c
Taftowo
36 -c
Taftowo
40 -m
Taftowo
40 -m
Taftowo
77 -f
Taftowo
77 -f
Taftowo
89 -j
Taftowo
89 -j
00
00
00
00
00
00
00
00
00
00
00
00
00
00
00
00
00
00
01
01
01
01
01
00
00
00
00
00
00
00
00
00
00
00
00
00
00
00
00
00
00
00
00
00
00
00
00
00
00
00
00
00
00
00
00
00
00
00
00
00
00
00
00
00
00
00
00
00
00
przybicie okorow.żerdzi w 1rz.
PRZYB-1ŻU
Ręczne korow.dłużyc kłód-czerw
RKDKC
Ręczne korow.drewna stos-czerw
RKSC
Prace godz.- ciągnik zagospod.
GODZ CH
grodzenie upraw siatką niziny
GRODZ-SN
przybicie okorow.żerdzi w 1rz.
PRZYB-1ŻU
Ręczne korow.dłużyc kłód-czerw
RKDKC
Ręczne korow.drewna stos-czerw
RKSC
Prace godz.- ciągnik zagospod.
GODZ CH
grodzenie upraw siatką niziny
GRODZ-SN
przybicie okorow.żerdzi w 1rz.
PRZYB-1ŻU
Ręczne korow.dłużyc kłód-czerw
RKDKC
Ręczne korow.drewna stos-czerw
RKSC
Prace godz.- ciągnik zagospod.
GODZ CH
grodzenie upraw siatką niziny
GRODZ-SN
przybicie okorow.żerdzi w 1rz.
PRZYB-1ŻU
Ręczne korow.dłużyc kłód-czerw
RKDKC
Ręczne korow.drewna stos-czerw
RKSC
Prace godz.- ciągnik zagospod.
GODZ CH
grodzenie upraw siatką niziny
GRODZ-SN
przybicie okorow.żerdzi w 1rz.
PRZYB-1ŻU
Ręczne korow.dłużyc kłód-czerw
RKDKC
Ręczne korow.drewna stos-czerw
RKSC
Prace godz.- ciągnik zagospod.
GODZ CH
grodzenie upraw siatką niziny
GRODZ-SN
przybicie okorow.żerdzi w 1rz.
PRZYB-1ŻU
Ręczne korow.dłużyc kłód-czerw
RKDKC
Ręczne korow.drewna stos-czerw
RKSC
Prace godz.- ciągnik zagospod.
GODZ CH
grodzenie upraw siatką niziny
GRODZ-SN
przybicie okorow.żerdzi w 1rz.
PRZYB-1ŻU
Ręczne korow.dłużyc kłód-czerw
RKDKC
Ręczne korow.drewna stos-czerw
RKSC
Nazwa: demontaż ogrodzenia upraw
Prace godz.- ciągnik zagospod.
GODZ CH
Prace godz.ręcz.z zagos.w godz
GODZ RHH
Prace godz.- ciągnik zagospod.
GODZ CH
Prace godz.ręcz.z zagos.w godz
GODZ RHH
Prace godz.- ciągnik zagospod.
GODZ CH
Prace godz.ręcz.z zagos.w godz
GODZ RHH
Prace godz.- ciągnik zagospod.
GODZ CH
Prace godz.ręcz.z zagos.w godz
GODZ RHH
Prace godz.- ciągnik zagospod.
GODZ CH
Prace godz.ręcz.z zagos.w godz
GODZ RHH
Prace godz.- ciągnik zagospod.
GODZ CH
Prace godz.ręcz.z zagos.w godz
GODZ RHH
Nazwa: konserwacja ogrodzeń
GODZ CH
Prace godz.- ciągnik zagospod.
Prace godz.ręcz.z zagos.w godz
GODZ RHH
Prace godz.- ciągnik zagospod.
GODZ CH
Prace godz.ręcz.z zagos.w godz
GODZ RHH
Prace godz.- ciągnik zagospod.
GODZ CH
Prace godz.ręcz.z zagos.w godz
GODZ RHH
Prace godz.- ciągnik zagospod.
GODZ CH
Prace godz.ręcz.z zagos.w godz
GODZ RHH
Prace godz.- ciągnik zagospod.
GODZ CH
Prace godz.ręcz.z zagos.w godz
GODZ RHH
Prace godz.- ciągnik zagospod.
GODZ CH
Prace godz.ręcz.z zagos.w godz
GODZ RHH
Prace godz.- ciągnik zagospod.
GODZ CH
Prace godz.ręcz.z zagos.w godz
GODZ RHH
Prace godz.- ciągnik zagospod.
GODZ CH
Prace godz.ręcz.z zagos.w godz
GODZ RHH
Prace godz.- ciągnik zagospod.
GODZ CH
Prace godz.ręcz.z zagos.w godz
GODZ RHH
Prace godz.- ciągnik zagospod.
GODZ CH
Prace godz.ręcz.z zagos.w godz
GODZ RHH
GODZ CH
Prace godz.- ciągnik zagospod.
GODZ RHH
Prace godz.ręcz.z zagos.w godz
GODZ CH
Prace godz.- ciągnik zagospod.
GODZ RHH
Prace godz.ręcz.z zagos.w godz
HM
M3
M3
H
HM
HM
M3
M3
H
HM
HM
M3
M3
H
HM
HM
M3
M3
H
HM
HM
M3
M3
H
HM
HM
M3
M3
H
HM
HM
M3
M3
HA
H
H
H
H
H
H
H
H
H
H
H
H
X
H
H
H
H
H
H
H
H
H
H
H
H
H
H
H
H
H
H
H
H
H
H
H
H
3,00
1,50
3,00
3,00
3,00
3,00
1,50
3,00
3,00
3,00
3,00
3,00
1,50
3,00
3,00
3,00
1,50
3,00
18,00
18,00
18,00
9,00
18,00
6,00
6,00
6,00
3,00
6,00
8,00
4,80
4,80
2,42
4,02
6,19
2,00
81,60
2,00
105,60
4,00
120,00
3,00
91,20
3,00
102,60
3,00
96,00
0,00
2,00
4,00
2,00
3,00
2,00
4,00
1,00
1,00
1,00
1,00
2,00
4,00
2,00
4,00
2,00
4,00
2,00
4,00
2,00
4,00
2,00
4,00
1,00
2,00
Karbowo
383 -h
Karbowo
383 -h
Karbowo
385 -c
Karbowo
385 -c
Karbowo
385 -f
Karbowo
385 -f
Karbowo
385 -j
Karbowo
385 -j
Karbowo
392 -g
Karbowo
392 -g
Karbowo
392 -m
Karbowo
392 -m
Karbowo
393 -b
Karbowo
393 -b
Karbowo
395 -h
Karbowo
395 -h
Karbowo
414 -j
Karbowo
414 -j
Karbowo
415 -b
Karbowo
415 -b
Karbowo
415 -d
Karbowo
415 -d
Karbowo
415 -f
Karbowo
415 -f
Karbowo
420 -a
Karbowo
420 -a
Karbowo
424 -b
Karbowo
424 -b
Karbowo
432 -l
Karbowo
432 -l
Bażyny
402 -c
Bażyny
402 -c
Bażyny
412 -b
Bażyny
412 -b
Kod grupy czynności: O-KONTRU
Komasy
101 -a
Komasy
101 -a
Komasy
129 -l
Komasy
129 -l
Komasy
143 -c
Komasy
143 -c
Komasy
192 -h
Komasy
192 -h
Karbowo
381 -m
Karbowo
381 -m
Karbowo
381 -x
Karbowo
381 -x
Karbowo
385 -n
Karbowo
385 -n
Karbowo
391 -h
Karbowo
391 -h
Karbowo
423 -j
Karbowo
423 -j
Karbowo
423 -k
Karbowo
423 -k
Kod grupy czynności: O-PROGNŚ
Komasy
Taftowo
Karbowo
Bażyny
Kod grupy czynności: O-SMIECI
Komasy
Komasy
Taftowo
Taftowo
Karbowo
Karbowo
Bażyny
Bażyny
Kod grupy czynności: O-ZGRYZD
Komasy
-
00
00
00
00
00
00
01
01
00
00
00
00
00
00
00
00
00
00
00
00
00
00
00
00
00
00
01
01
00
00
00
00
00
00
00
00
00
00
01
01
00
00
00
00
00
00
00
00
00
00
00
00
00
00
Prace godz.- ciągnik zagospod.
GODZ CH
Prace godz.ręcz.z zagos.w godz
GODZ RHH
Prace godz.- ciągnik zagospod.
GODZ CH
Prace godz.ręcz.z zagos.w godz
GODZ RHH
Prace godz.- ciągnik zagospod.
GODZ CH
Prace godz.ręcz.z zagos.w godz
GODZ RHH
Prace godz.- ciągnik zagospod.
GODZ CH
Prace godz.ręcz.z zagos.w godz
GODZ RHH
Prace godz.- ciągnik zagospod.
GODZ CH
Prace godz.ręcz.z zagos.w godz
GODZ RHH
Prace godz.- ciągnik zagospod.
GODZ CH
Prace godz.ręcz.z zagos.w godz
GODZ RHH
Prace godz.- ciągnik zagospod.
GODZ CH
Prace godz.ręcz.z zagos.w godz
GODZ RHH
Prace godz.- ciągnik zagospod.
GODZ CH
Prace godz.ręcz.z zagos.w godz
GODZ RHH
Prace godz.- ciągnik zagospod.
GODZ CH
Prace godz.ręcz.z zagos.w godz
GODZ RHH
Prace godz.- ciągnik zagospod.
GODZ CH
Prace godz.ręcz.z zagos.w godz
GODZ RHH
Prace godz.- ciągnik zagospod.
GODZ CH
Prace godz.ręcz.z zagos.w godz
GODZ RHH
Prace godz.- ciągnik zagospod.
GODZ CH
Prace godz.ręcz.z zagos.w godz
GODZ RHH
Prace godz.- ciągnik zagospod.
GODZ CH
Prace godz.ręcz.z zagos.w godz
GODZ RHH
Prace godz.- ciągnik zagospod.
GODZ CH
Prace godz.ręcz.z zagos.w godz
GODZ RHH
Prace godz.- ciągnik zagospod.
GODZ CH
Prace godz.ręcz.z zagos.w godz
GODZ RHH
Prace godz.- ciągnik zagospod.
GODZ CH
Prace godz.ręcz.z zagos.w godz
GODZ RHH
Prace godz.- ciągnik zagospod.
GODZ CH
Prace godz.ręcz.z zagos.w godz
GODZ RHH
Nazwa: kontr.występ.szkod.upraw,młod.
Prace godz.zwalczan. ryjkowców
GODZ ORYJ
wykł. pułapek na ryjkowce
PUŁ-RYJ
Prace godz.zwalczan. ryjkowców
GODZ ORYJ
wykł. pułapek na ryjkowce
PUŁ-RYJ
Prace godz.zwalczan. ryjkowców
GODZ ORYJ
wykł. pułapek na ryjkowce
PUŁ-RYJ
Prace godz.zwalczan. ryjkowców
GODZ ORYJ
wykł. pułapek na ryjkowce
PUŁ-RYJ
Prace godz.zwalczan. ryjkowców
GODZ ORYJ
wykł. pułapek na ryjkowce
PUŁ-RYJ
Prace godz.zwalczan. ryjkowców
GODZ ORYJ
wykł. pułapek na ryjkowce
PUŁ-RYJ
Prace godz.zwalczan. ryjkowców
GODZ ORYJ
wykł. pułapek na ryjkowce
PUŁ-RYJ
Prace godz.zwalczan. ryjkowców
GODZ ORYJ
wykł. pułapek na ryjkowce
PUŁ-RYJ
Prace godz.zwalczan. ryjkowców
GODZ ORYJ
wykł. pułapek na ryjkowce
PUŁ-RYJ
Prace godz.zwalczan. ryjkowców
GODZ ORYJ
wykł. pułapek na ryjkowce
PUŁ-RYJ
Nazwa: poszukiwania w ściole
SZUK-OWAD próbne poszukiw.owad.w ściółce
SZUK-OWAD próbne poszukiw.owad.w ściółce
SZUK-OWAD próbne poszukiw.owad.w ściółce
SZUK-OWAD próbne poszukiw.owad.w ściółce
Nazwa: Sprzątanie śmieci z teren.leśn
Prace godz.- ciągnik zagospod.
GODZ CH
Prace godz.ręcz.z zagos.w godz
GODZ RHH
Prace godz.- ciągnik zagospod.
GODZ CH
Prace godz.ręcz.z zagos.w godz
GODZ RHH
Prace godz.- ciągnik zagospod.
GODZ CH
Prace godz.ręcz.z zagos.w godz
GODZ RHH
Prace godz.- ciągnik zagospod.
GODZ CH
Prace godz.ręcz.z zagos.w godz
GODZ RHH
Nazwa: wykładanie drzew zgryzowych
GODZ RHH
Prace godz.ręcz.z zagos.w godz
H
H
H
H
H
H
H
H
H
H
H
H
H
H
H
H
H
H
H
H
H
H
H
H
H
H
H
H
H
H
H
H
H
H
HA
H
SZT
H
SZT
H
SZT
H
SZT
H
SZT
H
SZT
H
SZT
H
SZT
H
SZT
H
SZT
SZT
SZT
SZT
SZT
SZT
M3
H
H
H
H
H
H
H
H
HA
H
2,00
16,00
1,00
3,00
2,00
5,00
1,00
4,00
2,00
6,00
2,00
8,00
5,00
10,00
3,00
13,00
2,00
8,00
1,00
6,00
2,00
7,00
4,00
10,00
2,00
12,00
4,00
10,00
3,00
8,00
1,00
5,00
1,00
6,00
8,92
6,50
13,00
7,50
15,00
3,00
6,00
5,50
11,00
1,50
3,00
2,50
5,00
1,00
2,00
0,50
1,00
1,50
3,00
1,00
2,00
28,00
16,00
7,00
4,00
1,00
65,00
3,00
30,00
20,00
40,00
20,00
80,00
5,00
20,00
105,00
25,00
Taftowo
Karbowo
Bażyny
Kod grupy czynności: O-ZGRYZM
Komasy
200 -c 00
Kod grupy czynności: O-ZWWTÓRK
Komasy
Komasy
Komasy
Taftowo
Taftowo
Taftowo
Kod typu planu: OCHRP
Kod grupy czynności: P-INFO
Taftowo
Karbowo
Bażyny
Kod grupy czynności: P-PASYS
Komasy
Komasy
Taftowo
Taftowo
Karbowo
Kod grupy czynności: P-PORZ
Karbowo
Kod grupy czynności: P-PUNKTO
Komasy
Kod grupy czynności: P-PUNKTŁ
Karbowo
Kod grupy czynności: UT-WODA
Komasy
Komasy
Taftowo
Taftowo
Karbowo
Karbowo
Bażyny
Bażyny
Kod typu planu: POZ
Kod grupy czynności: CP-P
Komasy
102 -k 00
Komasy
109 -f 00
Komasy
266 -h 00
Taftowo
19 -d 00
Taftowo
22 -h 00
Taftowo
26 -j
00
Taftowo
26 -p 00
Taftowo
34 -n 00
Taftowo
39 -b 00
76 -c 00
Taftowo
Taftowo
76 -g 00
Taftowo
77 -a 00
Karbowo
394 -d 00
394 -m 00
Karbowo
115 -j 00
Bażyny
412 -n 00
Bażyny
Kod grupy czynności: IB
Komasy
52 -i
00
Komasy
98 -i
00
Komasy
98 -k 00
Komasy
99 -c 00
Komasy
99 -m 00
Komasy
110 -l 00
Komasy
141 -d 00
Komasy
163 -g 00
Komasy
163 -i 00
Komasy
194 -b 00
Komasy
194 -c 00
Komasy
194 -g 00
Komasy
194 -i 00
Taftowo
48 -g 00
GODZ RHH
Prace godz.ręcz.z zagos.w godz
GODZ RHH
Prace godz.ręcz.z zagos.w godz
Prace godz.ręcz.z zagos.w godz
GODZ RHH
Nazwa: ochr.mech.przed zgryzaniem
ZAB-UPAK
zabezp.upraw przed zw.pakułowa
Nazwa: zwal.szkod.wtór.-pułapki klas.
GODZ CH
Prace godz.- ciągnik zagospod.
GODZ RHH
Prace godz.ręcz.z zagos.w godz
wykł. pułapek szkodniki wtórne
PUŁ-WT
GODZ CH
Prace godz.- ciągnik zagospod.
GODZ RHH
Prace godz.ręcz.z zagos.w godz
wykł. pułapek szkodniki wtórne
PUŁ-WT
Nazwa: ochrona p-poż
Nazwa: tablice informac.,ostrzegawcze
WYW-TAB
wywiesz.tablic ostrz. i infor.
WYW-TAB
wywiesz.tablic ostrz. i infor.
wywiesz.tablic ostrz. i infor.
WYW-TAB
Nazwa: utrzymanie pasów p-poż
mineral.pasów p-poż ciągnikiem
ODN-PASC
PPOŻ-PORZ
porząd.teren.przy pasach p-poż
mineral.pasów p-poż ciągnikiem
ODN-PASC
porząd.teren.przy pasach p-poż
PPOŻ-PORZ
mineral.pasów p-poż ciągnikiem
ODN-PASC
Nazwa: porządkowanie terenu
PPOŻ-PORZ
porząd.teren.przy pasach p-poż
Nazwa: punkty obserwacyjne
GODZ LACZ
Dyżury p.poż.
Nazwa: punkty łączności alarmowej
Dyżury p.poż.PAD
GODZ PAD
Nazwa: Utrzym.istn.punktów czerp.wody
GODZ PUNK
Prace godz.- punkt czerp.wody
GODZ RHH
Prace godz.ręcz.z zagos.w godz
GODZ PUNK
Prace godz.- punkt czerp.wody
GODZ RHH
Prace godz.ręcz.z zagos.w godz
GODZ PUNK
Prace godz.- punkt czerp.wody
GODZ RHH
Prace godz.ręcz.z zagos.w godz
GODZ PUNK
Prace godz.- punkt czerp.wody
GODZ RHH
Prace godz.ręcz.z zagos.w godz
Nazwa: pozyskanie drewna
Nazwa: pozyskanie w CP
Całkow. wyrób drewna piłą,niz
CWDPN
Całkow. wyrób drewna piłą,niz
CWDPN
CWDPN
Całkow. wyrób drewna piłą,niz
Całkow. wyrób drewna piłą,niz
CWDPN
CWDPN
Całkow. wyrób drewna piłą,niz
CWDPN
Całkow. wyrób drewna piłą,niz
CWDPN
Całkow. wyrób drewna piłą,niz
CWDPN
Całkow. wyrób drewna piłą,niz
CWDPN
Całkow. wyrób drewna piłą,niz
CWDPN
Całkow. wyrób drewna piłą,niz
CWDPN
Całkow. wyrób drewna piłą,niz
CWDPN
Całkow. wyrób drewna piłą,niz
CWDPN
Całkow. wyrób drewna piłą,niz
CWDPN
Całkow. wyrób drewna piłą,niz
CWDPN
Całkow. wyrób drewna piłą,niz
CWDPN
Całkow. wyrób drewna piłą,niz
Nazwa: rębnia Ib
CWDPN
Całkow. wyrób drewna piłą,niz
CWDPN
Całkow. wyrób drewna piłą,niz
Całkow. wyrób drewna piłą,niz
CWDPN
Całkow. wyrób drewna piłą,niz
CWDPN
Całkow. wyrób drewna piłą,niz
CWDPN
Całkow. wyrób drewna piłą,niz
CWDPN
CWDPN
Całkow. wyrób drewna piłą,niz
CWDPN
Całkow. wyrób drewna piłą,niz
Całkow. wyrób drewna piłą,niz
CWDPN
CWDPN
Całkow. wyrób drewna piłą,niz
CWDPN
Całkow. wyrób drewna piłą,niz
Całkow. wyrób drewna piłą,niz
CWDPN
CWDPN
Całkow. wyrób drewna piłą,niz
CWDPN
Całkow. wyrób drewna piłą,niz
H
H
H
HA
TSZT
SZT
H
H
SZT
H
H
SZT
20,00
15,00
15,00
0,05
0,10
40,00
5,00
5,00
20,00
5,00
5,00
20,00
X
SZT
SZT
SZT
KMT
KMT
HA
KMT
HA
KMT
HA
HA
SZT
SZT
SZT
SZT
SZT
SZT
H
SZT
H
SZT
H
SZT
H
0,00
3,00
3,00
3,00
5,44
3,40
10,20
0,24
0,72
1,80
7,80
7,80
1,00
1 400,00
1,00
800,00
10,00
4,00
18,00
2,00
8,00
3,00
48,00
1,00
15,00
M3
M3
M3
M3
M3
M3
M3
M3
M3
M3
M3
M3
M3
M3
M3
M3
M3
M3
M3
M3
M3
M3
M3
M3
M3
M3
M3
M3
M3
M3
M3
M3
534,00
8,00
5,00
12,00
35,00
13,00
27,00
78,00
47,00
177,00
30,00
55,00
17,00
3,00
19,00
2,00
6,00
6 533,00
149,00
177,00
205,00
271,00
336,00
632,00
599,00
640,00
573,00
219,00
238,00
148,00
179,00
222,00
Taftowo
48 -i
Bażyny
115 -c
Bażyny
116 -a
Bażyny
117 -f
Bażyny
403 -c
Bażyny
404 -a
Kod grupy czynności: IIB
Bażyny
403 -b
Kod grupy czynności: IIBU
Karbowo
415 -d
Kod grupy czynności: IIIA
Komasy
171 -h
Komasy
199 -b
Komasy
199 -c
Komasy
200 -i
Taftowo
5 -l
Taftowo
5 -n
Taftowo
5 -o
Taftowo
6 -g
Taftowo
6 -m
Taftowo
7 -h
Taftowo
9 -f
Taftowo
24 -d
Taftowo
30 -m
Taftowo
41 -p
Taftowo
49 -f
Karbowo
387 -c
Bażyny
112 -a
Bażyny
112 -c
Kod grupy czynności: IIIAU
Karbowo
387 -l
Karbowo
388 -l
442 -c
Karbowo
Kod grupy czynności: IIIB
Taftowo
56 -f
Kod grupy czynności: POZ-P
Komasy
Komasy
Taftowo
Taftowo
Karbowo
Karbowo
Bażyny
Bażyny
Kod grupy czynności: PR
Komasy
Taftowo
Karbowo
Bażyny
Kod grupy czynności: PTP
Komasy
Taftowo
Karbowo
Bażyny
Kod grupy czynności: PTW
Komasy
Taftowo
Karbowo
Bażyny
Kod grupy czynności: TPP
Komasy
86 -h
Komasy
98 -c
Komasy
101 -j
Komasy
101 -m
Komasy
101 -o
Komasy
102 -g
Komasy
107 -g
Komasy
127 -d
Komasy
128 -a
Komasy
166 -d
Komasy
167 -c
00
00
00
00
00
00
00
00
00
00
00
00
00
00
00
00
00
00
00
00
00
00
00
00
00
00
00
00
00
00
00
00
00
00
00
00
00
00
00
00
00
CWDPN
Całkow. wyrób drewna piłą,niz
CWDPN
Całkow. wyrób drewna piłą,niz
CWDPN
Całkow. wyrób drewna piłą,niz
CWDPN
Całkow. wyrób drewna piłą,niz
CWDPN
Całkow. wyrób drewna piłą,niz
CWDPN
Całkow. wyrób drewna piłą,niz
Nazwa: rębnia IIb
CWDPN
Całkow. wyrób drewna piłą,niz
Nazwa: rębnia IIb uprzatające
Całkow. wyrób drewna piłą,niz
CWDPN
Nazwa: rębnia IIIa
Całkow. wyrób drewna piłą,niz
CWDPN
Całkow. wyrób drewna piłą,niz
CWDPN
Całkow. wyrób drewna piłą,niz
CWDPN
Całkow. wyrób drewna piłą,niz
CWDPN
Całkow. wyrób drewna piłą,niz
CWDPN
Całkow. wyrób drewna piłą,niz
CWDPN
Całkow. wyrób drewna piłą,niz
CWDPN
Całkow. wyrób drewna piłą,niz
CWDPN
Całkow. wyrób drewna piłą,niz
CWDPN
Całkow. wyrób drewna piłą,niz
CWDPN
Całkow. wyrób drewna piłą,niz
CWDPN
Całkow. wyrób drewna piłą,niz
CWDPN
Całkow. wyrób drewna piłą,niz
CWDPN
Całkow. wyrób drewna piłą,niz
CWDPN
Całkow. wyrób drewna piłą,niz
CWDPN
Całkow. wyrób drewna piłą,niz
CWDPN
Całkow. wyrób drewna piłą,niz
CWDPN
Całkow. wyrób drewna piłą,niz
CWDPN
Nazwa: rębnia IIIa uprzątające
CWDPN
Całkow. wyrób drewna piłą,niz
CWDPN
Całkow. wyrób drewna piłą,niz
CWDPN
Całkow. wyrób drewna piłą,niz
Nazwa: rębnia IIIb
CWDPN
Całkow. wyrób drewna piłą,niz
Nazwa: inne czynności z pozysk.d-wna
GODZ CI
Prace godz.- ciągnik pozostałe
Prace godz. ręczne pozostałe
GODZ RI
Prace godz.- ciągnik pozostałe
GODZ CI
Prace godz. ręczne pozostałe
GODZ RI
Prace godz.- ciągnik pozostałe
GODZ CI
Prace godz. ręczne pozostałe
GODZ RI
Prace godz.- ciągnik pozostałe
GODZ CI
Prace godz. ręczne pozostałe
GODZ RI
Nazwa: przygodne-rębne
CWDPN
Całkow. wyrób drewna piłą,niz
CWDPN
Całkow. wyrób drewna piłą,niz
CWDPN
Całkow. wyrób drewna piłą,niz
CWDPN
Całkow. wyrób drewna piłą,niz
Nazwa: przygodne-trzebieże późne
CWDPN
Całkow. wyrób drewna piłą,niz
CWDPN
Całkow. wyrób drewna piłą,niz
CWDPN
Całkow. wyrób drewna piłą,niz
Całkow. wyrób drewna piłą,niz
CWDPN
Nazwa: przygodne-trzebieże wczesne
CWDPN
Całkow. wyrób drewna piłą,niz
CWDPN
Całkow. wyrób drewna piłą,niz
CWDPN
Całkow. wyrób drewna piłą,niz
CWDPN
Całkow. wyrób drewna piłą,niz
Nazwa: trzebież późna pozytywna
CWDPN
Całkow. wyrób drewna piłą,niz
CWDPN
Całkow. wyrób drewna piłą,niz
Całkow. wyrób drewna piłą,niz
CWDPN
CWDPN
Całkow. wyrób drewna piłą,niz
CWDPN
Całkow. wyrób drewna piłą,niz
CWDPN
Całkow. wyrób drewna piłą,niz
Całkow. wyrób drewna piłą,niz
CWDPN
CWDPN
Całkow. wyrób drewna piłą,niz
Całkow. wyrób drewna piłą,niz
CWDPN
CWDPN
Całkow. wyrób drewna piłą,niz
CWDPN
Całkow. wyrób drewna piłą,niz
M3
M3
M3
M3
M3
M3
M3
M3
M3
M3
M3
M3
M3
M3
M3
M3
M3
M3
M3
M3
M3
M3
M3
M3
M3
M3
M3
M3
M3
M3
M3
M3
M3
M3
M3
X
H
H
H
H
H
H
H
H
M3
M3
M3
M3
M3
M3
M3
M3
M3
M3
M3
M3
M3
M3
M3
M3
M3
M3
M3
M3
M3
M3
M3
M3
M3
M3
M3
214,00
261,00
417,00
133,00
348,00
572,00
142,00
142,00
98,00
98,00
3 874,00
199,00
52,00
31,00
121,00
479,00
453,00
28,00
196,00
238,00
103,00
287,00
261,00
97,00
118,00
349,00
516,00
283,00
63,00
1 820,00
503,00
824,00
493,00
251,00
251,00
0,00
15,00
20,00
35,00
40,00
50,00
50,00
30,00
10,00
1 015,00
230,00
372,00
213,00
200,00
1 587,00
285,00
600,00
297,00
405,00
1 041,00
285,00
278,00
378,00
100,00
7 604,00
126,00
81,00
61,00
302,00
48,00
185,00
113,00
116,00
234,00
154,00
216,00
Komasy
190
Komasy
191
Komasy
192
Komasy
192
Komasy
193
Komasy
193
Komasy
193
Komasy
193
Komasy
195
Taftowo
40
Taftowo
40
Taftowo
50
Taftowo
61
Taftowo
72
Taftowo
72
Taftowo
72
Taftowo
91
Taftowo
93
Taftowo
105
Karbowo
387
Karbowo
388
Karbowo
388
Karbowo
388
Karbowo
388
Karbowo
388
Karbowo
388
Karbowo
389
Karbowo
389
Karbowo
389
Karbowo
394
Karbowo
394
Karbowo
394
Karbowo
408
Karbowo
408
Karbowo
408
Karbowo
408
Karbowo
408
Karbowo
408
Karbowo
442
Karbowo
442
Bażyny
112
Bażyny
116
Bażyny
119
Bażyny
119
Bażyny
122
Bażyny
173
Bażyny
410
Bażyny
410
Bażyny
410
Bażyny
410
Bażyny
412
Bażyny
412
Bażyny
412
Kod grupy czynności: TWP
Komasy
83
Komasy
96
Komasy
102
Komasy
108
Komasy
108
Komasy
109
Komasy
127
Komasy
128
Komasy
147
Komasy
147
Komasy
166
Komasy
191
Komasy
192
Komasy
200
Komasy
200
Taftowo
13
Taftowo
28
-a
-o
-b
-j
-n
-r
-s
-z
-b
-n
-p
-d
-b
-b
-d
-i
-c
-c
-b
-i
-a
-b
-g
-h
-j
-k
-d
-j
-k
-b
-i
-n
-a
-b
-c
-d
-f
-h
-a
-d
-b
-b
-c
-k
-d
-d
-i
-k
-l
-m
-d
-l
-p
00
00
00
00
00
00
00
00
00
00
00
00
00
00
00
00
00
00
00
00
00
00
00
00
00
00
00
00
00
00
00
00
00
00
00
00
00
00
00
00
00
00
00
00
00
00
00
00
00
00
00
00
00
-a
-o
-h
-g
-h
-a
-i
-d
-l
-p
-k
-d
-f
-f
-g
-f
-d
00
00
00
00
00
00
00
00
00
00
00
00
00
00
00
00
00
Całkow. wyrób drewna piłą,niz
CWDPN
Całkow. wyrób drewna piłą,niz
CWDPN
Całkow. wyrób drewna piłą,niz
CWDPN
Całkow. wyrób drewna piłą,niz
CWDPN
Całkow. wyrób drewna piłą,niz
CWDPN
Całkow. wyrób drewna piłą,niz
CWDPN
Całkow. wyrób drewna piłą,niz
CWDPN
Całkow. wyrób drewna piłą,niz
CWDPN
Całkow. wyrób drewna piłą,niz
CWDPN
Całkow. wyrób drewna piłą,niz
CWDPN
Całkow. wyrób drewna piłą,niz
CWDPN
Całkow. wyrób drewna piłą,niz
CWDPN
Całkow. wyrób drewna piłą,niz
CWDPN
Całkow. wyrób drewna piłą,niz
CWDPN
Całkow. wyrób drewna piłą,niz
CWDPN
Całkow. wyrób drewna piłą,niz
CWDPN
Całkow. wyrób drewna piłą,niz
CWDPN
Całkow. wyrób drewna piłą,niz
CWDPN
Całkow. wyrób drewna piłą,niz
CWDPN
Całkow. wyrób drewna piłą,niz
CWDPN
Całkow. wyrób drewna piłą,niz
CWDPN
Całkow. wyrób drewna piłą,niz
CWDPN
Całkow. wyrób drewna piłą,niz
CWDPN
Całkow. wyrób drewna piłą,niz
CWDPN
Całkow. wyrób drewna piłą,niz
CWDPN
Całkow. wyrób drewna piłą,niz
CWDPN
Całkow. wyrób drewna piłą,niz
CWDPN
Całkow. wyrób drewna piłą,niz
CWDPN
Całkow. wyrób drewna piłą,niz
CWDPN
Całkow. wyrób drewna piłą,niz
CWDPN
Całkow. wyrób drewna piłą,niz
CWDPN
Całkow. wyrób drewna piłą,niz
CWDPN
Całkow. wyrób drewna piłą,niz
CWDPN
Całkow. wyrób drewna piłą,niz
CWDPN
Całkow. wyrób drewna piłą,niz
CWDPN
Całkow. wyrób drewna piłą,niz
CWDPN
Całkow. wyrób drewna piłą,niz
CWDPN
Całkow. wyrób drewna piłą,niz
CWDPN
Całkow. wyrób drewna piłą,niz
CWDPN
Całkow. wyrób drewna piłą,niz
CWDPN
Całkow. wyrób drewna piłą,niz
CWDPN
Całkow. wyrób drewna piłą,niz
CWDPN
Całkow. wyrób drewna piłą,niz
CWDPN
Całkow. wyrób drewna piłą,niz
CWDPN
Całkow. wyrób drewna piłą,niz
CWDPN
Całkow. wyrób drewna piłą,niz
CWDPN
Całkow. wyrób drewna piłą,niz
CWDPN
Całkow. wyrób drewna piłą,niz
CWDPN
Całkow. wyrób drewna piłą,niz
CWDPN
Całkow. wyrób drewna piłą,niz
CWDPN
Całkow. wyrób drewna piłą,niz
CWDPN
Całkow. wyrób drewna piłą,niz
CWDPN
Całkow. wyrób drewna piłą,niz
CWDPN
Nazwa: trzebież wczesna pozytywna
Całkow. wyrób drewna piłą,niz
CWDPN
Całkow. wyrób drewna piłą,niz
CWDPN
Całkow. wyrób drewna piłą,niz
CWDPN
Całkow. wyrób drewna piłą,niz
CWDPN
Całkow. wyrób drewna piłą,niz
CWDPN
CWDPN
Całkow. wyrób drewna piłą,niz
Całkow. wyrób drewna piłą,niz
CWDPN
Całkow. wyrób drewna piłą,niz
CWDPN
Całkow. wyrób drewna piłą,niz
CWDPN
Całkow. wyrób drewna piłą,niz
CWDPN
CWDPN
Całkow. wyrób drewna piłą,niz
CWDPN
Całkow. wyrób drewna piłą,niz
CWDPN
Całkow. wyrób drewna piłą,niz
Całkow. wyrób drewna piłą,niz
CWDPN
CWDPN
Całkow. wyrób drewna piłą,niz
CWDPN
Całkow. wyrób drewna piłą,niz
CWDPN
Całkow. wyrób drewna piłą,niz
M3
M3
M3
M3
M3
M3
M3
M3
M3
M3
M3
M3
M3
M3
M3
M3
M3
M3
M3
M3
M3
M3
M3
M3
M3
M3
M3
M3
M3
M3
M3
M3
M3
M3
M3
M3
M3
M3
M3
M3
M3
M3
M3
M3
M3
M3
M3
M3
M3
M3
M3
M3
M3
M3
M3
M3
M3
M3
M3
M3
M3
M3
M3
M3
M3
M3
M3
M3
M3
M3
M3
328,00
57,00
102,00
120,00
87,00
126,00
49,00
96,00
177,00
62,00
239,00
128,00
70,00
102,00
181,00
53,00
280,00
240,00
76,00
125,00
32,00
52,00
283,00
77,00
93,00
77,00
47,00
329,00
47,00
42,00
98,00
98,00
104,00
84,00
32,00
203,00
26,00
80,00
40,00
82,00
25,00
34,00
110,00
82,00
317,00
76,00
229,00
124,00
132,00
51,00
32,00
30,00
102,00
4 126,00
35,00
66,00
276,00
59,00
154,00
118,00
55,00
85,00
157,00
77,00
135,00
31,00
65,00
160,00
65,00
247,00
22,00
Taftowo
28 -f
00
CWDPN
Całkow. wyrób drewna piłą,niz
M3
35,00
Taftowo
28 -g 00
CWDPN
Całkow. wyrób drewna piłą,niz
M3
42,00
Taftowo
Całkow. wyrób drewna piłą,niz
M3
28 -h 00
CWDPN
139,00
Taftowo
29 -b 00
CWDPN
Całkow. wyrób drewna piłą,niz
M3
69,00
Taftowo
30 -a 00
CWDPN
Całkow. wyrób drewna piłą,niz
M3
147,00
Taftowo
30 -b 00
CWDPN
Całkow. wyrób drewna piłą,niz
M3
55,00
Taftowo
34 -i
00
CWDPN
Całkow. wyrób drewna piłą,niz
M3
169,00
Taftowo
61 -a 00
CWDPN
Całkow. wyrób drewna piłą,niz
M3
69,00
Taftowo
61 -c 00
CWDPN
Całkow. wyrób drewna piłą,niz
M3
246,00
Taftowo
72 -a 00
CWDPN
Całkow. wyrób drewna piłą,niz
M3
82,00
Taftowo
91 -f
00
CWDPN
Całkow. wyrób drewna piłą,niz
M3
542,00
94 -f
00
CWDPN
182,00
Taftowo
Całkow. wyrób drewna piłą,niz
M3
Taftowo
106 -b 00
CWDPN
Całkow. wyrób drewna piłą,niz
M3
32,00
Karbowo
389 -n 00
CWDPN
Całkow. wyrób drewna piłą,niz
M3
42,00
115 -i 00
CWDPN
24,00
Bażyny
Całkow. wyrób drewna piłą,niz
M3
119 -b 00
CWDPN
31,00
Bażyny
Całkow. wyrób drewna piłą,niz
M3
176 -f 00
CWDPN
385,00
Bażyny
Całkow. wyrób drewna piłą,niz
M3
Bażyny
Całkow. wyrób drewna piłą,niz
M3
412 -j 00
CWDPN
28,00
Kod grupy czynności: ZM
Nazwa: zrywka mechaniczna
M3
28 625,00
Komasy
ZRYWKA
Zrywka drewna
M3
9 910,00
ZRYWKA
8 534,00
Taftowo
Zrywka drewna
M3
Karbowo
ZRYWKA
Zrywka drewna
M3
5 437,00
Bażyny
ZRYWKA
Zrywka drewna
M3
4 744,00
Kod typu planu: UBOCP
Nazwa: pozostała uboczna
Kod grupy czynności: CHOINKIL
Nazwa: pozysk.choin.,stroi.w lesie
SZT
130,00
Komasy
CHOINKI
pozyskanie choinek
SZT
40,00
Taftowo
CHOINKI
pozyskanie choinek
SZT
30,00
Karbowo
CHOINKI
pozyskanie choinek
SZT
30,00
Bażyny
CHOINKI
pozyskanie choinek
SZT
30,00
Kod typu planu: UTRZ
Nazwa: utrzymanie obiektów leśnych
Kod grupy czynności: UT-TURYST
Nazwa: utrzymanie obiektów turystyczn
SZT
1,00
Karbowo
405 -i 00
GODZ CH
Prace godz.- ciągnik zagospod.
H
12,00
Karbowo
405 -i 00
GODZ RHH
Prace godz.ręcz.z zagos.w godz
H
192,00
Uwaga:
jeżeli w wierszu grupy czynności (wiersz szary), kolumnie "J.m." znajduje się znak "X" wówczas rozliczenie nastąpi do
poziomu czynności (pole białe), w przeciwnym wypadku rozliczenie nastąpi do poziomu grupy czynności (pole szare).
03-02-2012 09:18
SILP
Załącznik nr 9 do siwz z dnia 03.02.2012 r.
Polskie Kryteria i Wskaźniki Trwałego
i Zrównoważonego Zagospodarowania
Lasów dla Potrzeb Certyfikacji Lasów
Poprawiony lipiec 2007
Polski System
Certyfikacji
Leśnictwa PEFC
dokument nr 4
luty 2005
POLSKIE KRYTERIA I WSKAŹNIKI TRWAŁEGO
I ZRÓWNOWAŻONEGO ZAGOSPODAROWANIA LASÓW DLA
POTRZEB CERTYFIKACJI LASÓW
Rada PEFC Polska
Warszawa, 18.02.2005
Spis treści:
1. Wstęp
3
2. Podstawy prawne
3
3. Kryteria i wskaźniki certyfikacji gospodarki leśnej
4
Kryterium I – Utrzymanie, odpowiednie wzmocnienie oraz powiększanie
i podnoszenie wartości zasobów leśnych i ich udział
w globalnym bilansie węgla.
5
Kryterium II – Zachowanie i wzmocnienie zdrowia i witalności
ekosystemów leśnych.
Kryterium III – Utrzymanie i wzmocnienie produkcyjnych funkcji lasów.
6
8
Kryterium IV – Zachowanie, ochrona o odpowiednie wzbogacenie
leśnej różnorodności biologicznej.
9
Kryterium V – Utrzymanie i rozszerzenie ochronnych funkcji lasów
zwłaszcza funkcji glebo- i wodochronnych.
11
Kryterium VI – Utrzymanie i rozwój innych społeczno-ekonomicznych
funkcji lasów.
12
2
Ekosystemy leśne, jako najbogatsze i najbardziej skomplikowane pod względem biologicznym
spośród ekosystemów lądowych, stanowią formację o wyjątkowym znaczeniu zarówno dla
przebiegu procesów przyrodniczych jak i dla warunków egzystencji społeczeństw lokalnych i całej
ludzkości. Z tego względu ich zachowanie winno być uwzględnione w każdym przejawie ludzkiej
działalności.
1. Wstęp
Załączone kryteria i wskaźniki trwałego i zrównoważonego zagospodarowania lasu tworzą
podstawę do przeprowadzenia oceny stanu gospodarki leśnej wszystkich form własności lasów, we
wszystkich rodzajach prowadzenia certyfikacji, przez niezależny organ certyfikujący w ramach
systemu PEFC oraz zawierają zdefiniowane kryteria certyfikacji zarówno dla poziomu regionalnego
jak i pojedynczych obszarów. W szczególności służą określeniu przedmiotu i zakresu auditu oraz
ustaleniu zgodności stanu i prowadzenia gospodarki leśnej z wymogami systemu certyfikacji.
W niniejszym dokumencie nie określono minimalnego poziomu ani ograniczeń przy ustalaniu
zgodności prowadzonej gospodarki leśnej z kryteriami trwałego i zrównoważonego
zagospodarowania lasów. Ustalenie tej zgodności leży w kompetencjach jednostki certyfikującej.
2. Podstawy prawne
Załączone kryteria i wskaźniki zostały wybrane zgodnie z głównymi kryteriami (I-VI) trwałej
gospodarki leśnej przyjętymi podczas Ministerialnych Konferencji Ochrony Lasów w Europie
(Helsinki 1993, Lizbona 1998) oraz z uwzględnieniem prawodawstwa polskiego w tym:
Ustawa z dnia 28 września 1991r. o lasach (Dz. U. Nr 101, poz.444)
Ustawa z dnia 16 kwietnia 2004 r. o ochronie przyrody (Dz. U. Nr 92 poz. 880)
Ustawa z dnia 13 października 1995 r. Prawo łowieckie (Dz. U.02.42.372)
Ustawa z dnia 3 lutego 1995 r. o ochronie gruntów rolnych i leśnych (Dz. U. Nr 16. Poz. 78)
Ustawa z dnia 6 lipca 2001 r. o zachowaniu narodowego charakteru strategicznych zasobów
naturalnych kraju. (Dz. U. z dnia 11 września 2001 r.)
6. Ustawa z dnia 20 lipca 1991 r. o Inspekcji Ochrony Środowiska. (Dz. U. z dnia 29 sierpnia 1991
r.)
7. Ustawa z dnia 8 czerwca 2001 r. o przeznaczeniu gruntów rolnych do zalesienia (Dz. U. Nr 73,
poz. 764)
8. Ustawa z dnia 27 marca 2003 r. o planowaniu i zagospodarowaniu przestrzennym (Dz. U. Nr 80.
Poz.715,716 i 717)
9. Ustawa z dnia 26 czerwca 1974 Kodeks Pracy (Dz. U. Rok 1998 Nr 21 poz. 94)
10. Ustawa z dnia 27 kwietnia 2001 r. Prawo ochrony środowiska. (Dz. U. Nr 62, poz. 627)
11. Ustawa z dnia 7 czerwca 2001 r. o leśnym materiale rozmnożeniowym (Dz.. U. Nr 73, poz. 761)
12. Ustawa z dnia 14 lutego 2003r. o zmianie ustawy o przeznaczeniu gruntów rolnych do zalesienia
oraz ustawy Prawo ochrony środowiska (Dz. U. Nr 46, poz.392)
12. KONWENCJA ILO Nr 29 DOTYCZĄCA PRACY PRZYMUSOWEJ LUB OBOWIĄZKOWEJ
przyjęta w Genewie dnia 28 czerwca 1930 r. (Dz. U. z dnia 23 marca 1959 r.)
13. KONWENCJA ILO Nr 87 dotycząca wolności związkowej i ochrony praw związkowych przyjęta
w San Francisco dnia 9 lipca 1948 r. (Dz. U. z dnia 28 maja 1958 r.)
14. KONWENCJA ILO NR 98 DOTYCZĄCA STOSOWANIA ZASAD PRAWA ORGANIZOWANIA
SIĘ I ROKOWAŃ ZBIOROWYCH, przyjęta w Genewie dnia 1 lipca 1949 r. (Dz. U. z dnia 28
maja 1958 r.)
15. KONWENCJA ILO NR 100 dotycząca jednakowego wynagrodzenia dla pracujących mężczyzn i
kobiet za pracę jednakowej wartości, przyjęta w Genewie dnia 29 czerwca 1951 r. (Dz. U. z dnia
27 września 1955 r.)
16. KONWENCJA ILO NR 105 o zniesieniu pracy przymusowej, przyjęta w Genewie dnia 25
czerwca 1957 r. przez Konferencję Ogólną Międzynarodowej Organizacji Pracy. (Dz. U. z dnia
14 lipca 1959 r.)
1.
2.
3.
4.
5.
3
17. KONWENCJA ILO Nr 111 DOTYCZĄCA DYSKRYMINACJI W ZAKRESIE ZATRUDNIENIA I
WYKONYWANIA ZAWODU przyjęta w Genewie dnia 25 czerwca 1958 r. (Dz. U. z dnia 20
września 1961 r.)
18. KONWENCJA ILO Nr 138 Międzynarodowej Organizacji Pracy dotycząca najniższego wieku
dopuszczenia do zatrudnienia, przyjęta w Genewie dnia 26 czerwca 1973 r. (Dz. U. z dnia 27
maja 1978 r.)
19. Konwencja o obszarach wodno-błotnych mających znaczenie międzynarodowe, zwłaszcza jako
środowisko życiowe ptactwa wodnego (Konwencja Ramiarska), z dnia 2 lutego 1971 r. Weszła
w życie w Polsce 22.03. 1978 r.
20. Konwencja o międzynarodowym handlu dzikimi roślinami i zwierzętami gatunków zagrożonych
wyginięciem (Konwencja Waszyngtońska) z 3 marca 1973 r. (CITES). Ratyfikowana 12.12. 1989
r.
21. Konwencja o ochronie dzikiej fauny i flory europejskiej oraz ich siedlisk naturalnych (Konwencja
Berneńska) z 19 września 1979 r.- Weszła w życie w Polsce 01.01.1996 r.
22. Konwencja o różnorodności biologicznej. Przyjęta i podpisana w 1992 r. w Rio de Janerio,
ratyfikowana w 1996 r.
23. Protokół z Kyoto. Przyjęty w 1997 r. Ratyfikowany przez UE w 2002 r.
24. Konwencja o dostępie do informacji, udziale społeczeństwa w podejmowaniu decyzji oraz
dostępie do sprawiedliwości w sprawach dotyczących środowiska, sporządzona w Aarhus dnia
25 czerwca 1998 r. (Dz. U. z 2003 r. Nr 78, poz. 706)
Wymienione akty prawne należy stosować zgodnie z ich aktualną (znowelizowaną) treścią, łącznie
z aktami wykonawczymi wydanymi przez właściwe organa administracji państwowej.
3. Kryteria i wskaźniki certyfikacji gospodarki leśnej.
Każde Kryterium zawiera trzy kategorie informacji:
(A) Zasady kierunkowe (Zk) - dotyczą celów i zasad ogólnych prowadzenia gospodarki
leśnej.
Wyznaczają główne ramy i wytyczne dla planowania i realizacji tego działu gospodarki
leśnej, dla którego dane kryterium zostało sformułowane. Wskaźniki wymierne i opisowe
służą ocenie stopnia wypełniania każdego z wymienionych celów i zasad prowadzenia
gospodarki leśnej.
(B) Wskaźniki wymierne (Ww) (ilościowe) - są mierzalnymi parametrami, które pokazują
kierunki zmian oraz stopień zgodności działań praktycznych z przyjętymi zasadami
kierunkowymi. Stanowią wymierną (liczbową) podstawę oceny realizacji zasad
kierunkowych.
Wartości wskaźników wymiernych podawane są dla pięciu kolejnych lat wstecz
począwszy od roku, w którym odbywa się audyt.
(C) Wskaźniki opisowe (Wo) - stanowią uzupełnienie wskaźników wymiernych w przypadku
braku możliwości ich sformułowania. Zawierają informacje związane ze sposobem ich
realizacji oraz dokumentację prowadzonych przez wnioskodawcę działań.
4
KRYTERIUM I
UTRZYMANIE, ODPOWIEDNIE WZMOCNIENIE ORAZ POWIĘKSZANIE I PODNOSZENIE
WARTOŚCI ZASOBÓW LEŚNYCH I ICH UDZIAŁU W GLOBALNYM BILANSIE WĘGLA.
(A) ZASADY KIERUNKOWE
a. Trwałe, zrównoważone i wielofunkcyjne gospodarowanie lasami ma na celu utrzymanie i
powiększanie powierzchni lasów i innych obszarów zadrzewionych, wzmocnienie ich wartości
ekonomicznej, ekologicznej, społecznej i kulturowej oraz zwiększenie i podniesienie jakości
zasobów leśnych. Siedliska leśne, a zwłaszcza zasoby glebowe i wodne, powinny być traktowane
jako integralna część krajowych zasobów przyrody, na których skupiają się funkcje ochronne lasów.
Gospodarowanie lasami powinno być wspierane przez inne jednostki, które korzystają za darmo,
często w sposób nieuświadomiony, z dóbr i usług dostarczanych przez lasy i leśnictwo.
b. Inwentaryzacja i kartowanie zasobów leśnych powinny stanowić trwałe przedsięwzięcia
gospodarki leśnej a wyniki powinny być przechowywane jako dane historyczne i integralne
elementy planów przestrzennego zagospodarowania gminy, regionu, województwa.
c. Plany urządzenia lasu (lub opracowania równoważne jak np. uproszczony plan
urządzania) powinny być okresowo weryfikowane. Realizacja planów urządzenia lasu powinna być
okresowo poddana ocenie społecznej. Plany urządzenia lasu powinny być silnie powiązane
funkcjonalnie z planami zagospodarowania przestrzennego.
d. Realizacja planów urządzenia lasu winna uwzględniać ochronę jakości i ilości zasobów
leśnych w krótko- i długoterminowych okresach. Podstawowym warunkiem jest odpowiednie
równoważenie rozmiaru pozyskania uzyskiwanym przyrostem miąższości W trakcie wykonywanych
czynności gospodarczych powinno się unikać technik i procesów, które powodują znaczne,
bezpośrednie i pośrednie, zniszczenia siedlisk leśnych, gleby i zakłócania stosunków wodnych.
e. Zapas na pniu powinien być pielęgnowany przez należyte działania hodowlane,
wykonywane przy uwzględnieniu zasad ekologii i przestrzeganiu reguł ekonomicznych.
Odpowiednie operacje hodowlane, zwłaszcza cięcia pielęgnacyjne, powinny być prowadzone z
zachowaniem stabilności drzewostanów, przestrzeganiem zasad ochrony gleby i z troską o
utrzymanie odpowiedniej ilości i jakości wody w zlewni.
(B) WSKAŹNIKI WYMIERNE
1. Charakterystyka użytkowanej powierzchni leśnej.
Lp.
1
2
3
4
5
6
7
8
Opis wskaźnika
Powierzchnia leśna ogółem i jej zmiany w ostatnim 5-leciu
Powierzchnia lasów wg struktury klas wieku i jej zmiany w ostatnim 5-leciu
Powierzchnia leśna wg typów siedliskowych lasu
Powierzchnia odnowień wg pochodzenia (sztuczne, naturalne)
Powierzchnia lasów na gruntach porolnych
Powierzchnia leśna wg gat. rzeczywistych i jej zmiany w ostatnim 5-leciu
Powierzchnia plantacji drzew szybkorosnących
Udział powierzchni leśnej ze zdezaktualizowanym (starszym niż 10 lat) planem
urządzenia lasu (uproszczonym planem urządzenia lasu)
Miara
[ha/%]
[ha / klasa]
[ha]
[ha]
[ha]
[%]
[ha]
[%]
5
2. Zapas / zasobność drzewostanów na pniu.
Lp. Opis wskaźnika
9 Ogólny zapas grubizny w korze na pniu wg gatunków i jego zmiany w ostatnim
5-leciu
10 Przeciętna zasobność ogólna i jej zmiany w ostatnim 5-leciu
11 Przeciętna zasobność wg klas wieku i jej zmiany w ostatnim 5-leciu
Miara
[m3, %]
[m3 / ha, %]
[m3 / klasa]
3. Równowaga węgla.
12 Wiązanie węgla w ekosystemach leśnych (określone wg IPCC Standard
Methodology) w grubiźnie (>7cm) lub w ilości drewna na 1 ha lasu
[1000 kg C / ha,
lub
m3 drewna /ha]
(C) WSKAŹNIKI OPISOWE
1. Uregulowane prawo własności oraz uporządkowany stan posiadania i użytkowania ziemi.
2. Uczestnictwo w pracach zapewniających integrację planowania przestrzennego z
gospodarką leśną.
3. Uczestnictwo w programach włączających gospodarkę leśną w rozwój regionalny i
zapewniających współpracę z organami samorządowymi.
4. Przestrzeganie prawna chroniącego lasy i grunty leśne przed ich przeznaczaniem na cele
nieleśne.
5. Uczestnictwo w krajowym lub regionalnym (gminnym) programie zwiększania lesistości i
zadrzewień.
6. Uczestnictwo w tworzeniu mechanizmów ekonomicznych, prawnych lub finansowych
promujących zwiększanie zapasu na pniu gatunków drzew zarówno o wartości handlowej jak
i niehandlowej.
7. Funkcjonowanie ram instytucjonalnych do podejmowania i prowadzenia regularnych ocen
rozwoju i stanu zasobów leśnych oraz doskonalenia metod ich szacowania i inwentaryzacji
przez uznane instytucje naukowe lub podobne organizacje.
8. Uczestnictwo w programach informacyjnych i edukacyjnych prezentujących zalety drewna w
licznych jego zastosowaniach oraz wspierających badania nad długością cyklu użytkowania
produktów drzewnych.
9. Udostępnianie danych dla krajowego banku danych o lasach.
KRYTERIUM II
ZACHOWANIE I WZMOCNIENIE ZDROWIA I WITALNOŚCI EKOSYSTEMÓW LEŚNYCH
(A) ZASADY KIERUNKOWE
a. Metody i technika realizacji zagospodarowania lasu powinna umożliwiać utrzymanie i
podnoszenie stanu zdrowotnego, witalności ekosystemów leśnych oraz regeneracji ekosystemów
zniekształconych.
b. Należy rozpoznać czynniki wysokiego ryzyka zdrowotności i witalności leśnych
ekosystemów , takie jak: nadmierne występowanie owadów, grzybów chorobotwórczych, pożarów
lasu, zanieczyszczenia powietrza, ekstremalne czynniki meteorologiczne i klimatyczne, zniszczenia
wynikające z działań gospodarki leśnej, kłusownictwo lub inne, oraz należy ustanowić odpowiednie
systemy ich monitorowania.
c. Wykonywane zabiegi gospodarcze powinny mieć na celu podnoszenie zdrowotności oraz
witalności lasów i ich stanu zdrowotnego. W możliwie szerokim zakresie powinny być
6
wykorzystywane procesy naturalne regeneracji ekosystemów, biologiczne metody profilaktyczne i
terapeutyczne oraz stosowane materiały naturalne, wszędzie i w takim zakresie jak to jest możliwe i
ekonomicznie racjonalne. Stosowanie adekwatnych genetycznych, gatunkowych i strukturalnych
zróżnicowań w zagospodarowaniu ekosystemów leśnych, powinno wzmacniać i utrzymywać
wysoką stabilność, witalność i odporność lasów promując naturalne mechanizmy regulacyjne.
d. Nie mogą mieć miejsca praktyki gospodarcze, polegające na niezgodnym z
obowiązującym prawem i wprowadzaniu organizmów modyfikowanych genetycznie, obcych
gatunków i pochodzeń drzew, przy odnawianiu powierzchni leśnych lub zalesianiu, jak również
polegające na stosowaniu technik pielęgnacji, pozyskania i transportu, które mogą powodować
trwałe zniszczenia gleby lub innego typu szkody w ekosystemie leśnym lub innych ekosystemach.
e. Użycie środków chemicznych w każdym przypadku powinno być dobrze umotywowane i
zrealizowane w sposób kontrolowany.
f. Posiadanie aktualnych danych dotyczących zanieczyszczenia środowiska z Państwowego
Monitoringu Środowiska.
(B) WSKAŹNIKI WYMIERNE
1.
Zagrożenia powodowane przez biotyczne czynniki szkodotwórcze.
Lp. Opis wskaźnika
13 Powierzchnia lasów objęta zabiegami ochronnymi przed owadami liściożernymi
14 Miąższość drzew pozyskanych w ramach ograniczania występowania
szkodników wtórnych
15 Powierzchnia lasów uszkodzonych przez choroby grzybowe
16 Powierzchnia upraw, odnowień i drzewostanów uszkodzonych przez zwierzynę
Miara
[ha]
[m3] lub
[m3/ha]
[ha]
[ha / rok]
2. Uszkodzenia i zagrożenia powodowane przez abiotyczne czynniki szkodotwórcze.
17
18
19
20
Powierzchnia lasów objętych pożarami
Średnia powierzchnia jednego pożaru
Powierzchnia lasów uszkodzonych przez wiatr
Miąższość drzew pozyskanych z terenów pohuraganowych
[ha / rok]
ha
[ha / rok]
[m3 / rok]
3. Stosowanie pestycydów i nawozów.
21 Powierzchnia lasów, na której stosowano pestycydy
Zużycie poszczególnych grup pestycydów
22 Powierzchnia lasów, na której stosowano nawozy mineralne i wapnowanie:
Zużycie czystego składnika
[ha]
[kg / ha]
Ha / rok
kg / ha / rok
(C) WSKAŹNIKI OPISOWE
1. Korzystanie z istniejących rozwiązań instytucjonalnych i prawnych mających na celu
utrzymanie zdrowia lasu, jego żywotności oraz śledzenie stanu środowiska przyrodniczego.
2. Współpraca i korzystanie ze specjalistycznych służb oraz rozwiązań organizacyjnych (typu
ZOL) powołanych do kontrolowania występowania uszkodzeń i czynników niszczących
(Państwowy Monitoring Środowiska, Monitoring Lasów).
3. Uczestniczenie w tworzeniu lub działaniu instrumentów prawnych, finansowych i
informacyjnych niezbędnych dla wdrażania zasad pro-środowiskowej polityki gospodarczej
oraz umożliwiających regularny monitoring stanu zdrowia lasu i zmiany pH gleb, a także
7
pozwalających na zapobieganie poważnym uszkodzeniom powodowanym przez niewłaściwą
gospodarkę leśną.
KRYTERIUM III
UTRZYMANIE I WZMOCNIENIE PRODUKCYJNYCH FUNKCJI LASÓW
(A) ZASADY KIERUNKOWE
a. Właściciele / zarządcy lasów powinni dążyć do zaspokajania w szerokim zakresie i na
trwałych podstawach, społecznych potrzeb na produkty i świadczenia leśne.
b. Właściciele / zarządcy lasów powinni starać się osiągać rozsądną wydajność
ekonomiczną. Dążąc do osiągania dochodów powinni brać pod uwagę wszystkie ekonomiczne,
ekologiczne i społeczne koszty swojego działania.
c. Plany urządzenia lasu (lub równoważne) powinny uwzględniać możliwości uzyskiwania
korzyści z różnorodnych funkcji lasu. Dla funkcji produkcyjnych powinien być ustalany poziom
planowanego pozyskania wraz z określonym sposobem zagospodarowania.
d. Właściciele i zarządcy lasów powinni zapewniać terminowe odnowienie użytkowanych
obszarów a operacje odnowienia, pielęgnacji i pozyskania powinny być wykonywane w terminie i
sposobem, który nie zmniejszy zdolności produkcyjnej ekosystemów leśnych.
e. Wielkość pozyskania zarówno produktów drzewnych jak i niedrzewnych nie powinna
przekroczyć poziomu, który stwarza ryzyko dla utrzymania długoterminowej trwałości i ciągłości
użytkowania lasu.
f. Powinna być utrzymana i odpowiednio rozbudowywana właściwa infrastruktura, taka jak
drogi, szlaki zrywkowe, mosty, oraz wyposażenie techniczne infrastruktura powinna zagwarantować
sprawne wykonywanie operacji leśnych w sposób minimalizujący zarówno wysiłek ludzki jak i
negatywny wpływ na środowisko leśne.
(B) WSKAŹNIKI WYMIERNE
1. Produkcja drewna.
Lp. Opis wskaźnika
23 Średni przyrost bieżący miąższości brutto
(okresowy – 10 letni)
Średni przyrost bieżący wg gatunków
24 Roczne pozyskanie drewna
Użytkowanie rębne wg gatunków rzeczywistych
Użytkowanie przedrębne wg gatunków rzeczywistych
Użytkowanie przygodne i sanitarne
25 Stosunek ogólnego pozyskania drewna do przyrostu
26 Średni wiek drzewostanów
27 Ilość i wartość sprzedanego drewna okrągłego
Miara
[m3 / ha]
[m3 / ha]
[m3 / rok]
[m3 / rok]
[m3 / rok]
[m3 / rok]
[%]
[lata]
[m3, zł]
2. Produkty niedrzewne.
28 Ilość produktów niedrzewnych (np. dziczyzna, choinki, stroisz)
29 Udział procentowy przychodów ze sprzedaży usług w przychodach ogółem.
30 Wskaźnik nasycenia lasów drogami
[kg / szt. rok]
[%]
[m2 / ha lub
km / ha]
8
(C) WSKAŹNIKI OPISOWE
1. Funkcjonowanie mechanizmów zapewniających doskonalenie metod urządzania i
sporządzania planów urządzania lasu opartych na odpowiednich danych
inwentaryzacyjnych, oraz na najnowszej wiedzy naukowej i praktycznych doświadczeniach z
uwzględnieniem produktów niedrzewnych.
2. Przestrzeganie i udział w tworzeniu przepisów i zasad regulujących rekreacyjne
zagospodarowanie lasu oraz zbiór produktów niedrzewnych.
3. Rozwijanie zasad polityki gospodarczej i instrumentów prawno/finansowych promujących
nie-drzewne funkcje lasu i dążenie do ich urynkowienia.
4. Rozwijanie infrastruktury technicznej ułatwiającej dostęp do produktów i usług leśnictwa.
5. Funkcjonowanie systemu doskonalenia zawodowego pracowników w zakresie
zrównoważonej gospodarki leśnej.
KRYTERIUM IV
ZACHOWANIE, OCHRONA I ODPOWIEDNIE WZBOGACENIE LEŚNEJ
RÓŻNORODNOŚCI BIOLOGICZNEJ
(A) ZASADY KIERUNKOWE
a. Gospodarowanie lasami zmierza do zachowania, ochrony i wzmocnienia leśnej
różnorodności biologicznej na poziomie genetycznym, gatunkowym, ekosystemowym oraz na
poziomie krajobrazu.
b. Biotopy leśne o szczególnych wartościach przyrodniczych powinny być inwentaryzowane i
kartowane. Powinny one zawierać chronione, rzadkie, wrażliwe i reprezentatywne leśne
ekosystemy, jak również środowiska występujących, narażonych i zagrożonych gatunków,
gatunków endemicznych, zgodnie z krajowymi listami gatunków chronionych i zagrożonych.
Szczególną uwagę prace te powinny zwracać na obszary nadbrzeżne, siedliska wilgotne, zalewowe
i inne o specjalnej ważności przyrodniczej, w tym różnorodne formy ochrony zasobów genowych in
situ.
c. Powinna być preferowana naturalna regeneracja gatunków rodzimych, gwarantująca
odpowiednią jakość i ilość zasobów leśnych.. Do sztucznego odnowienia i do zalesień powinny być
użyte przede wszystkim gatunki rodzime i lokalnego pochodzenia, które są dobrze zaadaptowane
do danych warunków siedliskowych. Wprowadzanie innych gatunków niż rodzime powinno być
stosowane tylko wtedy, kiedy oszacowano ich wpływ na ekosystem i na genetyczną integralność
lokalnego pochodzenia oraz możliwości przystosowawcze. Nie wolno wprowadzać do ekosystemów
leśnych organizmów modyfikowanych genetycznie (oprócz selekcji naturalnej).
d. Działania gospodarki leśnej powinny promować różnorodność struktur drzewostanów:
pionową, poziomą, gatunkową, wiekową i budować mozaikową strukturę lasu, będącą warunkiem
trwałości i „sprężystości” ekosystemu, rozpraszającym ryzyko powstawania szkód wobec zagrożeń
zewnętrznych.
e. Cele gospodarki leśnej uzasadniają odpowiednie zastosowanie środków zmniejszających
presję zwierzyny na lasy, zwłaszcza jej negatywny wpływ na efekty prac odnowieniowych oraz
ograniczanie bioróżnorodności lasu.
f. Martwe drzewa stojące, leżanina, drzewa dziuplaste oraz wyjątkowo rzadkie gatunki
biocenotyczne (np. czereśnia ptasia) powinny być pozostawiane w lesie w ilości i w rozproszeniu
niezbędnym do utrzymania wysokiej różnorodności biologicznej. Pozostawianie drzew martwych, w
szczególności posuszu czynnego, nie może jednak stwarzać zagrożenia zdrowotności i stabilności
lasu oraz ekosystemów z nim sąsiadujących.
9
g. Infrastruktura transportowa i podział przestrzenny powinien być planowany i realizowany w
sposób minimalizujący podziały naturalnych biotopów i reprezentatywnych ekosystemów, zasobów
genowych, zasięgów kluczowych gatunków, dróg ich migracji i obszarów zasiedlenia zwierząt.
h. Zalesienia nie powinny naruszać cennych biocenoz nieleśnych.
(B) WSKAŹNIKI WYMIERNE
1. Obszary leśne objęte prawną ochroną przyrody.
Lp. Opis wskaźnika
31 Powierzchnia lasów ochronnych (wg rodzajów).
32 Powierzchnia leśna objęta powierzchniową formą ochrony w tym:
Powierzchnia lasów na terenie parków narodowych
Powierzchnia lasów na terenie parków krajobrazowych
Powierzchnia lasów na obszarach chronionego krajobrazu
Powierzchnia obszarów „Natura 2000”
Powierzchnia rezerwatów ogółem / ochrona ścisła
33 Pomniki przyrody
Miara
[ha]
[ha]
[ha]
[ha]
[ha]
[ha]
[ha] / [ha]
[pozycje
rejestru]
2. Zagrożone gatunki.
34 Wykaz zinwentaryzowanych gatunków chronionych fauny i flory.
[gat.]
3. Biologiczna różnorodność w lasach produkcyjnych.
35 Powierzchnia litych drzewostanów iglastych (powyżej 80% udziału w składzie
gatunkowym)
36 Powierzchnia litych drzewostanów liściastych (powyżej 80% udziału w składzie
gatunkowym)
37 Udział powierzchni drzewostanów mieszanych w ogólnej powierzchni lasów
38 Powierzchnia lasów objęta przebudową drzewostanów
39 Udział powierzchni odnowień naturalnych w skali roku w odniesieniu do ogólnej
powierzchni odnowień
40 Powierzchnia drzewostanów z panującym gatunkiem introdukowanym,
41 Różnorodność genetyczna:
Ogólna powierzchnia obiektów nasiennych zagospodarowanych w celu ochrony
i użytkowania leśnych zasobów genowych wg gatunków i form ochrony;
lub leśny materiał podstawowy z
Wg form ochrony:
wyłączone drzewostany nasienne
kategorii:
gospodarcze drzewostany nasienne
ze zidentyfikowanego źródła
plantacje nasienne
(źródła nasion, drzewostan),
plantacyjne uprawy nasienne
wyselekcjonowany
uprawy pochodne
kwalifikowany (drzewa
uprawy zachowawcze
mateczne, plantacje nasienne)
przetestowany
Drzewa doborowe (wg gatunków )
42 Udział materiału znanego pochodzenia na uprawach leśnych
[ha]
[ha]
[%]
[ha]
[%]
[ha]
[ha]
[ha / szt.]
[szt.]
%
10
(C) WSKAŹNIKI OPISOWE
1. Udział w opracowywaniu zasad polityki gospodarczej i instrumentów finansowych wiążących
wartość gospodarczą lasów ze stanem różnorodności biologicznej oraz zapewniających
ocenę wpływu gospodarki leśnej na stan leśnej różnorodności biologicznej lub korzystanie z
istniejących rozwiązań.
2. Udział w opracowaniu zasad i instrukcji zapewniających uwzględnianie w planach
zagospodarowania lasu ochronę reprezentatywnych, rzadkich i wrażliwych ekosystemów
leśnych, gatunków zagrożonych, gatunków wskaźnikowych, gatunków kluczowych i ich
żywotnych populacji oraz innych działań przewidzianych planami ochrony przyrody.
3. Przestrzeganie zasad i praktyk zapewniających pozostawianie martwych drzew stojących i
leżących w lesie.
4. Prowadzenie ewidencji dotyczącej źródeł pochodzenia materiału reprodukcyjnego.
KRYTERIUM V
UTRZYMANIE I ROZSZERZANIE OCHRONNYCH FUNKCJI LASÓW ZWŁASZCZA
FUNKCJI GLEBO- I WODOCHRONNYCH
(A) ZASADY KIERUNKOWE
a. Odpowiednie zagospodarowanie lasów identyfikuje i rozwija ważne dla społeczeństwa
funkcje ochronne, szczególną troską zaś otacza i wzmacnia funkcje ochronne lasów w stosunku do
zasobów glebowych i wodnych oraz powietrza zwłaszcza na obszarach, na których lasy
przeciwdziałają występowaniu powodzi i tworzeniu się lawin.
Funkcje glebo- i wodochronne należą do funkcji publicznych a ich utrzymanie i rozszerzanie oraz
finansowanie powinno być powinnością państwa. Lasy spełniające takie funkcje wymagają
dofinansowania oraz stałych obserwacji (monitorowanie) i dokumentowania ich stanu (kartowanie).
b. Specjalną uwagę należy poświęcić działaniom hodowlanym na wrażliwych glebach i
obszarach podatnych na uszkodzenia (np. górskie stoki), gdzie operacje te i nieodpowiednie
techniki, takie jak głęboka uprawa gleby, używanie ciężkiego sprzętu a także zbyt intensywne cięcia
pielęgnacyjne na wielką skalę, mogą doprowadzić do nadmiernej erozji gleby, obniżenia zdolności
retencyjności powierzchni leśnej, przyspieszenia spływu wód itp.
c. Specjalną troską powinny być objęte obszary wodochronne w celu uniknięcia
niekorzystnych efektów gospodarki leśnej dla jakości i ilości zasobów wodnych.
d. Projektowanie, wykonywanie i utrzymanie dróg, mostów i innych urządzeń
infrastrukturalnych na terenie lasów, powinno uwzględniać pełnienie przez nie funkcji glebo- i
wodochronnych.
(B) WSKAŹNIKI WYMIERNE
1. Lasy ochronne.
Lp. Opis wskaźnika
Miara
43 Powierzchnia oraz udział lasów pełniących funkcje ochronne w ogólnej [ha/%]
powierzchni leśnej wg kategorii.
11
(C) WSKAŹNIKI OPISOWE
1.
2.
Realizacja zasad prowadzenia gospodarki leśnej w lasach ochronnych, zwłaszcza
regulujących zabiegi gospodarczo-leśne na obszarach podatnych na erozję gleb oraz na
terenach o dominującej roli ochronnej lasów w stosunku do wody i zasobów wodnych.
Udział w programie zalesień i zadrzewień wspomagającym i wzmacniającym ochronną rolę
lasu w stosunku do zasobów glebowych, wodnych oraz powietrza atmosferycznego.
KRYTERIUM VI
UTRZYMANIE I ROZWÓJ INNYCH SPOŁECZNO - EKONOMICZYCH FUNKCJI LASÓW
(A) ZASADY KIERUNKOWE
a. Trwałe i zrównoważone, wielofunkcyjne zagospodarowanie lasów jest związane z innymi
działami gospodarki narodowej. Gospodarowanie w taki sposób uwzględnia reakcję zarówno na
pozytywne jak i negatywne ich wpływy. Szczególne zainteresowanie leśnictwa powinno dotyczyć
regionalnego rozwoju ekonomicznego oraz łagodzenia problemów zatrudnieniowych.
b. Prawo własności w stosunku do wszystkich lasów powinno być jasno określone, wyraźnie
zdefiniowane i udokumentowane.
c. Respektowanie zagwarantowanego prawem powszechnego dostępu do lasów oraz do
korzystania z dóbr leśnych.
d. Powszechny dostęp do lasów oraz użytkowanie dóbr i korzystanie z usług leśnych przez
instytucje i osoby prawne, powinno respektować wkład gospodarki leśnej w ochronę i rozwój
użytkowanych dóbr i usług, przez odpowiednie uczestnictwo w kosztach ponoszonych przez
gospodarkę leśną lub przez ulgi podatkowe.
e. Tereny leśne o specyficznym kulturowym, znaczeniu należy chronić lub specjalnie
zagospodarowywać w kierunku należytego ich zachowania i ochrony tych dóbr.
f. Należy zapewnić dostęp do informacji o lasach oraz uczestnictwo społeczne w planowaniu
gospodarki leśnej i kontroli realizacji planów zagospodarowania lasów publicznych (tym należących
do skarbu państwa);
g. Trwałe i zrównoważone zagospodarowanie lasów powinno optymalnie wykorzystywać
doświadczenia i wiedzę oraz trwale wspierać badania naukowe z zakresu leśnictwa, zwłaszcza
badania długoterminowe.
h. Trwałe i zrównoważone, wielofunkcyjne zagospodarowanie lasów, powinno czynić las
atrakcyjnym obiektem turystycznym i rekreacyjnym, uwzględniając różnorodność gatunków i
krajobrazu. Nie może to jednak stwarzać ryzyka wystąpienia zjawisk negatywnych, zagrażających
trwałości zasobów.
i. Pracodawcy i usługodawcy stosują obiektywne kryteria oceny pracowników i usługobiorców
(nie dyskryminują pracowników przy zatrudnianiu, wynagradzaniu, awansowaniu bądź
premiowaniu). Zatrudnieni w lasach dysponują wiedzą, możliwościami realizacji i dochodzenia
swoich praw, szczególnie do zapewnienia bezpieczeństwa i higieny pracy, działania związków
zawodowych, godziwego wynagrodzenia i ubezpieczenia.
12
(B) WSKAŹNIKI WYMIERNE
1. Funkcje ekonomiczne.
Lp. Opis wskaźnika
44 Dochodowość: stosunek średniej ceny 1m3 drewna (C) do ogólnych kosztów
produkcji w przeliczeniu na 1m3 (K)
Miara
[C / K]
2. Funkcje społeczne.
45 Liczba osób zatrudnionych w administracji leśnej ogółem oraz w przeliczeniu na [osoby]
1000 ha
[osoby/1000h
a]
46 Zatrudnienie w sektorze prywatnym pracującym na rzecz gospodarki leśnej:
[szt. / osoby]
liczba przedsiębiorstw/zatrudnienie
47 Chorzy na choroby zawodowe
[przyp./ rok]
48 Częstość wypadków przy pracy w lesie
[szt. / rok]
49 Ilość izb edukacyjnych, muzeów przyrodniczych i ścieżek dydaktycznych w
[szt.]
lasach
50 Ogólna liczba osób odwiedzających obiekty edukacyjno-rekreacyjne w lasach
[osoby / rok]
(ścieżki, muzea, izby, itp.), lub inny wskaźnik intensywności wykorzystania tych
obiektów
3.Funkcje rekreacyjne lasów.
51 Liczba pól biwakowych i innych stałych miejsc rekreacji
52 Łączna długość szlaków turystycznych w lasach
[szt.]
[km]
4. Koszty funkcji publicznych lasów.
53 Koszty budowy i utrzymania infrastruktury edukacyjno-rekreacyjnej w lasach
PLN / rok
5. Gospodarka łowiecka.
54 Liczba/powierzchnia dzierżawionych przez właścicieli leśnych obwodów
łowieckich / łączna suma dzierżawy
55 Koszty ochrony lasów przed zwierzyną
[szt./ ha /
PLN]
[PLN]
6. Kulturowe i duchowe wartości lasów.
56 Liczba obiektów w lasach mających wartość kulturową i / lub duchową
57 Liczba publikacji, wystaw, imprez i zdarzeń medialnych, prezentujących
wartości kulturowe i / lub duchowe lasów
[szt.]
[szt.]
(C) WSKAŹNIKI OPISOWE
1. Informowanie społeczeństwa o istnieniu zasad prawnych, przepisów oraz dróg
instytucjonalnych umożliwiających udział społeczeństwa, w tym zwłaszcza ludności
miejscowej lub ciał przedstawicielskich w postaci samorządów lokalnych oraz organizacji
pozarządowych, w procesach kształtowania polityki leśnej i podejmowania decyzji
dotyczących lasów oraz kontroli ich realizacji.
2. Dążenie do wzrostu udziału dochodów z produkcji niedrzewnej.
13
3. Funkcjonowanie zasad prawnych i źródeł finansowych zapewniających realizację leśnych
programów badawczych oraz zadań z zakresu nauczania zawodowego i edukacji
przyrodniczo-leśnej społeczeństwa.
4. Umożliwianie społeczeństwu dostępu do informacji o lasach i leśnictwie oraz wspieranie
nauczania i upowszechniania wiedzy leśnej.
5. Promowanie programów ochrony miejsc i terenów wartościowych kulturowo oraz
umożliwiających prowadzenia studiów nad oceną i znaczeniem szczególnych leśnych
wartości kulturowych i krajobrazowych w historii narodu.
6. Istnienie i realizacja systemu nadzoru przestrzegania obowiązujących praw, instrukcji i
zaleceń oraz doskonalenia w zakresie bezpieczeństwa i higieny pracy pracowników,
stosownego do realizowanych obowiązków (narażenia na działanie różnych czynników
szkodliwych i innych zagrożeń).
7. Wywiązywanie się pracodawców leśnych z rzetelnego i terminowego wypłacania
wynagrodzeń, premii, wpłat na obowiązkowe fundusze i ubezpieczenia.
8. Podejmowanie dialogu i przestrzeganie wyników jego ustaleń ze wszystkimi grupami i
organizacjami pracowniczymi.
14
Załącznik nr 8 do siwz z dnia 03.02.2012 r.
Tytuł:
Kod dokumentu SmartWood:
Typ dokumentu:
Standardy RA
Zakres:
Polska
Status dokumentu:
Dla
celów
społecznych
Data niniejszej wersji:
15 września 2010
Numer wersji:
09-10
Okres konsultacji:
W TRAKCIE
Organizacja
weryfikująca:
RA SW
Osoba kontaktowa:
Kinga Sułkowska
Kontaktowy adres
e-mail:
[email protected]
konsultacji
Rainforest Alliance/SmartWood Przejściowy Standard
Oceny Gospodarki Leśnej w Polsce
FM-32 - Polska
© 2007 Wydane przez Rainforest Alliance. Dokument chroniony jest prawami autorskimi. Graficzne, mechaniczne i elektroniczne powielanie w jakikolwiek
sposób całości lub fragmentu niniejszego dokumentu bez pisemnego zezwolenia wydawcy zabronione.
Spis treści
Wprowadzenie........................................................................................................................................... 1
Geneza.. ........................................................................................................................................... 2
Rozwój Standardów Regionalnych .................................................................................................. 3
Struktura Standardów SmartWood .................................................................................................. 4
Wskaźniki dla Małych i Dużych Jednostek Gospodarki Leśnej ...................................................... 5
Udział i Komentarz Społeczny dotyczący Standardów SmartWood oraz Procesu Certyfikacji. .... 5
Przejściowy standard SmartWood dla Polski .................................................................................. 6
Załącznik 1: Wykaz państwowych i lokalnych przepisów administracyjnych oraz
obowiązującego prawa, które mają zastosowanie w Polsce. ............................................ 27
Załącznik 2: Lista porozumień wielostronnych dotyczących środowiska naturalnego oraz
konwencji ILO, które zostały ratyfikowane przez Polskę ................................................ 36
Załącznik 3: Lista gatunków zagrożonych w Polsce. .................................................................... 38
Załącznik 4: Słownik terminów ..................................................................................................... 49
Załącznik 5: Proces weryfikacji i oceny certyfikacyjnej - podsumowanie .................................... 51
Załącznik 6: Kategorie lasów o wysokich walorach ochronnych. ................................................. 54
Wprowadzenie
Celem programu Smart Wood, organizacji Rainforest Alliance jest rozpoznanie i określenie dobrych
zarządców lasu, co osiągane jest poprzez niezależną i wiarygodną certyfikację w leśnictwie.
Rainforest Alliance - SmartWood Program (zwany dalej SmartWood) to jednostka ceryfikująca
akredytowana przez Forest Stewardship Council (Radę Dobrej Gospodarki Leśnej). Celem tych
norm jest zapenienie przepływu informacji dotyczących działań gospodarczych realizowanych
przez zarządców lasów (np. Regionalne Dyrekcjie Lasów Państwowych) a ocenianych przez
SmartWood pomiędzy zainteresowanymi podmiotami; zarządcami lasów, właścicielami gruntów,
przedsiębiorcami przemysłu drzewnego, naukowcami, ekologami i opinią publiczną. Wnioski i
decyzje dotyczące oceny wspomnianych działań gospodarczych zapisywane są w systemie
certyfikacji FSC (Forest Stewardship Council). Normy te zostały opracowane dla Polski na bazie
ogólnych norm Rainforest Alliance/SmartWood zatwierdzonych przez FSC i akredytowanych przez
Accreditation Services International.
SmartWood Polska Przejściowy Standard Gospodarki Leśnej 15 września 2010
Page 1 of 54
Standardy obejmują swym zakresem terytorium Polski (wszystkie typy lasów i obaszary
geograficzne). Obecne przejściowe standardy zostały adaptowane przez SmartWood do warunków
polskich i będą aktualizowane w sposób ciągły zgodnie z wkładem merytorycznym
zainteresowanych stron i próbami praktycznymi dotyczącymi niniejszej wersji.
Zasady, kryteria i wskaźnki dokumentu mają zastosowanie przy ocenie wszystkich jednostek
gospodarki leśnej (FMEs), dla których produkcja drewna jest zasadniczym (aczkolwiek nie
jedynym) celem działań.
Geneza
Gospodarowanie lasami może być realizowane dla wielu, różnych celów i produktów. Gospodarka
ta może mieć miejsce w lasach naturalnych lub plantacjach, jej celem może być drewno lub leśne
produkty niedrzewne, może obejmować zmechanizowany lub ręczny sposób pozyskania i w końcu
może być realizowana przez duże jednostki gospodarki leśnej lub przez lokalne społeczności albo
stowarzyszenia. Możliwości jest dużo. Zasadniczym pytaniem jest – jak okreslić szeroki zakres
ekologicznego, społeczno- ekonomicznego i ... wpływu procesów gospodarki leśnej w sposób jasny
i spójny, który opierałby się na powiązaniu badań naukowych z doświadczeniem praktycznym.
W 1991 roku SmartWood Program przedstawił pierwszy zbiór światowych norm przeznaczonych
dla certyfikacji jednostek gospodarki leśnej zatytuowany “Ogólne wytyczne dla oceny jednostek
administracji leśnej”, mające zastosowanie na niwie leśnej w ramach prowadzonej gospodarki. W
tym samym 1991 roku SmartWood wydał także pierwsze normy regionalne zaprojektowane dla
celów zarządzania gopspodarką leśną w Indonesji. W 1993 roku SmartWood wprowadził projekt
“Ogólne wytyczne dla oceny plantacji Leśnych” oraz znowelizował wytyczne dla organizacji
zarządzających zasobami leśnymi.”
Początkowo grupa robocza powołana do opracowania pierwszych zasad i kryteriów FSC w latach
1991-1993 była kierowana przez dyrektora SmartWood. W 1998 r., po siedmiu latach stosowania
standardów i szeroko pojętej praktyki ocen i audytów, SmartWood przeprowadził gruntowną zmianę
swoich standardów zarówno w stosunku do oceny gospodarki leśnej jak i lasów naturalnych a także
plantacji drzewnych. Od tego czasu zmiany nastąpiły w 2000 i 2004. Od 1993 r. każdy zestaw
naszych standardów został oceniony przez pracowników FSC - międzynarodowego organu, który
udzielił akredytacji SmartWood jako organizacji certyfikującej gospodarkę leśną oraz proces
kontroli pochodzenia produktu.
Standardy SmartWood zostały opracowane we współpracy z naszymi pracownikami oraz
przedstawicielami programu SmartWood na całym świecie a także leśnikami, przedstawicielami
zawodów leśnych, ekologami i naukowcami. Przedstawiciele SmartWood posiadają gruntowne
doświadczenie w dziedzinie szczegółowego opracowywania norm dla specyficznych regionów i
lasów. Niektóre z nich sięgają początkami 1989 (Indonezja, California). Stworzyliśmy te normy tak
aby pozostawały w zgodzie z wymogami FSC a także pozostałymi wytycznymi dotyczącymi
procesów zarządzania lasami i ochrony przyrody opublikowanymi przez World Conservation Union
(IUCN) i International Tropical Timber Organization (ITTO).
.
Bierzemy również pod uwagę pracę naszych partnerów sieci SmartWood: (Imaflora w Brazylii i
NEPCon w Danii, Skandynawii, Rosji i Europy Wschodniej), Międzynarodowe Centrum Badawcze
Leśnictwa (CIFOR), Międzynarodowa Organizacjia Pracy (ILO), naukowcy, przemysł leśny,
organizacjie pozarządowe (NGO) i regionalne grupy roboczeFSC. Doceniamy znaczący wkład ze
SmartWood Polska Przejściowy Standard Gospodarki Leśnej 15 września 2010
Page 2 of 54
strony tych i innych organizacji międzynarodowych, krajowych i lokalnych, oraz ze strony wielu
jednostek administracji leśnej (certyfikowanych i niecertyfikowanych), leśników, przedsiębiorstw
pozyskania drewna i zainteresowanych stron, którzy dzięki krytyce poprzednich wersji standardów
SmartWood przyczynili się swoimi sugestiami do ich poprawy.
Rozwój Standardów Regionalnych
Grup robocze FSC na całym świecie opracowują krajowe i dostosowane do lokalnych warunków
normy certyfikacji lasów. SmartWood w pełni wspiera, promuje i uczestniczy w miarę swoich
możliwości w tych procesach. Z naszego doświadczenia wynika, że proces opracowywania
standardów regionalnych ma kluczowe znaczenie. Standardy regionalne to doskonały sposób na
zaangażowanie społeczeństwa w ważnej, szeroko zakrojonej dyskusji na temat przyszłości lasów i
społeczności ludzkiej. Innymi słowy, proces ustalania standardów regionalnych nie powinien być
postrzegany jedynie jako techniczny proces ustalania standardów, ale również jako proces
współpracy z państwami trzecimi w zakresie zrównoważonej gospodarki leśnej.
Jako część procesu FSC, regionalne standardy są rozwijane przez regionalną grupę roboczą,
testowane w praktyce, następnie zmieniane i zatwierdzane przez regionalne grupy roboczej. W
kolejnym etapie dokument przedkładany jest międzynarodową siedzibie FSC w celu ostatecznego
zatwierdzenia. Produktem końcowym, jeśli zostaną przyjęte, są „standardy akredytowane przez
FSC”. Po akredytacji FSC wszystkie zatwierdzone przez FSC jednostki certyfikacyjne (jak
SmartWood) są zobowiązane stosować regionalne normy jako podstawowy punkt wyjścia do
certyfikacji FSC w tym kraju / regionie.
Jednostki certyfikujące mogą zdecydować się na normy bardziej rygorystyczne niż normy
regionalne, ale nie mogą pozostać mniej rygorystyczne.
We wszystkich krajach i regionach nie objętych akredytowanymi standardami FSC (Forest
Stewardship Council), SmartWood będzie rozwijać dostosowane do warunków lokalnych lub
tymczasowe standardy dla celów oceny działań gospodarczych na określonym obszarze
geograficznym. Dostosowany standard wychodzi i jest rozwijany z ogólnej normy SW (SmartWood)
ze zmianami dotyczącymi wskaźników certyfikacji tak aby uwzględnić uwarunkowania krajowe (np.
wymagania prawne, środowiskowe, społeczne i perspektywy ekonomiczne). Projekt ten jest
następnie tłumaczony na język urzędowy kraju, w którym zlokalizowany jest leśny podmiot
gospodarczy mający zostać poddany ocenie i przedkładany do konsultacji co najmniej 30 dni przed
rozpoczęciem pracy w terenie dla potrzeb audytu certyfikacyjnego. Dystrybucja dokumentu do
głównych zainteresowanych stron odbywa się przez Internet (e-mail oraz publikacje na stronie
internetowej SW), korespondencję listowną i spotkania twarzą w twarz.
Podmioty certyfikowane w ramach poprzedniego standard SmartWood lub FSC mają co najmniej
jeden rok, aby dostosować się do nowo na nowo zatwierdzonych standardów FSC.
SmartWood wykorzystał również inne podstawy prawne i źródła za podstawę i inspirację do
opracowania wskaźników i weryfikatorów standardów przejściowych. Wśród dokumentów, które
zostały zweryfikowane, uznane i użyte do konstrukcji Standardu Przejściowego znajdują się:

FSC-STD-01-001 (version 4-0) FSC Principles and Criteria for Forest Stewardship (Zasady I
Kryteria Rady Dobrej Gospodarki Leśnej)
SmartWood Polska Przejściowy Standard Gospodarki Leśnej 15 września 2010
Page 3 of 54

FSC-STD-20-003 (version 2-1) Local adaptation of certification body generic Forest
Stewardship Standards. (Lokalna adaptacja ogólnych standardów Rady Dobrej Gospodarki
Leśnej przez jednostkę certyfikującą)

FSC-STD-20-002 (version 2-1) Structure and Content of Forest Stewardship Standards
(Struktura i Zawartość standardów Rady Dobrej Gospodarki Leśnej)

FSC-POL-30-401 FSC certification and ILO conventions. (Certyfikacja FSC a Konwencja
ILO)

FSC-STD-01-003 SLIMF Eligibility Criteria (Kryteria definiowania małych powierzchni
leśnych / lasów o niskim stopniu użytkowania).

RA/SmartWood Generic Standards for Assessing Forest Management”, Rainforest Alliance,
January 2008 (Normy ogólne dla oceny gospodarki leśnej, Rainforest Alliance, styczeń
2008)

SmartWood Generic Guidelines for Assessing the Management of Non-Timber Forest
Products, Rainforest Alliance, January 2000. ( Normy ogólne dla oceny gospodarki leśnymi
produktami niedrzewnymi, Rainforest Alliance, styczeń 2000)

SmartWood Non-Timber Forest Products Certification Standards Addendum, Rainforest
Alliance, November 2002. (Leśne produkty niedrzewne, certyfikacja – dodatek, Rainforest
Alliance, Styczeń 2002)
Struktura Standardów SmartWood
Ogólne normy SmartWood są oparte bezpośrednio na zasadach i kryteriach FSC, Forest
Stewardship (FSC-STD-01-001) i zawierają określone, ogólne wskaźniki dla każdego kryterium, tak
by tworzyć globalny standard SmartWood.
Wskaźniki te są punktem wyjścia, z którego opracowywane są przejściowe Standardy SmartWood
dla konkretnych regionów i do użytku w lesie przez rzeczoznawców dla celów oceny stabilności
gospodarki leśnej i wywieranego wpływu na certyfikowany podmiot.
Standardy te są podzielone na 10 następujących zasad:
1.0 Przestrzeganie przepisów prawnych I zasad FSC
2.0 Odpowiedzialność wynikająca z tytułów własności i praw.
3.0 Prawa ludności rdzennej
4.0 Współpraca ze społeczeństwem i prawa pracowników
5.0 Korzyści z lasu
6.0 Oddziaływanie na środowiosko
7.0 Plan urządzenia
8.0 Monitorowanie i ocena
9.0 Zachowanie lasów o szczególnej wartości
10.0 Plantacje
W standardzie, każda zasada FSC i związane z nią kryterium są określone wraz z przypisanymi do
nich wskaźnikami SmartWood. Podczas każdego auditu (certyfikacyjnego i okresowego) wszystkie
kryteria wszystkich zasad muszą być zweryfikowane, chyba że pewne zasady są przez auditorów
SmartWood uznane za nie mające zastosowania w warunkach krajowych, (np. Zasada 10 nie jest
stosowana, jeśli nie ma plantacji).
SmartWood Polska Przejściowy Standard Gospodarki Leśnej 15 września 2010
Page 4 of 54
Wskaźniki dla Małych, Średnich i Dużych Jednostek Gospodarki Leśnej1
Niniejsze Zasady, Kryteria i Wskaźniki mają zastosowanie do wszystkich lasów i typów lasów na
terenie Polski. Niektóre ze wskaźników maja zastosowanie dla lasów o niewielkiej powierzchni lub
niskiej intensywności użytkowania (small and/or low intensity managed forests - SLIMF), lasów o
średniej lub dużej powierzchni (medium size or large forest management operations - FMO) lub dla
obydwu typów jednocześnie. Dla celów niniejszego dokumentu określono następujące wartości
progowe:
- lasy o niewielkiej powierzchni lub niskiej intensywności użytkowania (SLIMF):
a) lasy o powierzchni poniżej 500 ha (jednej własności lub współwłasności – wspólnoty);
b) lasy, w których współczynnik pozyskania drewna jest mniejszy niż 20% rocznego przyrostu, a
całkowite roczne pozyskanie jest mniejsze niż 5000 m3;
- lasy o średniej powierzchni: lasy o powierzchni od 500 do 10 000 ha (jednej własności lub
współwłasności – wspólnoty);
- lasy o dużej powierzchni: lasy o powierzchni ponad 10 000 ha (jednej własności lub
współwłasności – wspólnoty).
Udział i Komentarz Społeczny dotyczący Standardów SmartWood oraz Procesu
Certyfikacji.
Na proces certyfikacji składają się dwa aspekty: publiczny i prywatny. Wyniki auditów
certyfikacyjnych nie są dokumentami publicznymi, chyba że jest to wyraźnie wymagane przez
prawo (np. dla niektórych lasów publicznych) lub dopuszczone do wglądu publicznego przez
certyfikowany podmiot.
Trzy dokumenty związane z procesem certyfikacji są dokumentami ogólnodostępnymi:
1. Publiczne konsultacje z zainteresowanymi stronami, w których ogłasza się certyfikację co
najmniej 60 dni przed planowanym auditem w terenie.
2. Normy mające zastosowanie oraz
3. Streszczenie procesu certyfikacji dla publicznej wiadomości, wraz z wynikami każdej
oddzielnej certyfikacji lasów.
Dokument dotyczący publicznych konsultacji z zainteresowanymi stronami informuje opinię
publiczną o certyfikacji co najmniej na 60 dni przed rozpoczęciem procesu weryfikacji (auditu).
Publikacja następuje przed lub w trakcie trwania auditu. Rozpowszechnia się go zazwyczaj
fizycznie do rąk własnych, faxem, listownie lub poprzez pocztę elektroniczną.
Także określony standard SmartWood w przypadku każdej oceny jest powszechnie dostępny przed
oraz w trakcie procesu weryfikacji i jest częścią publicznych obserwacji dla każdej certyfikacji
lasów.
Publiczne streszczenie raportu z auditu jest ostatnim krokiem w procesie certyfikacji i jest dostępne
tylko w przypadkach ostatecznego zatwierdzenia certyfikatu dla jednostki gospodarki leśnej. W
celu wglądu w wymienione dokumenty, odwiedź naszą stronę internetową www.smartwood.org lub
skontaktuj się ze SmartWood (NEPCon Sp. zo.o. ul. Czapińskiego 3 / 311, 30-048 Kraków, Polska,
Tel. +48 122950373, fax. + 48 122950374, email: [email protected]).
Zdecydowanie zachęcamy aby przekazywali nam państwo swoje pozytywne lub negatywne uwagi
dotyczące organizacji starających się lub posiadających certyfikat, standardów certyfikacyjnych i
procedur.
_____________
1
Zasady, Kryteria i Wskaźniki Dobrej Gospodarki Leśnej w Polsce – czerwiec 2010
SmartWood Polska Przejściowy Standard Gospodarki Leśnej 15 września 2010
Page 5 of 54
Spis treści
A
Zakres
Norma ta jest podstawą do certyfikacji gospodarki leśnej FSC przedsiębiorstw gospodarki leśnej w
Polsce
B
Data wejścia w życie
Niniejsza norma ma zastosowanie od 15 września 2010.
C
Odniesienia

FSC-STD-01-001 v. 4.0 FSC Principles and Criteria for Forest Stewardship

FSC-STD-01-002 (draft 1-0) FSC Glossary of Terms
D
Terminy i definicje
Słownik – zobacz Załącznik A.
Akronimy:
FME: Forest management enterprise
FSC: Forest Stewardship Council
HCVF: High conservation value forests
RA:
Rainforest Alliance
SLIMF: Small and Low Intensity Managed Forests
SW: SmartWood
Przejściowy standard SmartWood dla Polski
SmartWood Polska Przejściowy Standard Gospodarki Leśnej 15 września 2010
Page 6 of 54
ZASADA 1. PRZESTRZEGANIE PRZEPISÓW PRAWNYCH I ZASAD FSC
Gospodarka leśna powinna uwzględniać wszystkie odnośne prawa danego kraju, międzynarodowe traktaty i
porozumienia, których dany kraj jest sygnatariuszem, oraz winna być zgodna ze wszystkimi zasadami i
kryteriami FSC.
Kryterium
1.1. Gospodarka leśna
prowadzona jest w oparciu o
przepisy prawa krajowego i
miejscowego z
uwzględnieniem przepisów
prawa międzynarodowego
obowiązującego w Polsce.
Wskaźniki
1.1.1. Działania gospodarcze na terenie lasu są zgodne z obowiązującymi w Polsce
międzynarodowymi, krajowymi i miejscowymi przepisami prawa.
Wywiad z zarządzającym, organami jego nadzoru, zainteresowanymi stronami
1.1.2. W przypadku zarządzających lasami o dużej powierzchni, w ich głównej siedzibie
znajduje się dostęp do stosownych przepisów dla całego personelu.
Sprawdzenie dokumentów, oraz dostępności do nich
1.1.3. W razie wykrycia niezgodności z prawem, podejmowane są działania naprawcze.
Niezgodność z przepisami jest udokumentowana.
1.2. Uiszczane będą wszelkie
przewidziane prawem opłaty,
honoraria, podatki oraz inne
obciążenia.
1.3. W krajach – sygnatariuszach
przestrzegane będą przepisy
wszelkich wiążących umów
międzynarodowych,
zwłaszcza CITES, Konwencje
ILO, ITTA oraz Konwencja o
Różnorodności Biologicznej
1.4. Rozbieżności pomiędzy
odnośnymi przepisami
prawnymi oraz Zasadami i
Kryteriami FSC powinny być
doraźnie oceniane dla celów
certyfikacji przez organizację
prowadzącą proces
certyfikacji oraz
zaangażowane, bądź
zainteresowane strony.
1.5. Obszary podlegające
gospodarce leśnej powinny
być chronione przed
nielegalnym użytkowaniem,
zabudową, bądź inną
nielegalną działalnością.
Sprawdzenie dokumentów, wywiad z organami nadzoru i pracownikami
1.2.1. Zarządzający i właściciele lasów posiadają dokumentacje uiszczenia wszystkich
honorariów, podatków oraz innych zobowiązań finansowych.
Sprawdzenie dokumentacji finansowej
1.2.2. W momencie pojawienia się niezgodności, przedsiębiorstwo dysponuje pełną
dokumentacją podjętych działań oraz wskazaniami co do sposobu ich rozwiązania.
1.3.1. W przypadku zarządzających lasami o dużej i średniej powierzchni zarządzający są
świadomi przepisów wydanych przez Państwo, a wynikających z konwencji
międzynarodowych i zgodnie z nimi prowadzą działania gospodarcze w lesie.
Wywiad z zarządzającymi
1.3.2. Zarządzający sprzyja wywiązywaniu się z wszelkich przepisów wynikających z
wiążących umów międzynarodowych, zwłaszcza CITES, Konwencji ILO, ITTA oraz
Konwencji o Różnorodności Biologicznej.
Sprawdzenie dokumentów, wizyty terenowe
1.4.1. Zarządzający identyfikuje niezgodności między przepisami prawnymi a standardami.
Sprawdzenie dokumentów, wywiad z zarządzającymi
1.4.2. Rozbieżności między wymogami FSC oraz przepisami prawnymi wyjaśniane są
poprzez konsultacje między grupą roboczą FSC, organem certyfikującym FSC i
zarządzającym.
Sprawdzenie dokumentów, wywiad z zarządzającym
1.5.1. Zarządzający lasami o dużej i średniej powierzchni prowadzą i dokumentują system
monitoringu wraz z okresowymi inspekcjami formalnymi
Sprawdzenie dokumentów
1.5.2. Nielegalne użytkowanie, zabudowa i inne nielegalne działania naruszające prawo
zostały zgłoszone odpowiednim władzom.
Sprawdzenie dokumentów
1.5.3. Zarządzający podejmuje działania zapobiegające nielegalnemu wykorzystaniu
obszarów leśnych lub ich zasobów.
1.6. Zarządzający będą
wykazywać trwałe
zaangażowanie w
Sprawdzenie dokumentów, wizyty terenowe
1.6.1. Zarządzający lasami o dużej powierzchni postępują zgodnie z postanowieniami
dokumentu dla certyfikacji częściowej FSC-POL-20-002 (2000).
Ocena zgodności postępowania zgodnie z wymogami polityki FSC
SmartWood Polska Przejściowy Standard Gospodarki Leśnej 15 września 2010
Page 7 of 54
przestrzeganie standardów i
kryteriów FSC.
1.6.2. Zarządzający pisemnie zobowiązują się do przestrzegania Zasad, Kryteriów i
Wskaźników Dobrej Gospodarki Leśnej.
Sprawdzenie dokumentów
ZASADA 2. ODPOWIEDZIALNOŚĆ WYNIKAJĄCA Z TYTUŁÓW WŁASNOŚCI I PRAW
Tytuły własności i długoterminowe prawa użytkowania zasobów lądowych i leśnych powinny być jasno
określone, udokumentowane i powinny posiadać moc prawną.
Kryterium
2.1. Konieczne jest wykazanie
tytułów własności oraz
prawa leśnego użytkowania
lasu (np. własność gruntów,
prawa zwyczajowe lub prawa
wynikające z umowy
dzierżawnej).
2.2. Społeczności lokalne
posiadające prawne lub
zwyczajowe tytuły własności
lub prawa do użytkowania,
sprawują kontrolę nad
pracami leśnymi w zakresie
ochrony własnych praw lub
zasobów, o ile nie zlecą
świadomie takiej kontroli
innym podmiotom.
2.3. Istnieją mechanizmy służące
rozwiązywaniu sporów
dotyczących prawa
własności i prawa
użytkowania. Stan
istniejącego sporu zostanie
w procesie certyfikacji
poddany dokładnej analizie.
Spory o zasadniczym
znaczeniu lub angażujące
znaczącą liczbę grup
interesów, eliminują podmiot
z procesu certyfikacji.
Wskaźniki
2.1.1. Zarządzający posiada dokument prawny, potwierdzający jego prawo własności lub
prawo do gospodarowania lasem.
Sprawdzenie dokumentów, wpisów do ksiąg wieczystych, wywiady ze stronami trzecimi,
które udostępniły prawa zwyczajowe
2.1.2. Granice własności są oznaczone lub wskazane wyraźnie w inny sposób.
Wizyta terenowa, sprawdzenie map
2.2.1. Prawa społeczności lokalnych lub innych stron zainteresowanych, które mają
ustawowe zwyczajowe prawo własności lub tradycyjne prawo użytkowania, są
zachowane.
Sprawdzenie dokumentów, wywiad z zainteresowanymi
2.2.2. Zarządzający lasami o dużej i średniej powierzchni zapewni, że społeczności lokalne
mają możliwość zbierania niedrzewnych produktów leśnych, takich jak: jagody,
grzyby na własne potrzeby.
Wywiad z lokalnymi społecznościami
2.2.3. Planowanie gospodarki leśnej uwzględnia jej wpływ na zasoby służące realizacji
praw określonych we wskaźnikach 2.2.1. oraz 2.2.2. i jest prowadzone w konsultacji z
zainteresowanymi społecznościami.
2.3.1. Akta dotyczące przebiegu i stanu sporów będą przechowywane i udostępniane na
życzenie audytorów.
Sprawdzenie dokumentów
2.3.2. Zarządzający winien zaprzestać działalności będących przedmiotem sporu do czasu
jego rozwiązania, w sposób akceptowalny przez strony sporu.
Sprawdzenie dokumentów, wizyty terenowe
2.3.3. Strony dążą do zawarcia ugody.
Wywiad z zainteresowanymi
2.3.4. Spory będą rozstrzygane w niezawisłych sądach.
SmartWood Polska Przejściowy Standard Gospodarki Leśnej 15 września 2010
Page 8 of 54
ZASADA 3. PRAWA LUDNOŚCI RDZENNEJ – nie dotyczy warunków Polski
Należy jasno zdefiniować, udokumentować i uznać prawnie normy prawne i zwyczajowe ludności rdzennej do
posiadania, użytkowania oraz gospodarowania własnością leśną.
Kryterium
3.1. Ludność rdzenna będzie
sprawować kontrolę nad
procesem gospodarowania
lasami na własnym terenie,
chyba, że sprawowanie
kontroli dobrowolnie i
zgodnie powierzą innym
jednostkom.
3.2. Procesy gospodarcze w lesie
nie będą zagrażać lub
negatywnie wpływać,
bezpośrednio lub pośrednio,
na wielkość zasobów lub
prawa własności ludności
rdzennej.
3.3. Obszary o szczególnych
znaczeniu kulturowym,
ekologicznym,
gospodarczym lub religijnym
dla ludności rdzennej,
zostaną wyraźnie wskazane
przy współpracy z tą
ludnością oraz uznane i
chronione przez gospodarzy
lasu.
3.4. Ludność rdzenna zostanie
wynagrodzona za
stosowanie tradycyjnych
metod użytkowania
gatunków leśnych lub
systemów gospodarowania
w ramach działalności na
terenie lasu. Forma
wynagrodzenia zostanie
formalnie uzgodniona przy
jej dobrowolnej zgodzie,
zanim rozpoczęte zostaną
działania na terenie lasu.
Wskaźniki
Nie dotyczy. Na terenie Polski nie istnieje ludność rdzenna. Wobec tego zasada nr
3 nie znajduje zastosowania
Nie dotyczy.
Nie dotyczy.
Nie dotyczy.
SmartWood Polska Przejściowy Standard Gospodarki Leśnej 15 września 2010
Page 9 of 54
ZASADA 4. WSPÓŁPRACA ZE SPOŁECZEŃSTWEM I PRAWA PRACOWNIKÓW
Proces gospodarowania lasami będzie przyczyniać się do długotrwałego dobrobytu społecznego i
ekonomicznego danego społeczeństwa i pracowników leśnych.
Kryterium
4.1. Społecznościom lokalnym
będzie oferowana możliwość
zatrudnienia, korzystania z
edukacji i inne świadczenia
(np. rekreacja, turystyka).
Wskaźniki
4.1.1. Brak jest dowodów na dyskryminację ludności lokalnej: w dostępie do pracy na rzecz
zarządzającego, awansowaniu, wynagradzaniu i premiowaniu pracowników.
Wywiad z zatrudnionymi i społecznością lokalną
4.1.2. Zarządzający gwarantuje zgodnie z wymogami prawa wynagrodzenie wszystkim
pracownikom, wykonawcom i podwykonawcom prac leśnych.
Wywiady z pracownikami, wykonawcami i podwykonawcami
4.1.3. Brak jest dowodów na ograniczanie dostępu do edukacji leśnej oraz korzystania z
innych świadczeń jak rekreacja i turystyka.
4.2. Zarządzający lasem powinien
spełniać istniejące wymogi
przepisów prawa i regulacji z
zakresu ochrony zdrowia,
higieny i bezpieczeństwa
pracy pracowników oraz ich
rodzin, a w miarę możliwości
powinien dążyć do
podwyższenia tych
standardów.
Wywiad z zatrudnionymi i społecznością lokalną
4.2.1. Prace leśne wykonywane są przez podmioty gwarantujące i stosujące wymagany
przepisami prawa poziom usług co do bezpieczeństwa, jakości, troski o środowisko i
techniki prac.
Sprawdzenie dokumentów (np. licencji firm leśnych), wizyty terenowe
4.2.2. W terenie wykorzystywany jest odpowiedni sprzęt, gwarantujący bezpieczeństwo i
higienę pracy, w tym kaski ochronne, kontrastowe kamizelki, buty ochronne, spodnie
ochronne. Wszyscy pracownicy mają dostęp do apteczki pierwszej pomocy. Każda
osoba przebywająca na terenie, gdzie prowadzone jest pozyskanie drewna
wyposażona jest w kask ochronny i kontrastową kamizelkę.
Wizyty terenowe, wywiad z pracownikami
4.2.3. Pracownicy wspinający się na drzewa są odpowiednio przeszkoleni w zakresie
bezpieczeństwa pracy i sposobu prowadzenia prac oraz posiadają odpowiednie
wyposażenie zabezpieczające.
Wywiad z odnośnymi pracownikami, sprawdzenie dokumentów
4.2.4. Pracownicy wykonujący niebezpieczne prace takie jak ścinka dużych drzew,
usuwanie wiatrołomów nigdy nie pracują sami.
Wywiad z pracownikami, wizyty terenowe
4.2.5. Pracownicy znają procedury postępowania w razie wypadku, pożaru lub innego
zdarzenia zagrażającego życiu i zdrowiu pracowników lub środowisku pracy.
Wywiad z pracownikami
4.2.6. Zarządzający regularnie sprawdza i zapewnia , że wszystkie procedury dotyczące
bezpieczeństwa są przestrzegane, a środki techniczne są stosowane i są w pełnej
sprawności do wykonywania określonych czynności.
Sprawdzenie dokumentów, wywiad z pracownikami, wizyty terenowe
4.2.7. W przypadku działań gospodarczych w lasach o dużej i średniej powierzchni
występuje system nadzoru, dzięki któremu możliwe jest systematyczne
identyfikowanie potencjalnych niebezpieczeństw i podejmowanie działań
zapobiegawczych w razie konieczności.
Sprawdzenie dokumentów (kwalifikacji nadzoru), wizyty terenowe
4.2.8. Zarządzający lasami o dużej i średniej powierzchni posiadają system podnoszenia
kwalifikacji i wpływają na ich podnoszenie odnośnie nowoczesnych technik,
bezpieczeństwa i higieny pracy.
Sprawdzenie dokumentów, wywiad z pracownikami
SmartWood Polska Przejściowy Standard Gospodarki Leśnej 15 września 2010
Page 10 of 54
4.3. Prawo pracowników do
zrzeszania oraz konsultacji z
pracodawcami jest
gwarantowane przepisami
konwencji 87 i 98
Międzynarodowej Organizacji
Pracy.
4.2.9. Wskaźniki znajdujące się w kryterium 4.2 będą miały zastosowanie również dla
członków rodzin pracowników w przypadku ich obecności na powierzchni
wykonywanych prac.
4.3.1. Wszyscy pracownicy mają prawo zrzeszania się w związkach zawodowych. Nie będą
z tego powodu dyskryminowani.
Wywiad z pracownikami
4.3.2. W przypadku działań gospodarczych w lasach o dużej i średniej powierzchni układy
zbiorowe z przedstawicielami związków zawodowych mogą być zawierane w dobrej
wierze, a poprzedzające je negocjacje prowadzone są z dołożeniem wszelkich starań
do osiągnięcia porozumienia.
Wywiad z reprezentantami związków zawodowych,
sprawdzenie protokołów negocjacji
4.3.3. Pracownicy są informowani o zmianach dotyczących ich stanowisk i warunków pracy
oraz wynagradzania. Zarządzający zachowuje dokumentacje takich konsultacji.
4.4. W procesie planowania i
samej działalności będą
brane pod uwagę wyniki
oceny jej oddziaływania na
społeczeństwo. Ze stronami,
na które dana działalność
gospodarcza może mieć
bezpośredni wpływ,
przeprowadzane są
konsultacje.
Sprawdzenie dokumentów, wywiad z pracownikami
(bez obecności ich przełożonych)
4.4.1. Zarządzający lasami o dużej i średniej powierzchni posiadają system umożliwiający
udział społeczności lokalnych w procesie planowania.
Sprawdzenie dokumentów
4.4.2. Zarządzający lasami o dużej i średniej powierzchni posiadają system dokumentacji
wszelkich wniosków zgłaszanych przez strony zainteresowane i odpowiedzi
zarządzającego.
Sprawdzenie dokumentów, wywiad z zainteresowanymi
4.4.3. Zarządzający lasami o niewielkiej powierzchni lub niskiej intensywności:
Zarządzający lasem prowadzi i dokumentuje konsultacje z zainteresowanymi
stronami mając na uwadze wartości społeczne, społeczno-ekonomiczne, kulturowe
na które może mieć wpływ sposób i skala działań prowadzonej gospodarki leśnej.
4.5. W przypadku zaistniałej
szkody lub straty na rzecz
społeczności lokalnej
dotyczącej własności bądź
prawa użytkowania zasobów,
wykorzystuje się
odpowiednie mechanizmy
służące rozwiązywaniu
sporów i udzielania
rekompensat. Należy
przedsięwziąć środki
zapobiegające powstawaniu
takich szkód lub strat.
Wywiad z zainteresowanymi, dowody prowadzonych ocen
4.5.1. Podejmowane są stosowne działania w celu zapobiegania powstawaniu szkód i strat
oraz rozwiązywania skarg poprzez rzetelne konsultacje mające na celu osiągnięcie
porozumienia i ugody (w odniesieniu do spowodowanych przez prace leśne strat i/lub
uszkodzenia własności, zdrowia lub praw).
Sprawdzenie dokumentów, wywiad z zainteresowanymi stronami i rozmowy z
zarządzającymi lasem
SmartWood Polska Przejściowy Standard Gospodarki Leśnej 15 września 2010
Page 11 of 54
ZASADA 5. KORZYŚCI Z LASU
Gospodarka leśna prowadzi do efektywnego wykorzystania różnorodnych produktów i usług leśnych tak, aby
zapewnić dobrą kondycję ekonomiczną oraz korzyści środowiskowe i społeczne.
Kryterium
5.1. Proces gospodarowania
lasami będzie zmierzał ku
osiągnięciu stabilności
gospodarczej, przy
uwzględnieniu całkowitych
przyrodniczych,
ekologicznych, społecznych i
operacyjnych kosztów
produkcji oraz
zagwarantowaniu inwestycji
niezbędnych do zachowania
biologicznej produktywności
lasu.
5.2. Proces gospodarowania
lasami oraz działania
marketingowe powinny
zachęcać do optymalnego
wykorzystania i lokalnego
przetwarzania szerokiego
zasobu produktów leśnych.
5.3. W ramach procesu
gospodarowania lasami
minimalizuje się ilość
pozostałości wytwarzanych
podczas pozyskania i
obróbki drewna oraz unika
się niszczenia innych
zasobów leśnych.
5.4. Gospodarka leśna powinna
dążyć do wzmocnienia i
urozmaicenia lokalnej
gospodarki tak, aby uniknąć
jej uzależnienia od
pojedynczego produktu
leśnego.
5.5. W ramach prowadzenia
gospodarki leśnej
identyfikuje się, zachowuje, a
gdzie to możliwe podnosi
wartość usług i zasobów
związanych z lasami.
Wskaźniki
5.1.1. Zarządzający lasami o dużej i średniej powierzchni: uzyskane przychody wystarczają
do pokrycia kosztów gospodarowania lasami, np.: działalności planistycznej,
utrzymania dróg, prac leśnych, utrzymania długotrwałej kondycji lasu, monitorowania
wzrostu oraz inwestycji niezbędnych do zachowania biologicznej produktywności
lasu.
Sprawdzenie dokumentów
5.1.2. Zarządzający zabiega o wykorzystanie dostępnych możliwości pozyskiwania środków
zewnętrznych na pokrycie niektórych kosztów związanych z ochroną
środowiskotwórczych funkcji lasu i zachowaniem różnorodności biologicznej.
Sprawdzenie dokumentów
5.2.1. Mając na względzie lokalne i regionalne potrzeby ekonomiczne wytwarza się i
wprowadza na rynek szeroki asortyment wysokiej jakości produktów leśnych.
Wywiad z zarządzającym, sprawdzenie dokumentów
5.3.1. Sieć istniejących i planowanych dróg leśnych, mostów i szlaków zrywkowych będzie
stosowna do skali i intensywności działań gospodarczych.
Sprawdzenie dokumentów, wizyty terenowe
5.3.2. Zarządzający stosuje techniki pozyskania i wyróbki drewna minimalizujące
uszkodzenia zasobów leśnych oraz monitoruje te uszkodzenia.
Sprawdzenie dokumentów, Wizyty terenowe
5.4.1. Polityka i metody zarządzającego prowadzącego działania gospodarcze uwzględniają
potrzeby lokalnego przemysłu przetwórczego.
Sprawdzenie dokumentów, wywiad z lokalnymi przetwórcami
5.4.2. Prowadzi się gospodarkę leśną tak, by wytwarzała ona zróżnicowane produkty
drzewne i niedrzewne oraz w miarę możliwości niematerialne (np: turystyka,
rekreacja, edukacja i inne).
Sprawdzenie dokumentacji, wizyty terenowe
5.5.1. Zarządzający lasami o dużej i średniej powierzchni identyfikują, zachowują i
prowadzą ewidencje przychodów z usług związanych z zasobami leśnymi (np.:
gospodarstwa rybackie, łowieckie, komercyjne wykorzystanie płodów runa leśnego,
przychody z turystyki, itp.).
Sprawdzenie dokumentów
5.5.2 Zarządzający lasami o niewielkiej powierzchni lub niskiej intensywności: W
planowaniu działań w lasach uwzględniono wartość szerokiego zakresu funkcji lasu,
próbując je oszacować przy pomocy znanych metod.
5.6. Wielkość pozyskania
zasobów leśnych nie może
przekroczyć poziomu, który
trwale uniemożliwi ich
odnowienie.
Wywiad z zarządzającymi
5.6.1. Planowana miąższościowa i powierzchniowa wielkość pozyskania drewna, jest
ustalana w oparciu o istniejące i dobrze udokumentowane wskaźniki przyrostu i
dotychczasowego pozyskania.
Sprawdzenie dokumentów
5.6.2. Wielkość pozyskania drewna jest ściśle udokumentowana. Dokumentacja będzie
uwzględniać opis terenu, czas, gatunki, ilość i warunki pozyskania.
SmartWood Polska Przejściowy Standard Gospodarki Leśnej 15 września 2010
Page 12 of 54
Sprawdzenie dokumentów, wizyty terenowe
5.6.3. Granice obszarów przeznaczonych do pozyskania drewna są wyraźnie oznaczone
lub łatwe do identyfikacji.
Wizyty terenowe
5.6.4. Zarządzający lasami o dużej i średniej powierzchni: pozyskanie niedrzewnych
produktów leśnych takich jak nasiona, choinki, stroisz, zwierzyna łowna jest
udokumentowane.
Sprawdzenie dokumentów
ZASADA 6. ODDZIAŁYWANIE NA ŚRODOWISKO
Gospodarka leśna chroni różnorodność biologiczną i wartości z nią związane: zasoby wodne, gleby, rzadkie i
nietrwałe ekosystemy oraz walory krajobrazowe, co w rezultacie utrwala funkcje ekologiczne lasu.
Kryterium
6.1. Ocena oddziaływania
gospodarki leśnej na
środowisko jest
przeprowadzana w sposób
odpowiedni do jej rozmiaru,
intensywności oraz do
stopnia unikalności
zasobów, na które wywierany
jest ten wpływ. Ocena
wpływu gospodarki leśnej
jest prowadzona w
kontekście całego krajobrazu
jak również z
uwzględnieniem danego
obszaru, na którym
bezpośrednio prowadzi się
działania gospodarcze.
Ocena oddziaływania na
środowisko powinna być
dokonana zanim podjęte
zostaną działania
potencjalnie zakłócające stan
tego środowiska na etapie
sporządzania odnośnych
planów.
Wskaźniki
6.1.1. Podczas planowania działań gospodarczych w lesie uwzględnia się ocenę ich wpływu
na środowisko, która odbywa się na etapie planowania i przed podjęciem działań
gospodarczych w lesie. W planach uwzględnia się odpowiednie środki łagodzące
negatywne skutki działań gospodarczych.
Sprawdzenie dokumentów (plan urządzania lasu, dokumenty wymagane przed
rozpoczęciem działań gospodarczych, zgodnie z przepisami prawa)
6.1.2. W terenie stosuje się środki mające na celu zmniejszenie lub wyeliminowanie
negatywnego wpływu działań gospodarczych na środowisko leśne w wilgotnych
typach siedliskowych lasu. Wilgotne, bagienne i łęgowe typy siedliskowe lasu (i ich
wyżynne i górskie odpowiedniki) powinny być traktowane ze szczególną troską, by
minimalizować uszkodzenia gleb oraz unikać zaburzania stosunków wodnych. Prace
leśne prowadzi się zgodnie z prawem ochrony przyrody. Sposób prowadzenia
operacji (również czas rozpoczęcia i zakończenia w danym roku), powinien
uwzględniać lokalne warunki przyrodnicze oraz typ uwilgotnienia siedliska. Działania
gospodarcze w lesie w okresie lęgów ptaków powinny respektować przepisy
obowiązującego prawa w tym zakresie.
Sprawdzenie dokumentów, wizyty terenowe
6.1.3. Zarządzający lasami o niewielkiej powierzchni lub niskiej intensywności użytkowania:
ocena wpływu na środowisko odbywa się przed podjęciem działań gospodarczych w
lesie lub podjęciem działań, które mogą w inny sposób zakłócić normalne
funkcjonowanie lasu (budowa, renowacja drogi i inne), zgodnie z obowiązującym
prawem ochrony środowiska.
Sprawdzenie dokumentów, wizyty terenowe
6.1.4. Dokonuje się oceny i kontroli uszkodzeń drzewostanu oraz gleby przez środki
techniczne służące do pozyskiwania i zrywki drewna na obszarach podlegających
zabiegom pielęgnacyjnym i zrębowym, opisując to przy odbiorze prac. Dopuszczalne
są uszkodzenia drzew, ale szkody te są minimalizowane.
Sprawdzenie dokumentów, wizyty terenowe
6.2. Ochronie podlegają rzadkie i
6.2.1. Zarządzający lasami o dużych powierzchniach gromadzą i korzystają z
zagrożone gatunki oraz ich
rozpoznanych, skatalogowanych i zaznaczonych na mapach stanowisk gatunków
siedliska. Strefy ochronne i
objętych ochroną ścisłą, gatunków z czerwonej księgi i rzadkich siedlisk z zał. 1
powierzchnie chronione
dyrektywy UE na terenie prowadzenia działań oraz realizują obowiązujące plany
powinny być tworzone
ochrony.
odpowiednio do zakresu i
Sprawdzenie dokumentów (Program Ochrony Przyrody dla nadleśnictwa i ewentualnie
intensywności gospodarki
inne), wizyta terenowa, wywiad z lokalnymi przyrodnikami, wywiady z pracownikami
leśnej oraz unikalności
zasobów podlegających
6.2.2. Zarządzający lasami o niewielkiej powierzchni lub niskiej intensywności użytkowania
zabiegom gospodarczym.
SmartWood Polska Przejściowy Standard Gospodarki Leśnej 15 września 2010
Page 13 of 54
Nieprawidłowo prowadzona
gospodarka łowiecka,
rybactwo, odłowy zwierząt i
zbieractwo powinny
podlegać zwalczaniu.
oraz średniej powierzchni, są świadomi obowiązku ochrony i chronią gatunki wpisane
na oficjalne listy gatunków chronionych, rzeczywiście występujące na terenie lasu
(patrz 6.2.1).
Wywiad z zarządzającym, wizyty terenowe
6.2.3. Pracownicy lub osoby podejmujące decyzje mające wpływ na chronione gatunki i
siedliska, znają, rozpoznają i identyfikują je w terenie lub korzystają z wiedzy
eksperckiej.
Wywiad z pracownikami, weryfikacja w terenie
6.2.4. Działania w stanowiskach gatunków chronionych i siedliskach chronionych są
prowadzone przez pracowników lub osoby podejmujące decyzje w sposób nie
zagrażający wartościom chronionym, z respektowaniem przepisów prawa.
Sprawdzenie dokumentów, wizyty terenowe
6.2.5. Nie rozpoczyna się eksploatacji torfu z aktualnie nie użytkowanych torfowisk, ani nie
wydzierżawia w celu takiej eksploatacji. Nie odwadnia się aktualnie nie użytkowanych
torfowisk.
Wizyty terenowe
6.2.6. Naturalne i półnaturalne chronione tereny nieleśne w obszarze leśnym są
zachowane.
Wizyty terenowe
6.2.7. Źródliska oraz koryta rzek i potoków są chronione podczas prowadzenia prac
leśnych.
Wizyty terenowe
6.2.8. Zarządzający podejmuje działania w celu wyeliminowania niewłaściwego i nielegalnie
prowadzonego łowiectwa, rybactwa, odłowu zwierząt i zbieractwa.
6.3. Funkcje i walory ekologiczne
lasu powinny być zachowane
w stanie nienaruszonym,
zwiększane lub przywracane
poprzez:
a) odnowienie i sukcesję,
b) zróżnicowanie na
poziomie genetycznym,
gatunkowym oraz
ekosystemowym,
c) poprzez naturalne cykle,
które wpływają na
produktywność
ekosystemów leśnych.
Sprawdzenie dokumentów, wizyty terenowe
6.3.1. Przy odnowieniu lasu należy w pierwszej kolejności wykorzystywać istniejące już
odnowienia naturalne drzew i krzewów - zgodne z celami hodowli lasu, a także
inicjować, utrwalać i rozwijać nowe odnowienia naturalne pożądanych gatunków.
Wizyty terenowe, sprawdzenie dokumentów
6.3.2. Na terenach, gdzie występują bagienne, łęgowe i wilgotne typy siedliskowe lasu
(nizinne, wyżynne i górskie) stosuje się rębnie dostosowane do Typu Siedliskowego
Lasu i właściwości gatunków przewidzianych do odnowienia, prowadzące do
różnicowania wiekowego i w miarę możliwości strukturalnego. Na siedliskach Bb,
BMb, LMb i siedliskach łęgowych w miarę możliwości odstępuje się od użytkowania.
Wizyty terenowe
6.3.3. Powierzchnia planowych zrębów zupełnych nie przekracza 4 hektarów, a okres ich
nawrotu wynosi minimum 5 lat. Linia brzegowa zrębu powinna mieć przebieg
zatokowy, falisty lub schodkowy.
Wizyty terenowe, sprawdzenie dokumentów, szkiców zrębowych
6.3.4. Trzebieże i pozyskanie drewna będą służyć rozwojowi drzewostanów mieszanych na
odpowiednich siedliskach.
Wizyty terenowe, wywiad z pracownikami
6.3.5. Naturalne elementy ekosystemów leśnych (np.: wykroty, leżanina, drzewa
zamierające, martwe stojące drzewa, drzewa dziuplaste, gatunki drzew i krzewów
lekko nasiennych i owocodajnych, np. jarzębina, iwa, osika) nie są eliminowane w
wyniku gospodarki leśnej, jeżeli nie koliduje to z zasadą powszechnej ochrony lasu
oraz ich usuwanie nie zagraża gatunkom i siedliskom będącym przedmiotem
SmartWood Polska Przejściowy Standard Gospodarki Leśnej 15 września 2010
Page 14 of 54
ustanowienia form ochrony przyrody.
Wizyty terenowe, wywiad z pracownikami
6.3.6. Nie usuwa się drzew dziuplastych, jeśli nie zagraża to bezpieczeństwu ludzi. Przed
wycięciem sprawdza się, czy drzewo nie jest dziuplaste. Dba się o zapewnienie w
drzewostanach obecności drzew w których mogą tworzyć się dziuple, na przykład
pozostawiając stare drzewa na kolejne pokolenia drzewostanu, zapewniając
obecność gatunków, w których tworzą się dziuple.
Wizyty terenowe, wywiad z pracownikami, konsultacje z zainteresowanymi
6.3.7. Zarządzający lasem pozostawia drewno martwe rozkładające się w lesie
zróżnicowane pod względem formy i gatunku (leżanina, martwe stojące drzewa). Ilość
pozostawianego martwego drewna powinna wynikać z badań naukowych
uwzględniających warunki lokalne oraz jest zróżnicowana przestrzennie (większe
ilości winny znajdować się w rezerwatach przyrody, użytkach ekologicznych,
powierzchniach wyłączonych z użytkowania i stanowiskach ksylobiontów). Ilość
martwego drewna różnych form i gatunków wzrasta w wieloletnim przedziale
czasowym. Dla potrzeb monitoringu, do czasu opracowania jednolitej metodyki badań
i inwentaryzacji martwego drewna, należy opierać się na danych z monitoringu
zewnętrznego uznając za poziom wyjściowy wyniki wielkoobszarowej inwentaryzacji
stanu lasów dla certyfikowanej jednostki.
Wizyty terenowe, wywiad z pracownikami, konsultacje z zainteresowanymi
6.3.8. Zarządzający lasami o dużych powierzchniach: fragmenty drzewostanów, które
uzyskały wiek rębności, o minimalnej powierzchni 5% każdego bloku drzewostanów
rębnych, przeznaczonych do wycięcia w pierwszym dziesięcioleciu i nie mniejsze niż
5 arów, pozostają nienaruszone do naturalnej śmierci i rozkładu drewna.
6.4. W ramach danego obszaru,
reprezentatywne przykłady
istniejących ekosystemów są
zachowywane w stanie
naturalnym, stosownie do
zakresu działań
gospodarczych oraz
unikalnego charakteru
danych zasobów, a także
zaznaczone na mapach.
Wizyty terenowe, wywiad z pracownikami, kontrola dokumentów
6.4.1. Zarządzający lasami o dużych powierzchniach zachowuje przykłady istniejących
ekosystemów w swym stanie naturalnym stosownie do zakresu działań
gospodarczych oraz unikalnego charakteru tych zasobów, a także zaznacza na
mapach. Takie enklawy i obszary objęte ochroną prawną, tam gdzie w planach ich
ochrony ustalono taką potrzebę, są wyłączone z użytkowania. W przypadku terenów
leśnych, za ekosystem uznaje się typ siedliskowy lasu. Ekosystem referencyjny jest
zachowany w ilości nie mniejszej niż 1% jego powierzchni w ramach jednostki
certyfikowanej. Łączna powierzchnia zachowywanych ekosystemów jest nie mniejsza
niż 5% powierzchni jednostki certyfikowanej.
Wizyty terenowe, sprawdzenie dokumentów
6.4.2. Zarządzający lasami o dużej powierzchni: wybór obszarów leśnych objętych ochroną
według wymagań z punktu 6.4.1., będzie prowadzony w oparciu o rozpoznanie
kluczowych walorów biologicznych między innymi poprzez konsultacje z jednostkami
naukowymi, organizacjami przyrodniczymi oraz samorządami.
Wizyty terenowe, wywiady z zainteresowanymi
6.4.3. Zarządzający lasami o niewielkiej powierzchni lub niskiej intensywności użytkowania
oraz średniej powierzchni: reprezentatywne przykłady istniejących ekosystemów
zagrożonych podlegają ochronie w swym stanie naturalnym.
Wizyty terenowe, sprawdzenie dokumentów
6.4.4. Nie pozyskuje się drewna na obszarach wskazanych we wskaźnikach 6.4.1 lub 6.4.3.
Wizyty terenowe, sprawdzenie dokumentów
6.4.5. Istniejące systemy odwadniające nie są utrzymywane w obszarach chronionych, o ile
jest to zgodne z odpowiednim planem ochrony danego obszaru.
Wizyty terenowe
6.5. Zostaną przygotowane i
6.5.1. Zarządzający lasami o dużych powierzchniach: istnieją i są przestrzegane pisemne
wdrożone pisemne wytyczne
wytyczne dotyczące ograniczania erozji i minimalizowania szkód w lesie podczas jego
w celu przeciwdziałania
użytkowania i innych prac.
SmartWood Polska Przejściowy Standard Gospodarki Leśnej 15 września 2010
Page 15 of 54
erozji, minimalizowania
szkód w ekosystemach
leśnych podczas pozyskania
drewna, budowy dróg,
ochrony zasobów wodnych
oraz innych działań
mechanicznych.
Sprawdzenie dokumentów, wizyty terenowe
6.5.2. Zarządzający lasami o niewielkiej powierzchni lub niskiej intensywności użytkowania
oraz średniej powierzchni są świadomi typów gleb, na których dla uniknięcia ich
uszkodzenia, pozyskuje się drewno zależnie od warunków pogodowych.
Wywiady z pracownikami
6.5.3. Wytyczne dla pracowników terenowych dotyczą działań gospodarczych w lesie, w
tym technicznych wymogów szlaków technologicznych (lokalizacja, szerokość,
gęstość), rodzajów zrywki, projektów dróg i ich utrzymania, stanowisk gatunków
chronionych i siedlisk chronionych.
Wywiady z pracownikami, sprawdzenie dokumentów
6.5.4. W trakcie pozyskania drewna podejmuje się działania mające na celu zmniejszenie
uszkodzenia gleb, jak na przykład: prowadzenie zrywki siecią właściwie
zaprojektowanych i założonych szlaków, minimalizowanie poruszania się maszyn
poza szlakami gospodarczymi, stosowanie sprawnego technicznie sprzętu.
Sprawdzenie dokumentów
6.5.5. Do koryt cieków, mokradeł i zbiorników wodnych nie są wrzucane narzut drogowy,
inne odpady (np.: kamienie, fragmenty skał, gałęzie) powstałe w wyniku
przygotowywania danego terenu do działań gospodarczych lub innych prac.
Wizyty terenowe, wywiady z wykonawcami
6.5.6. Pozostawia się strefy ochronne o szerokości przynajmniej dwóch wysokości
drzewostanu wzdłuż zbiorników i cieków oraz terenów otwartych, bagien, torfowisk,
źródlisk i źródeł (także śródleśnych), nie użytkowane zrębami zupełnymi.
6.6. W ramach prowadzonej
gospodarki leśnej należy
promować stosowanie
przyjaznych środowisku
metod regulacji liczebności
szkodników bez użycia
środków chemicznych ze
szczególnym
uwzględnieniem unikania
pestycydów chemicznych.
Zabrania się stosowania:
pestycydów Typ 1A, 1B (wg
WHO); węglowodorów
chlorowanych; pestycydów
nie ulegających rozkładowi,
toksycznych i tych, których
pochodne są aktywne
biologicznie i akumulują się
w łańcuchach pokarmowych
po terminie ich
oczekiwanego działania oraz
jakichkolwiek pestycydów
zakazanych w
porozumieniach
międzynarodowych. Jeżeli
stosuje się środki
chemiczne, należy zapewnić
odpowiedni sprzęt oraz
przeszkolenie, aby
zminimalizować zdrowotne i
środowiskowe ryzyko.
Wizyty terenowe
6.6.1. Należy dążyć do minimalizacji korzystania z chemicznych środków ochrony roślin w
hodowli i ochronie lasu. Stosowanie ich w lasach certyfikowanych odbywa się na
podstawie pisemnych procedur uzasadniających konieczność ich użycia.
Wizyty terenowe i sprawdzenie dokumentów
6.6.2. Używanie środków chemicznych powinno być minimalizowane zgodnie z
postępującym rozwojem metod i technik ochrony i hodowli lasu.
Wizyty terenowe, wywiad z pracownikami
6.6.3. Zabrania się używania pestycydów Typ 1A i 1B (wg WHO), chlorowanych
węglowodorów, pestycydów nierozkładalnych, toksycznych, bądź takich, których
pochodne pozostają biologicznie aktywne oraz akumulują się w łańcuchach
pokarmowych przekraczając termin planowanego użycia. Z powyższych regulacji
wyłączone są szkółki leśne.
Sprawdzenie dokumentów i miejsc przechowywania chemikaliów
6.6.4 Tymczasowe stosowanie zabronionych środków chemicznych odbywa się w oparciu o
zatwierdzoną przez organizację FSC A.C. procedurę „Rozpatrywanie wniosków o
tymczasową zgodę na stosowanie pestycydów FSC-PRO-01-004 (Wersja 2-1 z 2005
r. EN).
Sprawdzenie wniosków i otrzymanych aprobat
6.6.5. Dokumentuje się fakty użycia w lesie środków chemicznych wraz z nazwą i ilością
środka, oznaczeniem terenu i datą zastosowania.
Sprawdzenie dokumentów
6.6.6. Sposoby przechowywania, mieszania i stosowania środków chemicznych powinny
być bezpieczne oraz spełniać stosowne przepisy.
Wywiad z pracownikami, sprawdzenie dokumentów
SmartWood Polska Przejściowy Standard Gospodarki Leśnej 15 września 2010
Page 16 of 54
i miejsc przechowywania chemikaliów
6.6.7. Odpowiedni pracownicy znają procedury postępowania i są w stanie je wdrożyć w
sytuacji kryzysowej, tzn. w następstwie wycieku środków chemicznych i innych
wypadków.
6.7. Środki chemiczne, pojemniki,
płyny (w tym paliwa i oleje)
oraz nieorganiczne
nieczystości (odpady) stałe
są składowane w sposób
najmniej inwazyjny dla
środowiska w miejscach do
tego celu przystosowanych i
przeznaczonych.
Wywiad z pracownikami. Sprawdzenie dokumentów
6.7.1. Środki chemiczne, ich opakowania, nieorganiczne odpady w stanie ciekłym lub
stałym powstałe w wyniku działań gospodarczych w lesie lub funkcjonowania sprzętu,
są składowane w sposób przyjazny dla środowiska i zgodnie z prawem.
Wizyty terenowe
6.7.2. Podejmuje się starania, mające na celu zredukowanie i zminimalizowanie ilości
wszelkiego rodzaju odpadów, w tym śmieci pozostawionych przez turystów.
Wizyty terenowe, sprawdzenie dokumentów
6.7.3. Odpowiednie zestawy do pochłaniania oleju znajdują się na wyposażeniu maszyn
leśnych.
Wizyty terenowe
6.7.4. Minimalizowane są awaryjne wycieki oleju/paliwa ze sprzętu mechanicznego. Nie
obserwuje się wycieków o charakterze stałym.
Wizyty terenowe
6.7.5. Do pilarek i sprzętu hydraulicznego używane są jedynie oleje ulegające
biodegradacji.
6.8. Środki kontroli biologicznej
powinny być stosowane
rzadko, ponadto ich użycie
powinno być
udokumentowane,
monitorowane i
kontrolowane zgodnie z
prawem krajowym. Zabrania
się wykorzystywania
organizmów
modyfikowanych
genetycznie.
6.9. Stosowanie gatunków
obcych jest ściśle
kontrolowane i
monitorowane dla uniknięcia
negatywnego efektu
ekologicznego.
Wizyty terenowe, wywiad z pracownikami leśnymi
6.8.1. W hodowli i ochronie lasu należy wykorzystywać biologiczne środki ochrony roślin
tworzone z komponentów występujących na terenie kraju (Bacillus thuringiensis,
Trichoderma sp, Phlebiopsis gigantea i inne) w biologicznej i integrowanej metodzie
ochrony lasu w zastępstwie chemicznych środków ochrony roślin. Stosowanie
środków kontroli biologicznej dozwolone jest w uzasadnionych przypadkach, jest
dokumentowane, monitorowane i ściśle kontrolowane.
Sprawdzenie dokumentów, wywiad z odnośnymi pracownikami
6.8.2. Zabrania się wykorzystywania organizmów modyfikowanych genetycznie.
Wywiad z pracownikami, sprawdzenie dokumentów
6.9.1. Wykorzystywanie gatunków obcych jest zgodne z obowiązującym prawem oraz jest
monitorowane tak, aby uniknąć ich negatywnego wpływu na ekosystem leśny.
Wizyty terenowe
6.9.2. Rozprzestrzenianie się gatunków obcych (szczególnie inwazyjnych) wprowadzonych
do lasu jest monitorowane. W miarę możliwości podejmowane są działania mające na
celu ich kontrolę, ograniczenie liczebności lub eliminację.
Wizyty terenowe, sprawdzenie dokumentów
6.9.3. Do mikoryzacji sadzonek stosuje się rodzime gatunki grzybów.
6.10. Przekształcenie lasu na
plantacje lub teren nieleśny
wyjątkowo może mieć
miejsce gdy: dotyczy to
małej powierzchni, nie
obejmuje obszarów o
szczególnej wartości
przyrodniczej i spowoduje
oczywiste, istotne,
Sprawdzenie dokumentów
6.10.1. Przekształcenie lasu w użytek nieleśny jest dopuszczalne wyłącznie procedurami
ustanowionymi prawnie i jeżeli służyć będzie interesom kulturowym, krajobrazowym,
rekreacyjnym, naturalnym lub społecznym.
Sprawdzenie dokumentów
6.10.2. Przekształcenie lasu w teren nieleśny przez właściciela lub zarządzającego może
mieć miejsce gdy:
a) Dotyczy małej powierzchni,
b) Nie obejmuje obszarów o szczególnej wartości przyrodniczej,
SmartWood Polska Przejściowy Standard Gospodarki Leśnej 15 września 2010
Page 17 of 54
dodatkowe i długoterminowe
korzyści dla terenu objętego
ochroną.
c) Powoduje oczywiste, istotne, dodatkowe i długoterminowe korzyści dla terenu
objętego ochroną.
Wywiad z zainteresowanymi, sprawdzenie dokumentów
6.10.3. Plany przekształceń mają poparcie stron zainteresowanych, w tym społeczności
lokalnych i instytucji rządowych.
Wywiad z zainteresowanymi, sprawdzenie dokumentów
6.10.4. Zarządzający nie dokonuje przekształceń lasów w plantacje w innych przypadkach
niż wymienione w pkt.6.10.1. i 6.10.2.
Wizyty terenowe, sprawdzenie dokumentów
ZASADA 7. PLAN URZĄDZENIA
Należy sporządzić, wprowadzić w życie oraz uaktualniać plan urządzenia stosownie do zakresu i
intensywności działań. Plan powinien jasno definiować długofalowe cele urządzania i środki do ich
osiągnięcia.
Kryterium
7.1. Plan urządzenia lasu oraz
dokumentacja pomocnicza
powinny obejmować:
cele gospodarowania;
opis zasobów leśnych
podlegających gospodarowaniu,
ograniczenia środowiskowe,
użytkowania terenu, status
własnościowy, warunki
socjalnoekonomiczne oraz
charakter przyległych terenów;
opis systemu gospodarki leśnej i
innych systemów zarządzania
opartych na ekologii, z
uwzględnieniem listy
zidentyfikowanych zasobów;
racjonalne uzasadnienie poziomu
rocznego pozyskania i selekcji
gatunków;
Wskaźniki
7.1.1. Zarządzający lasami o niewielkiej powierzchni lub niskiej intensywności użytkowania
posiadają ważny plan urządzenia lasu przygotowany według wymogów
obowiązującego prawa zawierający uproszczoną inwentaryzację przyrodniczą
obejmującą w szczególności siedliska i gatunki chronione prawnie.
Sprawdzenie, czy istnieje plan urządzenia i czy zawiera
wszystkie wymagane informacje
7.1.2. Zarządzający lasami o dużej i średniej powierzchni: plan urządzenia lasu oraz
dokumentacja pomocnicza powinny obejmować:
a) cele gospodarowania,
b) ogólny opis historii lasu, w tym tytuł własności oraz sposób użytkowania obszaru
gospodarki leśnej,
c) opis zasobów leśnych jakie obejmuje obszar jednostki: wielkość, procent pokrycia
lasami, typy siedliskowe lasu, typy gleb, skład gatunkowy drzewostanów, rozkład
klas wieku, przeciętną wysokość i pierśnicę, całkowity przyrost roczny oraz
przeciętną zasobność,
d) wytyczne monitorowania wzrostu i dynamiki elementów zasobów leśnych,
zasady monitorowania wzrostu i
dynamiki lasu;
e) opis stosowanego systemu monitorującego, wdrożonego w celu ochrony obszarów
chronionych i obszarów o wysokich walorach ochronnych,
zapewnienie ochrony środowiska
w oparciu o ocenę wpływu na
środowisko;
f) mapy opisujące bazę surowcową lasu, zawierające obszary chronione, planowane
działania gospodarcze oraz własność ziem,
plany identyfikacji i ochrony
rzadkich, zagrożonych i ginących
gatunków;
g) opis i uzasadnienie stosowanych technik pozyskania drewna oraz
wykorzystywanego sprzętu.
mapy opisujące bazę surowcową
lasu, zawierające obszary
chronione, planowane działania
gospodarcze i własność ziemi;
opis i uzasadnienie stosowanych
technik użytkowania i
wykorzystywanego sprzętu.
Sprawdzenie dokumentów
7.1.3. Plan urządzenia lasu jest technicznie spójny i wystarczająco szczegółowy, wziąwszy
pod uwagę zakres działań gospodarczych oraz ich złożoność i intensywność.
Sprawdzenie dokumentów
7.1.4. Mapy są takiej jakości, by umożliwiały efektywne prowadzenie działań
gospodarczych.
SmartWood Polska Przejściowy Standard Gospodarki Leśnej 15 września 2010
Page 18 of 54
Sprawdzenie map, dokumentów, wizyty terenowe
7.1.5. Plany urządzenia lasu oraz wynikające z niego roczne plany gospodarcze lub plany
pozyskania, są w posiadaniu personelu i są wykorzystywane w terenie.
7.2. Należy dokonywać
okresowych rewizji planu
urządzenia lasu tak, by
możliwym było włączenie
wyników monitoringu,
nowych informacji
naukowych i technicznych
oraz reagowanie na
zmieniające się warunki
środowiskowe, społeczne i
ekonomiczne.
7.3. Pracownicy leśni zostaną
odpowiednio przeszkoleni i
będą nadzorowani tak, by
zapewnić właściwe
wdrożenie zadań w ramach
planu urządzenia lasu.
Wizyty terenowe, wywiad z personelem
7.2.1. Plan urządzenia (i/lub roczny plan gospodarczy) jest poddawany uaktualnieniu lub
dostosowaniu regularnie, w okresie nie dłuższym niż 10 lat.
Sprawdzenie dokumentów
7.2.2. Zarządzający lasami dużych i średnich: uaktualnienia planu urządzenia lasu
dokonywane są według obowiązujących w kraju procedur oraz uwzględniają
zmieniające się uwarunkowania leśne, środowiskowe, społeczne i ekonomiczne.
Sprawdzenie dokumentów
7.2.3. Zarządzający lasami o niewielkiej powierzchni lub niskiej intensywności użytkowania:
rewizje planów urządzenia lasu dokonywane są według obowiązujących w kraju
procedur.
Sprawdzenie dokumentów
7.3.1. Zarządzający lasami dużych i średnich: pracownicy będą posiadać odpowiednie
kwalifikacje - najlepiej uznane w skali krajowej – gwarantujące, że są oni w stanie
planować i organizować działania gospodarcze oraz realizować inne założenia planu
urządzenia lasu.
Wywiad z pracownikami, sprawdzenie kwalifikacji
7.3.2. Zarządzający lasami dużych i średnich posiadają plan szkoleń pracowników.
Sprawdzenie dokumentów, wywiad z pracownikami
7.3.3. Zarządzający lasami dużych i średnich: pracownicy zostali przeszkoleni w zakresie
zagadnień związanych z różnorodnością biologiczną.
Wywiad z pracownikami
7.3.4. Wszystkie prace wykonywane przez pracowników i podwykonawców są
nadzorowane i wykonywane zgodnie z treścią planów urządzania lasu oraz
elementów wprowadzonych w trakcie uaktualnień.
7.4. Uwzględniając poufność
informacji, gospodarze lasu
udostępnią opinii publicznej
podsumowanie
podstawowych elementów
planu urządzenia lasu, z
uwzględnieniem tych,
ujętych w kryterium 7.1
Wywiad z pracownikami, sprawdzenie dokumentów
Patrz także 4.1
7.4.1. Zarządzający lasami o dużej powierzchni udostępniają publicznie streszczenia
(podsumowania) planów urządzenia uwzględniające elementy opisane w kryterium
7.1. Streszczenia są dostępne w wersji drukowanej lub na stronach internetowych.
Sprawdzenie dostępności streszczeń
7.4.2. Zarządzający lasami o niewielkiej powierzchni lub niskiej intensywności użytkowania
oraz średniej powierzchni umożliwiają dostęp do odpowiednich części planów
urządzenia lasu stronom zainteresowanym, mającym interes w działaniach
gospodarczych na terenie lasu (właściciele gruntów przyległych, lokalni mieszkańcy).
Wywiad z zainteresowanymi
SmartWood Polska Przejściowy Standard Gospodarki Leśnej 15 września 2010
Page 19 of 54
ZASADA 8. MONITOROWANIE I OCENA
Należy prowadzić monitorowanie stosownie do zakresu i intensywności gospodarki leśnej w celu dokonania
oceny stanu lasu, ilości pozyskiwanych produktów leśnych, kontroli pochodzenia produktu, działań
gospodarczych oraz ich wpływu społecznego i środowiskowego.
Kryterium
8.1. Częstotliwość i
intensywność monitoringu
powinna zależeć od skali i
intensywności działań
gospodarczych oraz stopnia
złożoności i wrażliwości
środowiska, którego te
działania dotyczą. Procedury
monitorowania powinny być
spójne i powtarzalne tak, by
można było dokonywać
porównywania wyników i
oceny zmian.
8.2. W zakres gospodarki leśnej
powinno wchodzić
prowadzenie badań
naukowych i gromadzenie
danych, niezbędnych do
monitorowania przynajmniej
poniższych wskaźników:
ilości pozyskiwanych produktów,
wielkości przyrostu, odnowienia
oraz stanu lasu,
składu oraz obserwowanych
zmian w faunie i florze,
środowiskowego i społecznego
oddziaływania procesu
pozyskiwania drewna i innych
prac,
kosztów, produktywności oraz
wydajności gospodarki leśnej.
Wskaźniki
8.1.1. Zarządzający lasami o dużej i średniej powierzchni posiadają procedury monitoringu
wszystkich aspektów wymienionych w kryterium 8.2, pozwalających na porównanie
wyników i ocenę zmian.
Sprawdzenie dokumentów
8.1.2. Zarządzający lasami o niewielkiej powierzchni lub niskiej intensywności użytkowania
prowadzą monitoring przynajmniej w związku z operacjami pozyskania drewna i
zalesiania.
Sprawdzenie dokumentów
8.2.1. Zarządzający lasami o dużej i średniej powierzchni posiadają wdrożony plan
monitoringu, który pozwala na obserwowanie zmian:
a) tempa przyrostu, odnowienia, składu gatunkowego i struktury wiekowej zasobów
leśnych,
b) gospodarczego pozyskania niedrzewnych produktów leśnych, takich jak nasiona,
sadzonki, zwierzyna łowna, stroisz i choinki,
c) zmian środowiskowych, wpływających na florę, faunę, glebę, zasoby wodne
(erozja, gradacje szkodników, gatunki inwazyjne, miejsca gniazdowania
zagrożonych gatunków ptaków), patrz punkt 6.2.1.,
d) społeczno-gospodarczych aspektów (koszty gospodarki leśnej, ilości wszystkich
pozyskiwanych produktów, zmiany w relacjach społecznych i pracowniczych),
e) zidentyfikowanych obszarów leśnych o szczególnych walorach ochronnych.
Sprawdzenie dokumentów
8.2.2. Zarządzający lasami o niewielkiej powierzchni lub niskiej intensywności użytkowania
posiadają ewidencję pozyskiwanego drewna (mas i gatunków) w okresie
obowiązywania planu urządzenia lasu.
Sprawdzenie dokumentów
8.2.3. Zarządzający lasami o niewielkiej powierzchni lub niskiej intensywności użytkowania:
zapewnia się, że dane inwentaryzacyjne są regularnie aktualizowane wraz z
okresowym planem urządzenia lasu.
8.3. Gospodarz lasu udostępni
dokumentację, która
umożliwi organizacjom
monitorującym i
certyfikującym prześledzenie
drogi powstania każdego
produktu leśnego, czyli
procesu określanego
mianem kontroli
pochodzenia produktu.
Sprawdzenie dokumentów
8.3.1. Faktury, listy przewozowe oraz inne stosowne dokumenty związane z transportem
produktów leśnych są dostępne dla celów auditu.
Sprawdzenie dokumentów
8.3.2. W przypadku, gdy zarządzający prowadzi obrót drewnem lub innymi produktami
niecertyfikowanymi, certyfikowane produkty leśne wyróżniać będą odpowiednie
oznaczenia, osobne miejsca przechowywania oraz stosownie oznaczone faktury i
listy przewozowe.
Sprawdzenie dokumentów
8.3.3. Są wdrożone procedury zapewniające możliwość jasnego oznaczenia na fakturach i
dokumentach transportowych faktu certyfikacji wyrobów.
SmartWood Polska Przejściowy Standard Gospodarki Leśnej 15 września 2010
Page 20 of 54
Sprawdzenie dokumentów
8.3.4. Drewno pozyskane nielegalnie, które zostało skonfiskowane przez zarządzającego
lasem nie może być sprzedane jako certyfikowane.
8.4. Wyniki monitoringu zostaną
włączone w proces
wdrażania i rewizji planu
urządzenia lasu.
Sprawdzenie dokumentów, wywiady z pracownikami
odpowiedzialnymi za sprzedaż
8.4.1. Zarządzający lasami o dużej i średniej powierzchni: dane zebrane podczas
monitoringu wymaganego według wskaźnika 8.2.1. brane są pod uwagę podczas
uaktualnienia planu urządzenia lasu.
Sprawdzanie dokumentów
8.4.2. Zarządzający lasami o niewielkiej powierzchni lub niskiej intensywności użytkowania:
plan urządzenia lasu jest uaktualniany okresowo według krajowego prawa.
8.5. Uznając poufność informacji,
gospodarze lasu udostępnią
opinii publicznej
podsumowanie wyników
wskaźników monitorowania,
z uwzględnieniem tych,
ujętych w kryterium 8.2.
Sprawdzenie dokumentów
Patrz także kryterium 7.2
8.5.1. Zarządzający lasami o dużych powierzchniach: publikuje się ogólnie dostępne
podsumowanie wyników monitoringu (np. w internecie) uwzględniającego wskaźniki
opisane w kryterium 8.2.
Sprawdzenie dostępności dokumentów
8.5.2. Zarządzający lasami o niewielkiej powierzchni lub niskiej intensywności użytkowania
oraz średniej powierzchni: zarządzający udostępnia rezultaty monitoringu opisanego
we wskaźnikach 8.1.2., 8.2.2., 8.2.3. zainteresowanym, posiadającym interes w
działaniach gospodarczych na terenie lasu (właściciele gruntów przyległych, lokalni
mieszkańcy, przyrodnicy).
Wywiad z zainteresowanymi i zarządzającymi
SmartWood Polska Przejściowy Standard Gospodarki Leśnej 15 września 2010
Page 21 of 54
ZASADA 9. ZACHOWANIE LASÓW O SZCZEGÓLNEJ WARTOŚCI
Gospodarka leśna w lasach o szczególnej wartości ochronnej służy zachowaniu i wzmacnianiu cech
charakterystycznych dla tych lasów. Zasada zapobiegania zawsze jest wiodącą w procesie podejmowania
decyzji dotyczących lasów o szczególnej wartości.
Kryterium
9.1. Zostanie dokonana ocena
umożliwiająca stwierdzenie
występowania cech
świadczących o szczególnej
wartości lasów, stosownie
do skali i intensywności
działań gospodarczych w
lesie.
Wskaźniki
9.1.1. Zarządzający lasami o dużej i średniej powierzchni posiadają pisemne procedury
identyfikowania lasów o szczególnej wartości ochronnej, poprzedzane analizą ich
biologicznej wartości i walorów społeczno-kulturowych.
Sprawdzenie dokumentów
9.1.2. Zarządzający lasami o dużej i średniej powierzchni określili występowanie lasów o
szczególnych wartościach ochronnych zgodnie z dostępnymi kryteriami, uznanymi
przez FSC-Polska.
Sprawdzenie dokumentów
9.1.3. Zarządzający lasami o dużej i średniej powierzchni obszary określone jako
posiadające szczególne wartości, są zaznaczone na mapach.
Sprawdzenie map
9.1.4. Zarządzający lasami o niewielkiej powierzchni lub niskiej intensywności użytkowania:
została przeprowadzona ogólna ocena występowania lasów o szczególnych
wartościach zgodnie dostępnymi kryteriami uznanymi przez FSC-Polska, wraz z
analizą ich cech ochronnych.
9.2. Część konsultacyjna procesu
certyfikacyjnego musi
skoncentrować się na
zidentyfikowanych cechach,
świadczących o szczególnej
wartości lasu oraz na
alternatywnych sposobach
ich ochrony.
Wywiad z zarządzającym, sprawdzenie dokumentów
9.2.1. Zarządzający lasami o dużej powierzchni: w celu zidentyfikowania lasów o
szczególnej wartości ochronnej prowadzi się konsultacje z miejscowymi stronami
zainteresowanymi, uwzględniając przedstawicieli przyrodniczych organizacji
pozarządowych.
Sprawdzenie dokumentów, wywiad z zainteresowanymi
9.2.2. Zarządzający lasami o dużej powierzchni: proces konsultacji stron zainteresowanych
jest pisemnie udokumentowany.
Sprawdzenie dokumentów
9.2.3. Konsultacje ze stronami zainteresowanymi mają na celu dostosowanie działań
gospodarczych do wymogów ochrony wartości tych lasów.
9.3. Plan urządzenia lasu zawiera
konkretne wskazania,
gwarantujące zachowanie
i/lub poprawę określonych
walorów lasów o szczególnej
wartości ochronnej, w myśl
zasady zapobiegania.
Wskazania te zostaną
wdrożone w oparciu o plan
urządzenia lasu i
wyszczególnione w ramach
publicznie dostępnego
podsumowania tego planu.
9.4. Prowadzi się regularny
monitoring, mający na celu
ocenę efektywności
zastosowanych środków,
służących zachowaniu lub
Sprawdzenie dokumentów. Wizyty terenowe
9.3.1. Zarządzający lasami o dużej powierzchni: środki i działania służące ochronie,
zachowaniu i wzmacnianiu szczególnych wartości lasów są publicznie dostępne w
podsumowaniu planu urządzenia lasu.
Sprawdzenie dostępności sprawozdania
9.3.2. Zarządzający lasami o niewielkiej powierzchni lub niskiej intensywności użytkowania
oraz średniej powierzchni: udostępnia się na żądanie informacje na temat
stosowanych sposobów ochrony szczególnych wartości lasów.
Wywiad z zarządzającym i zainteresowanymi
9.3.3. Sposób gospodarowania w lasach o szczególnej wartości ochronnej podlega
zasadzie unikania działań mogących spowodować utratę tej wartości.
Wizyty terenowe, wywiad z zarządzającymi
9.4.1. Lasy o szczególnej wartości są monitorowane regularnie tak, by uniknąć działań,
które mogłyby zagrozić walorom tych lasów.
SmartWood Polska Przejściowy Standard Gospodarki Leśnej 15 września 2010
Sprawdzenie dokumentów
Page 22 of 54
poprawie stosownych
walorów lasów o szczególnej
wartości ochronnej.
9.4.2. Wartości warunkujące uznanie lasów za szczególne należy monitorować i analizować
poszerzając zakres działań wymienionych w kryterium 8.2. Monitoring umożliwia
ocenę negatywnych trendów.
Sprawdzenie dokumentów
Patrz także 8.2
SmartWood Polska Przejściowy Standard Gospodarki Leśnej 15 września 2010
Page 23 of 54
ZASADA 10. PLANTACJE
Plantacje należy planować i prowadzić zgodnie z Zasadami i Kryteriami 1-9, Zasadą 10 i jej kryteriami.
Plantacje mogą dostarczać szeregu korzyści społecznych i ekonomicznych oraz mogą się przyczyniać do
zaspokojenia światowego zapotrzebowania na produkty leśne. Plantacje powinny uzupełniać proces
gospodarowania lasami naturalnymi oraz promować odnowę i ochronę lasów naturalnych. Szkółki leśne,
plantacje nasienne i inne obszary dostarczające materiału koniecznego do utrzymania odnowienia lasu nie są
traktowane jako plantacje w myśl niniejszej zasady. Z uwagi na trwający obecnie proces rewizji
międzynarodowych standardów w zakresie Plantacji oraz kształtującą się nowa politykę międzynarodową
dotyczącą plantacji , wskaźniki do niżej wymienionych aktualnie obowiązujących kryteriów zostaną
opracowane w terminie późniejszym.
Kryterium
10.1. Cele gospodarcze plantacji,
w tym ochrona lasów
naturalnych, zostaną
wyraźnie określone w planie
urządzenia i wskazane w
trakcie wdrażania planu.
10.2. Plan i projekt plantacji
powinien promować ochronę
lasów naturalnych, a nie
zwiększać presję na lasy
naturalne. Przy
projektowaniu plantacji, w
zależności od skali działań
gospodarczych,
uwzględnione zostaną
korytarze dla zwierzyny,
strefy cieków wodnych oraz
mozaika drzewostanów
zróżnicowanych wiekowo
oraz pod względem okresów
rotacyjnych. Skala i układ
zespołu plantacji będą
zgodne z układem
drzewostanów leśnych,
występujących naturalnie.
Wskaźniki
10.1.1. Cel założenia każdej plantacji, a także cel zalesienia gruntu nieleśnego, jest jasno
określony.
Sprawdzenie celu założenia plantacji dla wybranych przypadków
10.2.1. Założone plantacje nie wpływają negatywnie na środowisko ani na lasy naturalne.
Analiza przypadków zakładania plantacji, o ile takie istnieją
10.2.2. Zalesienia gruntów porolnych nie wpływają negatywnie na środowisko ani na
różnorodność biologiczną.
Analiza wybranych zalesień - czy nie spowodowały zniszczenia cennych
przyrodniczych elementów nieleśnych. Wywiad ze stronami trzecimi
10.2.3. Zakładając zalesienia powinno się uwzględniać potrzebę odtworzenia korytarzy
ekologicznych dla gatunków nieleśnych.
Poszukiwanie przykładów zalesień tworzonych dla odbudowy korytarzy ekologicznych
10.2.4. Zakładając plantacje i zalesienia, uwzględniono konieczność ochrony i zachowania
przestrzeni i korytarzy ekologicznych dla gatunków nieleśnych, oczek wodnych i
bagienek, ich stref brzegowych, stref brzegowych cieków wodnych.
Analiza plantacji i wybranych zalesień. Wywiad ze stronami trzecimi
10.2.5. Zakładane plantacje ani zalesienia gruntów porolnych nie stanowią dysonansu w
krajobrazie naturalnym lub półnaturalnym.
10.3. Preferowane jest
zróżnicowanie w składzie
gatunkowym plantacji, co
umożliwia poprawę
stabilności ekonomicznej,
ekologicznej i społecznej.
Zróżnicowanie to może
przejawiać się poprzez
wielkość i przestrzenny
rozkład jednostek
gospodarowania lasami na
danym obszarze; liczbę i
skład gatunkowy, klasy
wiekowe i strukturę.
10.4. O wyborze gatunków na
plantację decyduje ich
właściwość względem
danego obszaru oraz ich
stosowność z perspektywy
Wizja terenowa wybranych zalesień. Wywiad ze stronami trzecimi
10.3.1. Wprowadza się zróżnicowanie składu i struktury plantacji oraz zalesień w
maksymalnym stopniu możliwym z punktu widzenia celu ich prowadzenia.
Analiza kształtowanego składu i struktury plantacji i zalesień
10.3.2. Monolityczne plantacje nie są zbyt duże.
Analiza wielkości plantacji, w aspekcie ich stabilności. Szczególna uwaga
powinna być zwrócona na plantacje > 10ha.
10.3.3. Skład gatunkowy zalesień wprowadzanych na grunty porolne zapewnia ich
stabilność.
Analiza kształtowanego składu zalesień w aspekcie późniejszej stabilności
powstających drzewostanów, z uwzględnieniem m.in. huby korzeniowej,
zagrożeń od innych grzybów i owadów, zagrożenia pożarowego itp.
10.4.1. Do uprawy wprowadza się tylko gatunki mogące trwale egzystować w lokalnych
warunkach przyrodniczych.
Analiza składu gatunkowego, ze szczególnym prześledzeniem każdego przypadku
zastosowania gatunku nierodzimego
SmartWood Polska Przejściowy Standard Gospodarki Leśnej 15 września 2010
Page 24 of 54
celów gospodarczych. Aby
poprawić ochronę
10.4.2. W składzie gatunkowym plantacji nie wprowadza się gatunków, które mogłyby
bioróżnorodności, przy
wykazywać tendencje inwazyjne.
tworzeniu plantacji oraz
Analiza składu gatunkowego, ze szczególnym prześledzeniem każdego
odnowie zdegradowanych
przypadku zastosowania gatunku nierodzimego
ekosystemów pierwszeństwo
mają gatunki rodzime.
10.4.3. W składzie gatunkowym zalesień nie wprowadza się gatunków obcego
Gatunki egzotyczne pochodzenia.
stosowane na plantacjach
wyłącznie wtedy, gdy ich
Analiza składu gatunkowego
oddziaływanie przewyższa
wpływ gatunków rodzimych
– są dokładnie monitorowane
w celu wykrycia
nadzwyczajnej śmiertelności,
epidemii chorobowych,
inwazji owadów oraz
negatywnych wpływów
ekologicznych.
10.5. Proporcja całkowitego
10.5.1. Powierzchnia plantacji nie przekracza 10% powierzchni leśnej.
obszaru podlegającego
Sprawdzenie powierzchni. Limit dotyczy tylko plantacji, a nie zalesień
działaniom gospodarczym,
stosowna do skali plantacji
oraz określona w
standardach regionalnych,
będzie zagospodarowana w
taki sposób, by przekształcić
siedlisko w naturalne
pokrycie leśne.
10.6. Podjęte zostaną działania
10.6.1. Plantacje ani zalesienia nie degradują gleby.
mające na celu zachowanie
Sprawdzenie plantacji pod kątem ich ew. wpływu na glebę. Sprawdzenie
bądź poprawę struktury
wybranych zalesień, zgodności ich składu gatunkowego z potencjalnym
glebowej, żyzności oraz
typem siedliskowym
biologicznej aktywności.
Techniki i tempo
10.6.2. Plantacje ani zalesienia nie degradują zasobów wodnych.
pozyskiwania drewna,
budowa dróg i szlaków oraz
Sprawdzenie plantacji i wybranych zalesień pod kątem wpływu stosowanych na nich
ich utrzymanie, a także
technologii prac na sąsiednie wody. Szczególną uwagę należy zwrócić na stosowanie
wybór gatunków nie
herbicydów, mechaniczne przygotowanie i utrzymanie gleby itp.
spowodują długookresowej
degradacji gleby, zmiany
jakości wody oraz ilości lub
znaczących odchyleń od
przyjętych norm
odwadniania cieków
wodnych.
10.7. Podjęte zostaną kroki
10.7.1. Plantacje są chronione przed pożarami i wszelkimi szkodami które mogłyby
mające na celu zapobieżenie
zniweczyć cel ich istnienia.
lub zminimalizowanie
możliwości inwazji
Analiza stosowanych sposobów ochrony. Analiza przypadków wystąpienia
szkodników, epidemii,
szkód, pod kątem możliwości ich uniknięcia
wybuchu pożarów lub
wprowadzania inwazyjnych
gatunków roślin.
Zintegrowany system
zwalczania szkodników
stanowić będzie zasadniczą
część planu urządzenia;
nacisk położony będzie na
metody zapobiegania i
kontroli biologicznej raczej
niż na walkę ze szkodnikami
za pomocą chemicznych
pestycydów i nawozów.
Zarządzający plantacjami
SmartWood Polska Przejściowy Standard Gospodarki Leśnej 15 września 2010
Page 25 of 54
dołożą wszelkich starań, aby
zminimalizować konieczność
używania pestycydów i
nawozów, również na
szkółkach. Kwestia użycia
substancji chemicznych
została również poruszona w
kryterium 6.6 i 6.7.
10.8. Stosownie do skali i
zróżnicowania działań
gospodarczych w lesie,
monitorowanie plantacji
obejmować będzie również
regularną ocenę
potencjalnego oddziaływania
ekologicznego i społecznego
w ramach plantacji i poza nią
(np. naturalne odnowienia,
wpływ na zasoby wodne,
wpływ na dobrobyt
społeczny). Ocena taka
stanowić będzie uzupełnienie
wskazań, zawartych w
zasadach 8, 6 i 4. Żadne
gatunki nie będą hodowane
na szeroka skalę bez
wcześniejszych prób i/lub
doświadczeń, które
potwierdzałyby ich
ekologiczne dostosowanie
do danego obszaru, brak
inwazyjności oraz brak
negatywnego, ekologicznego
oddziaływania na inne
ekosystemy. Szczególną
uwagę będzie się
przypisywać kwestiom
społecznym, związanym z
pozyskiwaniem terenów pod
plantację, zwłaszcza zaś
kwestiom ochrony
miejscowych praw
własności, użytkowania i
dostępu.
10.9. Plantacje utworzone na
obszarach przekształconych
z lasów naturalnych po
listopadzie 1994 normalnie
nie są dopuszczane do
certyfikacji. Certyfikacja
może jednak nastąpić pod
warunkiem, że istnieje
wystarczający dowód,
przedłożony organowi
certyfikującemu, że
gospodarz/właściciel nie jest
bezpośrednio ani pośrednio
odpowiedzialny za takie
przekształcenie.
10.8.1. Ilość i rodzaje pozyskiwanych produktów, wielkość przyrostu lub produkcji na
plantacjach oraz stan plantacji są regularnie obserwowane.
Sprawdzenie istnienia odpowiednich danych
10.9.1. Nie tworzy się nowych plantacji kosztem lasów naturalnych ani półnaturalnych.
SmartWood Polska Przejściowy Standard Gospodarki Leśnej 15 września 2010
Sprawdzenie dat i miejsc założenia plantacji
Page 26 of 54
Załącznik 1: Wykaz państwowych i lokalnych przepisów administracyjnych oraz
obowiązującego prawa, które mają zastosowanie w Polsce.
Przepisy prawne w odniesieniu do gospodarki leśnej:
KONSTYTUCJA Rzeczypospolitej Polskiej z dnia 2 kwietnia 1997 roku (Dz.U. nr 78, poz. 483 z 2001 r. Nr 28, poz. 319, z 2006
r. Nr 200, poz. 1471, z 2009 r, Nr 114, poz. 946)
Ustawy:
USTAWA z dnia 14 czerwca 1960 r. Kodeks postępowania administracyjnego. Dz.U. z 2000 r. Nr 98, poz. 1071, z 2001 r. Nr
49, poz. 509, z 2002 r. Nr 113, poz. 984, Nr 153, poz. 1271, Nr 169, poz. 1387, z 2003 r. Nr 130, poz. 1188, Nr 170, poz. 1660,
z 2004 r. Nr 162, poz. 1692, z 2005 r. Nr 64, poz. 565, Nr 78, poz. 682, Nr 181, poz. 1524, z 2008 r. Nr 229, poz. 1539.
USTAWA z dnia 23 kwietnia 1964 r. Kodeks cywilny. (Dz. U. z 1964 r. Nr 16, poz. 93, z 1971 r. Nr 27, poz. 252, z 1976 r. Nr 19,
poz. 122, z 1982 r. Nr 11, poz. 81, Nr 19, poz. 147, Nr 30, poz. 210, z 1984 r. Nr 45, poz. 242, z 1985 r. Nr 22, poz. 99; z 1989 r. Nr 3,
poz. 11, z 1990 r. Nr 34, poz. 198, Nr 55, poz. 321, Nr 79, poz. 464, z 1991 r. Nr 107, poz. 464, Nr 115, poz. 496, z
1993 r. Nr 17, poz. 78, z 1994 r. Nr 27, poz. 96, Nr 85, poz. 388, Nr 105, poz. 509, z 1995 r. Nr 83, poz. 417, z 1996 r. Nr 114,
poz. 542, Nr 139, poz. 646, Nr 149, poz. 703, z 1997 r. Nr 43, poz. 272, Nr 115, poz. 741, Nr 117, poz. 751, z 1998 r. Nr 106,
poz. 668, Nr 117, poz. 758, z 1999 r. Nr 52, poz. 532, z 2000 r. Nr 22, poz. 271, Nr 74, poz. 855 i 857, Nr 88, poz. 983, Nr 114,
poz. 1191, z 2001 r. Nr 11, poz. 91, Nr 71, poz. 733; Nr 130, poz. 1450, Nr 145, poz. 1638 z 2002 r. Nr 113, poz. 984, Nr 141,
poz. 1176, z 2003 r. Nr 49, poz. 408, Nr 60, poz. 535, Nr 64, poz. 592, Nr 124, poz. 1151, z 2004 r. Nr 91, poz. 870, Nr 96,
poz. 959, Nr 162, poz. 1692, Nr 172, poz. 1804, Nr 281, poz. 2783, z 2005 r. Nr 48, poz. 462, Nr 157, poz. 1316, Nr 172, poz.
1438, z 2006 r. Nr 133, poz. 935, Nr 164, poz. 1166, z 2007 r. Nr 80, poz. 538, Nr 82, poz. 557, Nr 181, poz. 1287, z 2008 r. Nr
116, poz. 731, Nr 163, poz. 1012, Nr 220, poz. 1425 i 1431, Nr 228, poz. 1506, z 2009 r. Nr 42, poz. 341, Nr 79, poz. 662, Nr
131, poz. 1075)
USTAWA z dnia 26 czerwca 1974 r. Kodeks pracy. (Dz. U. z 1998 r. Nr 21, poz. 94, Nr 106, poz. 668, Nr 113, poz. 717, z 1999
r. Nr 99, poz. 1152, z 2000 r. Nr 19, poz. 239, Nr 43, poz. 489, Nr 107, poz. 1127, Nr 120, poz. 1268, z 2001 r. Nr 11, poz. 84,
Nr 28, poz. 301, Nr 52, poz. 538, Nr 99, poz. 1075, Nr 111, poz. 1194, Nr 123, poz. 1354, Nr 128, poz. 1405, Nr 154, poz.
1805, z 2002 r. Nr 74, poz. 676, Nr 135, poz. 1146, Nr 196, poz. 1660, Nr 199, poz. 1673, Nr 200, poz. 1679, z 2003 r. Nr 166,
poz. 1608, Nr 213, poz. 2081, z 2004 r. Nr 96, poz. 959, Nr 99, poz. 1001, Nr 120, poz. 1252, Nr 240, poz. 2407, z 2005 r. Nr
10, poz. 71, Nr 68, poz. 610, Nr 86, poz. 732, Nr 167, poz. 1398, z 2006 r. Nr 104, poz. 708 i 711, Nr 133, poz. 935, Nr 217,
poz. 1587, Nr 221, poz. 1615, z 2007 r. Nr 64, poz. 426, Nr 89, poz. 589, Nr 176, poz. 1239, Nr 181, poz. 1288, Nr 225, poz.
1672, z 2008 r. Nr 93, poz. 586, Nr 223, poz. 1460, Nr 237, poz. 1654, z 2009 r. Nr 6. poz. 33, Nr 56, poz. 458, Nr 58, poz.
485, Nr 98, poz. 817, Nr 99, poz. 825, Nr 115, poz. 958, Nr 157, poz. 1241)
USTAWA z dnia 6 marca 1981 r. o Państwowej Inspekcji Pracy. (Dz. U. Nr 54 poz. 276)
USTAWA z dnia 21 marca 1985 r. o drogach publicznych (Dz. U. z 2004 r. Nr 204, poz. 2086, Nr 273, poz. 2703, z 2005 r. Nr
163, poz. 1362 i 1364, Nr 169, poz. 1420, Nr 172, poz. 1440 i 1441, Nr 179, poz. 1486, z 2006 r. Nr 104, poz. 708 i 711, Nr
170, poz. 1217)
USTAWA z dnia 18 kwietnia 1985 r. o rybactwie śródlądowym. (Dz. U. z 1999 r. Nr 66, poz. 750, z 2000 r. Nr 120, poz. 1268,
z 2001 r. Nr 81, poz. 875, Nr 110, poz. 1189, Nr 115, poz. 1229, z 2004 r. Nr 92, poz. 880, z 2005 r. Nr 130, poz. 1087, Nr 175,
poz. 1462, z 2007 r. Nr 21, poz. 125, z 2009 r. Nr 92, poz. 753)
USTAWA z dnia 17 maja 1989 r. Prawo geodezyjne i kartograficzne. (Dz. U. z 2005 r. Nr 240, poz. 2027, z 2006 r. Nr 170, poz.
1217, z 2007 r. Nr 21, poz. 125, z 2008 r. Nr 201, poz. 1237, Nr 227, poz. 1505, z 2009 r. Nr 31, poz. 206, Nr 42, poz. 334, Nr
98, poz. 817, Nr 157, poz. 1241)
USTAWA z dnia 20 lipca 1991 r. o Inspekcji Ochrony Środowiska. Dz. U. z 2002 r. Nr 112, poz. 982, Nr 113, poz. 984, Nr 153,
poz. 1271, z 2003 r. Nr 170, poz. 1652, Nr 190, poz. 1865, Nr 217, poz. 2124, z 2004 r. Nr 121, poz. 1263, Nr 191, poz. 1956,
Nr 273, poz. 2703, Nr 281, poz. 2784, z 2005 r. Nr 25, poz. 202, Nr 113, poz. 954, Nr 163, poz. 1362, Nr 180, poz. 1495, z
2006 r. Nr 50, poz. 360, Nr 169, poz. 1200, Nr 170, poz. 1217, Nr 249, poz. 1834)
USTAWA z dnia 24 sierpnia 1991 r. o ochronie przeciwpożarowej. (Dz. U. z 2002 r. Nr 147, poz. 1229, z 2003 r. Nr 52, poz.
452, z 2004 r. Nr 96, poz. 959, z 2005 r. Nr 100, poz. 835 i 836, z 2006 r. Nr 191, poz. 1410, z 2007 r. Nr 89, poz. 590, z 2008
r. Nr 163, poz. 1015, z 2009 r. Nr 11, poz. 59)
USTAWA z dnia 28 września 1991 r. o lasach (Dz. U. z 2005 r. Nr 45, poz. 435, Nr 157, poz. 1315, Nr 167, poz. 1399, Nr 175,
poz. 1460 i 1462, z 2006 r. Nr 227, poz. 1658, Nr 245, poz. 1775, z 2007 r. Nr 59, poz. 405, Nr 64, poz. 427, Nr 181, poz.
1286, z 2008 r. Nr 163, poz. 1011, Nr 199, poz. 1227, z 2009 r. Nr 18, poz. 97, Nr 42, poz. 340, Nr 69, poz. 595, Nr 92, poz.
753)
USTAWA z dnia 19 października 1991 r. o gospodarowaniu nieruchomościami rolnymi Skarbu Państwa (Dz. U. z 2004 r. Nr
SmartWood Polska Przejściowy Standard Gospodarki Leśnej 15 września 2010
Page 27 of 54
208, poz. 2128, Nr 281, poz. 2772, z 2005 r. Nr 132, poz. 1110, Nr 163, poz. 1362, Nr 167, poz. 1398, Nr 169, poz. 1420, Nr
175, poz. 1459, z 2006 r. Nr 104, poz. 708, Nr 141, poz. 997, Nr 170, poz. 1217, Nr 195, poz. 1437, Nr 249, poz. 1832, z 2007
r. Nr 35, poz. 218, Nr 123, poz. 851, Nr 173, poz. 1219)
USTAWA z dnia 4 lutego 1994 r. Prawo geologiczne i górnicze. (Dz.U. z 2005 r. Nr 228, poz. 1947, z 2006 r. Nr 133, poz. 934,
Nr 170, poz. 1217, Nr 190, poz. 1399, Nr 249, poz. 1834, z 2007 r. Nr 21, poz. 125, Nr 82, poz. 556, z 2008 r. Nr 138, poz.
865, Nr 154, poz. 958, Nr 199, poz. 1227, Nr 227, poz. 1505, z 2009 r. Nr 18, poz. 97)
USTAWA z dnia 7 lipca 1994 r. Prawo budowlane. (Dz. U. z 2006 r. Nr 156, poz. 1118, Nr 170, poz. 1217, z 2007 r. Nr 88, poz.
587, Nr 99, poz. 665, Nr 127, poz. 880, Nr 191, poz. 1373, Nr 247, poz. 1844, z 2008 r. Nr 123, poz. 803, Nr 145, poz. 914, Nr
199, poz. 1227, Nr 206, poz. 1287, Nr 210, poz. 1321, Nr 227, poz. 1505, z 2009 r. Nr 18, poz. 97, Nr 31, poz. 206)
USTAWA z dnia 3 lutego 1995 r. o ochronie gruntów rolnych i leśnych. (Dz. U. z 2004 r. Nr 121, poz. 1266 oraz z 2005 r. Nr
175, poz. 1462, z 2006 r. Nr 12, poz. 63, z 2007 r. Nr 75, poz. 493, Nr 80, poz. 541, Nr 191, poz. 1374, z 2008 r. Nr 237, poz.
1657, z 2009 r. Nr 1, poz. 3)
USTAWA z dnia 12 lipca 1995 r. o ochronie roślin uprawnych (Dz. U. z 2002 r. Nr 171 poz.1398 - tekst jednolity)***
USTAWA z dnia 13 października 1995 r. Prawo łowieckie. (Dz. U. z 2005 r. Nr 127, poz. 1066 i Nr 175, poz. 1462, z 2006 r. Nr
220, poz. 1600, z 2007 r. Nr 176, poz. 1238, z 2008 r. Nr 201, poz. 1237, z 2009 r. Nr 92, poz. 753)
USTAWA z dnia 25 kwietnia 1996 r. o zmianie ustawy o gospodarowaniu nieruchomościami rolnymi Skarbu Państwa (Dz. U.
Nr 18, poz. 82)
USTAWA z dnia 21 sierpnia 1997 r. o ochronie zwierząt. (Dz. U. Nr 111 poz. 724, Dz. U. z 2003 r. Nr 106, poz. 1002, z 2004 r.
Nr 69, poz. 625, Nr 92, poz. 880, Nr 96, poz. 959, z 2005 r. Nr 33, poz. 289, Nr 175, poz. 1462, z 2006 r. Nr 249, poz. 1830, z
2008 r. Nr 199, poz. 1227, z 2009 r. Nr 18, poz. 97, Nr 79, poz. 668, Nr 92, poz. 753.)
USTAWA z dnia 22 stycznia 1999 r. o ochronie informacji niejawnych. (Dz. z 2005 r. Nr 196, poz. 1631, z 2006 r. Nr 104, poz.
708 i 711, Nr 149, poz. 1078, Nr 218, poz. 1592, Nr 220, poz. 1600, z 2007 r. Nr 25, poz. 162)
USTAWA z dnia 26 lipca 2000 r. o nawozach i nawożeniu. (Dz. U. Nr 89, poz. 991)***
USTAWA z dnia 27 kwietnia 2001 r. o odpadach. (Dz. U. z 2007 r. Nr 39, poz. 251, Nr 88, poz. 587, z 2008 r. Nr 138, poz. 865,
Nr 199, poz. 1227, Nr 223, poz. 1464, z 2009 r. Nr 18, poz. 97, Nr 79, poz. 666.)
USTAWA z dnia 27 kwietnia 2001 r. Prawo ochrony środowiska, (Dz. U. z 2008 r. Nr 25, poz. 150, Nr 111, poz. 708, Nr 138,
poz. 865, Nr 154, poz. 958, Nr 171, poz. 1056, Nr 199, poz. 1227, Nr 223, poz. 1464, Nr 227, poz. 1505, z 2009 r. Nr 19, poz.
100, Nr 20, poz. 106, Nr 79, poz. 666, Nr 130, poz. 1070)
USTAWA z dnia 7 czerwca 2001 r. o leśnym materiale rozmnożeniowym. (Dz. U. Nr 73, poz. 761, z 2004 r. Nr 96, poz. 959, z
2005 r. Nr 64, poz. 565)
USTAWA z dnia 8 czerwca 2001 r. o przeznaczeniu gruntów rolnych do zalesienia (Dz. U. Nr 73 poz. 764, z 2003 r. Nr 46, poz.
392)
USTAWA z dnia 6 lipca 2001 r. o ustanowieniu programu wieloletniego "Program dla Odry - 2006". (Dz. U. Nr 98, poz. 1067)
USTAWA z dnia 6 lipca 2001 r. o zachowaniu narodowego charakteru strategicznych zasobów naturalnych kraju. (Dz. U. Nr
97, poz. 1051, z 2003r. Dz. U. Nr 113, poz. 1068)
USTAWA z dnia 18 lipca 2001 r. Prawo wodne, tekst jednolity z uwzględnieniem ustawy zmieniającej z 3.06.2005 (Dz. U. z
2005 r. Nr 239, poz. 2019, Nr 267, poz. 2255, z 2006 r. Nr 170, poz. 1217, Nr 227, poz. 1658, z 2007 r. Nr 21, poz. 125, Nr 64,
poz. 427, Nr 75, poz. 493, Nr 88, poz. 587, Nr 147, poz. 1033, Nr 176, poz. 1238, Nr 181, poz. 1286, Nr 231, poz. 1704, z
2008 r. Nr 199, poz. 1227, Nr 227, poz. 1505)
USTAWA z dnia 27 lipca 2001 r. o wprowadzeniu ustawy - Prawo ochrony środowiska, ustawy o odpadach oraz o zmianie
niektórych ustaw. (Dz. U. Nr 100, poz. 1085)
USTAWA z dnia 6 września 2001 r. o dostępie do informacji publicznej. (Dz. U. Nr 112, poz. 1198, z 2002 r. Nr 153, poz.
1271, z 2004 r. Nr 240, poz. 2407, z 2005 r. Nr 64, poz. 565 i Nr 132, poz. 1110)
USTAWA z dnia 30 października 2002 r. o podatku leśnym. (Dz. U. Nr 200, poz. 1682, Nr 216, poz. 1826)
USTAWA z dnia 19 grudnia 2002 r. o zmianie ustawy o odpadach oraz niektórych innych ustaw (Dz. U. z 2003 r. Nr 7, poz.
SmartWood Polska Przejściowy Standard Gospodarki Leśnej 15 września 2010
Page 28 of 54
78)
USTAWA z dnia 14 lutego 2003 r. o zmianie ustawy o przeznaczeniu gruntów rolnych do zalesienia oraz ustawy - Prawo
ochrony środowiska (Dz. U. Nr 46, poz. 392)
USTAWA z dnia 27 marca 2003 r. o planowaniu i zagospodarowaniu przestrzennym (Dz. U. Nr 80, poz. 717)
USTAWA z dnia 10 kwietnia 2003 r. o szczególnych zasadach przygotowania i realizacji inwestycji w zakresie dróg krajowych
(Dz. U. Nr 80, poz. 721)
USTAWA z dnia 26 czerwca 2003 r. o nasiennictwie (Dz. U. z 2007 r. Nr 41, poz. 271, Nr 80, 541, Nr 191, poz. 1362, z 2009 r.
Nr 69, poz. 591, Nr 98, poz. 817)
USTAWA z dnia 26 czerwca 2003 r. o ochronie prawnej odmian roślin (Dz. U. Nr 137, poz. 1300)
USTAWA z dnia 28 listopada 2003 r. o wspieraniu rozwoju obszarów wiejskich ze środków pochodzących z Sekcji Gwarancji
Europejskiego Funduszu Orientacji i Gwarancji Rolnej (Dz. U. Nr 229, poz. 2273)
USTAWA z dnia 18 grudnia 2003 r. o ochronie roślin (Dz. U. z 2004 r. Nr 11, poz. 94)
USTAWA z dnia 29 stycznia 2004 r. Prawo zamówień publicznych (Dz. U. Nr 19, poz. 177)
USTAWA z dnia 31 marca 2004 r. o klasyfikacji drewna surowego nieobrobionego (Dz. U. Nr 93, poz. 886)***
USTAWA z dnia 2 kwietnia 2004 r. o zmianie ustawy o nawozach i nawożeniu (Dz. U. Nr 91, poz. 876)***
USTAWA z dnia 16 kwietnia 2004 r. o ochronie przyrody (Dz. U. z 2009 r. Nr 151, poz.
1220)
USTAWA z dnia 20 kwietnia 2004 r. o rolnictwie ekologicznym (Dz. U. Nr 93, poz. 898, z 2007 r. Nr 80, poz. 541, Nr 147, poz.
1033)
USTAWA z dnia 17 grudnia 2004 r. o rejestracji i ochronie nazw i oznaczeń produktów rolnych i środków spożywczych oraz o
produktach tradycyjnych (Dz. U. z 2005 r. Nr 10, poz. 68)
USTAWA z dnia 13 kwietnia 2007 r. o Państwowej Inspekcji Pracy (Dz. U. Nr 89, poz. 589, z 2008 r. Nr 237, poz. 1656, z 2009
r. Nr 6, poz. 33, Nr 20, poz. 106)
Ustawa z dnia 13 kwietnia 2007 r. o zapobieganiu szkodom w środowisku i ich naprawie (Dz. U. Nr 75, poz.493)
USTAWA z dnia 10 lipca 2007 r. o nawozach i nawożeniu. (Dz. U. Nr 147, poz. 1033)
USTAWA z dnia 12 czerwca 2008 r. uchylająca ustawę o klasyfikacji drewna surowego nieobrobionego (Dz. U. Nr 138, poz.
863)
Rozporządzenia Rady Ministrów
ROZPORZĄDZENIE RADY MINISTRÓW z dnia 2 września 1997 r. w sprawie służby bezpieczeństwa i higieny pracy. (Dz. U. Nr
109 poz. 704.)
ROZPORZĄDZENIE RADY MINISTRÓW z dnia 28 lipca 1998 r. w sprawie ustalania okoliczności i przyczyn wypadków przy
pracy oraz sposobu ich dokumentowania, a także zakresu informacji zamieszczanych w rejestrze wypadków przy pracy. (Dz.
U. Nr 115, poz. 744)
ROZPORZĄDZENIE RADY MINISTRÓW z dnia 4 grudnia 2002 r. w sprawie gatunków zwierząt chronionych wyrządzających
szkody, za które odpowiada Skarb Państwa. (Dz. U. Nr 205, poz. 1732)
ROZPORZĄDZENIE RADY MINISTRÓW z dnia 10 grudnia 2002 r. w sprawie przebiegu granic obszarów dorzeczy,
przyporządkowania zbiorników wód podziemnych do właściwych obszarów
ROZPORZĄDZENIE RADY MINISTRÓW z dnia 17 grudnia 2002 r. w sprawie śródlądowych wód powierzchniowych lub ich
części stanowiących własność publiczną (Dz. U. z 2003 r. Nr 16, poz. 149)
ROZPORZĄDZENIE RADY MINISTRÓW z dnia 23 grudnia 2002 r. w sprawie wysokości opłat rocznych za oddanie w
użytkowanie gruntów pokrytych wodami. (Dz. U. Nr 239, poz. 2036)
SmartWood Polska Przejściowy Standard Gospodarki Leśnej 15 września 2010
Page 29 of 54
ROZPORZĄDZENIE RADY MINISTRÓW z dnia 29 czerwca 2004 r. zmieniające rozporządzenie w sprawie szczegółowych
warunków i trybu udzielania pomocy finansowej na wspieranie działalności rolniczej na obszarach o niekorzystnych
warunkach gospodarowania objętej planem rozwoju obszarów wiejskich (Dz. U. Nr 158, poz. 1652)
ROZPORZĄDZENIE RADY MINISTRÓW z dnia 20 lipca 2004 r. w sprawie szczegółowych warunków i trybu udzielania pomocy
finansowej na wspieranie przedsięwzięć rolnośrodowiskowych i poprawy dobrostanu zwierząt objętej planem rozwoju
obszarów wiejskich (Dz. U. Nr 174, poz. 1809)
ROZPORZĄDZENIE RADY MINISTRÓW z dnia 24 sierpnia 2004 r. w sprawie szczegółowych warunków i trybu udzielania
pomocy finansowej na pomoc techniczną dla jednostek organizacyjnych i organów realizujących zadania związane z
rozwojem obszarów wiejskich (Dz. U. Nr 198, poz. 2036)
ROZPORZĄDZENIE RADY MINISTRÓW z dnia 2 listopada 2004 r. zmieniające rozporządzenie w sprawie służby
bezpieczeństwa i higieny pracy (Dz. U. Nr 246, poz. 2468)
ROZPORZĄDZENIE RADY MINISTRÓW z dnia 9 listopada 2004 r. w sprawie określenia rodzajów przedsięwzięć mogących
znacząco oddziaływać na środowisko oraz szczegółowych uwarunkowań związanych z kwalifikowaniem przedsięwzięcia do
sporządzenia raportu o oddziaływaniu na środowisko (Dz. U. Nr 257, poz. 2573)
ROZPORZĄDZENIE RADY MINISTRÓW z dnia 18 stycznia 2006 r. w sprawie wysokości opłat rocznych za oddanie w
użytkowanie gruntów pokrytych wodami (Dz. U. Nr 13, poz. 90)
ROZPORZĄDZENIE RADY MINISTRÓW z dnia 27 czerwca 2006 r. w sprawie przebiegu granic obszarów dorzeczy i regionów
wodnych (Dz. U. Nr 126, poz. 878)
ROZPORZĄDZENIE RADY MINISTRÓW z dnia 23 listopada 2006 r. zmieniające rozporządzenie w sprawie ustalania
okoliczności i przyczyn wypadków przy pracy oraz sposobu ich dokumentowania, a także zakresu informacji zamieszczanych
w rejestrze wypadków przy pracy (Dz. U. Nr 215, poz. 1582)
Rozporządzenia Ministrów
ROZPORZĄDZENIE MINISTRA OCHRONY ŚRODOWISKA, ZASOBÓW NATURALNYCH I LEŚNICTWA z dnia 25 sierpnia
1992 r. w sprawie szczegółowych zasad i trybu uznawania lasów za ochronne oraz szczegółowych zasad prowadzenia w nich
gospodarki leśnej. (Dz. U. z dnia 7 września 1992 r.; nr 67 poz. 337.)
ROZPORZĄDZENIE MINISTRA OCHRONY ŚRODOWISKA, ZASOBÓW NATURALNYCH I LEŚNICTWA z dnia 29 listopada
1995 r. w sprawie bezpieczeństwa i higieny pracy przy wykonywaniu prac z zakresu gospodarki leśnej (Dz. U. Nr 147, poz. 716)
ROZPORZĄDZENIE MINISTRA OCHRONY ŚRODOWISKA, ZASOBÓW NATURALNYCH I LEŚNICTWA z dnia 28 grudnia
1998 r. w sprawie szczegółowych zasad sporządzania planu urządzenia lasu, uproszczonego planu urządzenia lasu oraz inwentaryzacji
stanu lasu. (Dz. U. z 1999 r. Nr 3, poz. 16)
ROZPORZĄDZENIE MINISTRA OCHRONY ŚRODOWISKA, ZASOBÓW NATURALNYCH I LEŚNICTWA z dnia 28 grudnia
1998 r. w sprawie szczegółowych zasad ochrony i zbioru płodów runa leśnego oraz zasad lokalizowania pasiek na obszarach leśnych.
(Dz. U. z 1999 r. Nr 6, poz. 42)
ROZPORZĄDZENIE MINISTRA OCHRONY ŚRODOWISKA, ZASOBÓW NATURALNYCH I LEŚNICTWA z dnia 16 sierpnia
1999 r. w sprawie szczegółowych zasad zabezpieczenia przeciwpożarowego lasów. (Dz. U. Nr 73, poz. 824)***
ROZPORZĄDZENIE MINISTRA ŚRODOWISKA z dnia 20 lutego 2001 r. w sprawie określenia wzoru publicznie dostępnego
wykazu danych o dokumentach zawierających informacje o środowisku i jego ochronie. (Dz. U. Nr 15, poz. 164)
ROZPORZĄDZENIE MINISTRA ŚRODOWISKA z dnia 14 sierpnia 2001 r. w sprawie określenia rodzajów siedlisk podlegających
ochronie (Dz. U. Nr 92, poz. 1092)
ROZPORZĄDZENIE MINISTRA ŚRODOWISKA z dnia 27 września 2001 r. w sprawie katalogu odpadów. (Dz. U. Nr 112, poz.
1206)
ROZPORZĄDZENIE MINISTRA ŚRODOWISKA z dnia 9 listopada 2001 r. w sprawie stwierdzania kwalifikacji w zakresie
gospodarowania odpadami. (Dz. U. Nr 140, poz. 1584)
ROZPORZĄDZENIE MINISTRA ŚRODOWISKA z dnia 27 lutego 2002 r. w sprawie zezwoleń na przewożenie przez granicę
państwa określonych roślin i zwierząt. (Dz. U. Nr 39, poz. 357)
ROZPORZĄDZENIE MINISTRA ŚRODOWISKA z dnia 20 czerwca 2002 r. w sprawie jednorazowego odszkodowania za
przedwczesny wyrąb drzewostanu. (Dz. U. Nr 99, poz. 905)
SmartWood Polska Przejściowy Standard Gospodarki Leśnej 15 września 2010
Page 30 of 54
ROZPORZĄDZENIE MINISTRA ŚRODOWISKA z dnia 26 czerwca 2002 r. w sprawie wzorów wykazów zawierających informacje
i dane o zakresie korzystania ze środowiska i sposobu ich przedstawiania. (Dz. U. Nr 100, poz. 920; zm. Dz. U. Nr 113, poz. 1075 z
2003)
ROZPORZĄDZENIE MINISTRA ŚRODOWISKA z dnia 9 września 2002 r. w sprawie opracowań ekofizjograficznych. (Dz. U. Nr
155, poz. 1298)
ROZPORZĄDZENIE MINISTRA ŚRODOWISKA z dnia 9 września 2002 r. w sprawie standardów jakości gleby oraz standardów
jakości ziemi. (Dz. U. Nr 165, poz. 1359)
ROZPORZĄDZENIE MINISTRA ŚRODOWISKA z dnia 24 września 2002 r. w sprawie zakresu wykroczeń, za które uprawnieni
pracownicy Lasów Państwowych, pracownicy parków narodowych oraz strażnicy łowieccy są upoważnieni do nakładania grzywien w
drodze mandatu karnego. (Dz. U. Nr 174, poz. 1432)
ROZPORZĄDZENIE MINISTRA ŚRODOWISKA z dnia 6 listopada 2002 r. w sprawie metodyk referencyjnych badania stopnia
biodegradacji substancji powierzchniowoczynnych zawartych w produktach, których stosowanie może mieć wpływ na
jakość wód. (Dz. U. Nr 196, poz. 1658)
ROZPORZĄDZENIE MINISTRA ŚRODOWISKA z dnia 12 listopada 2002 r. w sprawie rocznych planów łowieckich i wieloletnich
łowieckich planów hodowlanych. (Dz. U. Nr 194, poz. 1640)
ROZPORZĄDZENIE MINISTRA ŚRODOWISKA z dnia 27 listopada 2002 r. w sprawie wymagań, jakim powinny odpowiadać
wody powierzchniowe wykorzystywane do zaopatrzenia ludności w wodę przeznaczoną do spożycia. (Dz. U. Nr 204, poz.
1728)
ROZPORZĄDZENIE MINISTRA ŚRODOWISKA z dnia 9 grudnia 2002 r. w sprawie zakresu, czasu, sposobu oraz warunków
prowadzenia monitoringu składowisk odpadów. (Dz. U. Nr 220, poz. 1858)
ROZPORZĄDZENIE MINISTRA ŚRODOWISKA z dnia 23 grudnia 2002 r. w sprawie kryteriów wyznaczania wód wrażliwych na
zanieczyszczenie związkami azotu ze źródeł rolniczych. (Dz. U. Nr 241, poz. 2093)
ROZPORZĄDZENIE MINISTRA ŚRODOWISKA z dnia 23 grudnia 2002 r. w sprawie szczegółowych wymagań, jakim powinny
odpowiadać programy działań mających na celu ograniczenie odpływu azotu ze źródeł rolniczych (Dz. U. z 2003 r. Nr 4, poz. 44)
ROZPORZĄDZENIE MINISTRA ŚRODOWISKA z dnia 14 stycznia 2003 r. w sprawie stanowisk, stopni służbowych oraz zasad
wynagradzania w Służbie Leśnej (Dz. U. Nr 11, poz. 123)
ROZPORZĄDZENIE MINISTRA ŚRODOWISKA z dnia 25 lutego 2003 r. w sprawie stawek opłat za udostępnianie informacji o
środowisku i jego ochronie oraz sposobu uiszczania opłat (Dz. U. Nr 50, poz. 435)
ROZPORZĄDZENIE MINISTRA ŚRODOWISKA z dnia 14 kwietnia 2003 r. w sprawie wzorów wniosków o wydanie świadectwa
pochodzenia leśnego materiału rozmnożeniowego (Dz. U. Nr 86, poz. 802)
ROZPORZĄDZENIE MINISTRA ŚRODOWISKA z dnia 14 kwietnia 2003 r. w sprawie wzorów świadectw pochodzenia leśnego
materiału rozmnożeniowego (Dz. U. Nr 86, poz. 803)
ROZPORZĄDZENIE MINISTRA ŚRODOWISKA z dnia 23 kwietnia 2003 r. zmieniające rozporządzenie w sprawie rocznych
planów łowieckich i wieloletnich łowieckich planów hodowlanych (Dz. U. Nr 89, poz. 841)
ROZPORZĄDZENIE MINISTRA ŚRODOWISKA z dnia 17 czerwca 2003 r. w sprawie określenia wzoru publicznie dostępnego
wykazu danych o dokumentach zawierających informacje o środowisku i jego ochronie (Dz. U. Nr 110, poz. 1058)
ROZPORZĄDZENIE MINISTRA ŚRODOWISKA z dnia 11 lutego 2004 r. w sprawie klasyfikacji dla prezentowania stanu wód
powierzchniowych i podziemnych, sposobu prowadzenia monitoringu oraz sposobu interpretacji wyników i prezentacji stanu tych
wód (Dz. U. Nr 32, poz. 284)
ROZPORZĄDZENIE MINISTRA ŚRODOWISKA z dnia 18 lutego 2004 r. w sprawie szczegółowych wymagań, jakie powinien
spełniać leśny materiał rozmnożeniowy (Dz. U. Nr 31, poz. 272)
ROZPORZĄDZENIE MINISTRA ŚRODOWISKA z dnia 9 marca 2004 r. w sprawie wykazu, obszarów i mapy regionów
pochodzenia leśnego materiału podstawowego (Dz. U. Nr 67, poz. 621)
ROZPORZĄDZENIE MINISTRA ŚRODOWISKA z dnia 19 kwietnia 2004 r. w sprawie wykorzystywania leśnego materiału
rozmnożeniowego poza regionem jego pochodzenia (Dz. U. Nr 84, poz. 791)
SmartWood Polska Przejściowy Standard Gospodarki Leśnej 15 września 2010
Page 31 of 54
ROZPORZĄDZENIE MINISTRA ŚRODOWISKA z dnia 23 kwietnia 2004 r. w sprawie szczegółowych wymagań, jakie powinien
spełniać leśny materiał podstawowy (Dz. U. Nr 100, poz. 1026)
ROZPORZĄDZENIE MINISTRA ŚRODOWISKA z dnia 23 kwietnia 2004 r. w sprawie sposobu przeprowadzania testów leśnego
materiału podstawowego (Dz. U. Nr 94, poz. 928)
ROZPORZĄDZENIE MINISTRA ŚRODOWISKA z dnia 23 kwietnia 2004 r. w sprawie sposobu prowadzenia przez dostawców
dokumentacji w zakresie obrotu leśnym materiałem rozmnożeniowym (Dz. U. Nr 94, poz. 929)
ROZPORZĄDZENIE MINISTRA ŚRODOWISKA z dnia 26 kwietnia 2004 r. w sprawie podmiotów upoważnionych do
przeprowadzania testów i oceny leśnego materiału podstawowego oraz badań leśnego materiału rozmnożeniowego (Dz. U.
Nr 97, poz. 975)
ROZPORZĄDZENIE MINISTRA ŚRODOWISKA z dnia 28 kwietnia 2004 r. w sprawie zakresu i trybu opracowywania planów
gospodarowania wodami na obszarach dorzeczy oraz warunków korzystania z wód regionu wodnego (Dz. U. Nr 126, poz.
1318)
ROZPORZĄDZENIE MINISTRA ŚRODOWISKA z dnia 8 lipca 2004 r. w sprawie warunków, jakie należy spełnić przy
wprowadzaniu ścieków do wód lub do ziemi, oraz w sprawie substancji szczególnie szkodliwych dla środowiska wodnego
(Dz. U. Nr 168, poz. 1763)
ROZPORZĄDZENIE MINISTRA ŚRODOWISKA z dnia 9 lipca 2004 r. w sprawie gatunków dziko występujących roślin objętych
ochroną (Dz. U. Nr 168, poz. 1764)
ROZPORZĄDZENIE MINISTRA ŚRODOWISKA z dnia 9 lipca 2004 r. w sprawie gatunków dziko występujących grzybów
objętych ochroną (Dz. U. Nr 168, poz. 1765)
ROZPORZĄDZENIE MINISTRA ŚRODOWISKA z dnia 28 września 2004 r. w sprawie gatunków dziko występujących zwierząt
objętych ochroną (Dz. U. Nr 220, poz. 2237)
ROZPORZĄDZENIE MINISTRA ŚRODOWISKA z dnia 10 grudnia 2004 r. w sprawie wzorów tablic (Dz. U. Nr 268, poz. 2665)
ROZPORZĄDZENIE MINISTRA ŚRODOWISKA z dnia 11 marca 2005 r. w sprawie ustalenia listy gatunków zwierząt łownych
(Dz. U. Nr 45, poz. 433)
ROZPORZĄDZENIE MINISTRA ŚRODOWISKA z dnia 16 marca 2005 r. w sprawie określenia okresów polowań na zwierzęta
łowne (Dz. U. Nr 48, poz. 459)
ROZPORZĄDZENIE MINISTRA ŚRODOWISKA z dnia 23 marca 2005 r. w sprawie szczegółowych warunków wykonywania
polowania i znakowania tusz (Dz. U. Nr 61, poz. 548)
ROZPORZĄDZENIE MINISTRA ŚRODOWISKA z dnia 30 marca 2005 r. w sprawie trybu i zakresu opracowania projektu planu
ochrony dla obszaru Natura 2000 (Dz. U. Nr 61, poz. 549)
ROZPORZĄDZENIE MINISTRA ŚRODOWISKA z dnia 30 marca 2005 r. w sprawie rodzajów, typów i podtypów rezerwatów
przyrody (Dz. U. Nr 60, poz. 533)
ROZPORZĄDZENIE MINISTRA ŚRODOWISKA z dnia 12 maja 2005 r. w sprawie sporządzania projektu planu ochrony dla parku
narodowego, rezerwatu przyrody i parku krajobrazowego, dokonywania zmian w tym planie oraz ochrony zasobów, tworów i
składników przyrody (Dz. U. Nr 94, poz. 794)
ROZPORZĄDZENIE MINISTRA ŚRODOWISKA z dnia 16 maja 2005 r. w sprawie typów siedlisk przyrodniczych oraz gatunków
roślin i zwierząt, wymagających ochrony w formie wyznaczenia obszarów Natura 2000 (Dz. U. Nr 94, poz. 795)
ROZPORZĄDZENIE MINISTRA ŚRODOWISKA z dnia 18 lipca 2005 r. zmieniające rozporządzenie w sprawie szczegółowych
wymagań, jakie powinien spełniać leśny materiał podstawowy (Dz. U. Nr 144, poz. 1212)
ROZPORZĄDZENIE MINISTRA ŚRODOWISKA z dnia 15 grudnia 2005 r. w sprawie wzorów wykazów zawierających informacje
i dane o zakresie korzystania ze środowiska oraz o wysokości należnych opłat i sposobu przedstawiania tych informacji i danych (Dz.
U. Nr 252, poz. 2128)
ROZPORZĄDZENIE MINISTRA ŚRODOWISKA z dnia 20 grudnia 2005 r. w sprawie szczegółowych warunków i trybu
sporządzania planu urządzenia lasu, uproszczonego planu urządzenia lasu oraz inwentaryzacji stanu lasu (Dz. U. Nr 256, poz.
2151)
SmartWood Polska Przejściowy Standard Gospodarki Leśnej 15 września 2010
Page 32 of 54
ROZPORZĄDZENIE MINISTRA ŚRODOWISKA z dnia 22 marca 2006 r. w sprawie szczegółowych zasad zabezpieczenia
przeciwpożarowego lasów (Dz. U. Nr 58, poz. 405, Nr 82, poz. 573)
ROZPORZĄDZENIE MINISTRA ŚRODOWISKA z dnia 24 lipca 2006 r. w sprawie warunków, jakie należy spełnić przy
wprowadzaniu ścieków do wód lub do ziemi, oraz w sprawie substancji szczególnie szkodliwych dla środowiska wodnego
(Dz. U. Nr 283, poz. 2841)
ROZPORZĄDZENIE MINISTRA ŚRODOWISKA z dnia 25 października 2006 r. zmieniające rozporządzenie w sprawie wykazu,
obszarów i mapy regionów pochodzenia leśnego materiału podstawowego (Dz. U. Nr 201, poz. 1481)
ROZPORZĄDZENIE MINISTRA ŚRODOWISKA z dnia 2 listopada 2006 r. zmieniające rozporządzenie w sprawie
wykorzystywania leśnego materiału rozmnożeniowego poza regionem jego pochodzenia (Dz. U. Nr 206, poz. 1520)
ROZPORZĄDZENIE MINISTRA ŚRODOWISKA z dnia 20 grudnia 2007 r. w sprawie stwierdzania kwalifikacji w zakresie
gospodarowania odpadami (Dz. U. 2007 nr 247 poz. 1841)
ROZPORZĄDZENIE MINISTRA PRACY I POLITYKI SPOŁECZNEJ z dnia 11 czerwca 2002 r. zmieniające rozporządzenie w
sprawie ogólnych przepisów bezpieczeństwa i higieny pracy (Dz. U. Nr 91, poz. 811)
ROZPORZĄDZENIE MINISTRA INFRASTRUKTURY z dnia 3 lipca 2003 r. w sprawie szczegółowego zakresu i formy projektu
budowlanego (Dz. U. Nr 120, poz. 1133)
ROZPORZĄDZENIE MINISTRA INFRASTRUKTURY z dnia 19 lutego 2004 roku w sprawie wysokości opłat za czynności
geodezyjne i kartograficzne oraz udzielanie informacji, a także za wykonanie wyrysów i wypisów z operatu ewidencyjnego
(Dz. U. Nr 37 poz. 333). dorzeczy, utworzenia regionalnych zarządów gospodarki wodnej oraz podziału obszarów dorzeczy na
regiony wodne. (Dz. U. Nr 232, poz. 1953)
ROZPORZĄDZENIE MINISTRÓW PRACY I OPIEKI SPOŁECZNEJ ORAZ ZDROWIA z dnia 19 marca 1954 r. w sprawie
bezpieczeństwa i higieny pracy przy obsłudze przenośników. (Dz. U. Nr 13 poz. 51)
ROZPORZĄDZENIE MINISTRÓW PRACY I OPIEKI SPOŁECZNEJ ORAZ ZDROWIA z dnia 15 maja 1954 r. w sprawie
bezpieczeństwa i higieny pracy przy użytkowaniu butli z gazami sprężonymi, skroplonymi i rozpuszczonymi pod ciśnieniem.
(Dz.U.1954.29.115; zmiany:Dz.U. z 1971 r. Nr 23, poz. 216; Dz. U. z 1999 r. Nr 75, poz. 846)
ROZPORZĄDZENIE MINISTRA ZDROWIA I OPIEKI SPOŁECZNEJ z dnia 30 maja 1996 r. w sprawie przeprowadzania badań
lekarskich pracowników, zakresu profilaktycznej opieki zdrowotnej nad pracownikami oraz orzeczeń lekarskich wydawanych do
celów przewidzianych w Kodeksie pracy. (Dz. U. Nr 69, poz. 332)
ROZPORZĄDZENIE MINISTRA ZDROWIA I OPIEKI SPOŁECZNEJ z dnia 1 lipca 1996 r. w sprawie wprowadzenia zakazu
stosowania, obrotu i transportu niektórych niebezpiecznych substancji chemicznych. (Dz. U. Nr 86, poz. 393)
ROZPORZĄDZENIE MINISTRA TRANSPORTU I GOSPODARKI MORSKIEJ z dnia 2 marca 1999 r. w sprawie warunków
technicznych, jakim powinny odpowiadać drogi publiczne i ich usytuowanie. (Dz. U. Nr 43, poz. 430)
ROZPORZĄDZENIE MINISTRA ROZWOJU REGIONALNEGO I BUDOWNICTWA z dnia 14 listopada 2000 r. w sprawie
wysokości opłat za czynności geodezyjne i kartograficzne oraz udzielanie informacji, a także za wykonywanie wyrysów i wypisów z
operatu ewidencyjnego. (Dz. U. Nr 115, poz. 1209)
ROZPORZĄDZENIE MINISTRA ROZWOJU REGIONALNEGO I BUDOWNICTWA z dnia 29 marca 2001 r. w sprawie ewidencji
gruntów i budynków. (Dz. U. Nr 38, poz. 454)
ROZPORZĄDZENIE MINISTRA ROZWOJU REGIONALNEGO I BUDOWNICTWA z dnia 15 maja 2001 r. w sprawie określenia
rodzajów map, materiałów fotogrametrycznych i teledetekcyjnych, stanowiących państwowy zasób geodezyjny i
kartograficzny, których rozpowszechnianie, rozprowadzanie oraz reprodukowanie w celu rozpowszechniania i
rozprowadzania wymaga zezwolenia, oraz trybu udzielania tych zezwoleń. (Dz. U. Nr 56, poz. 588)
ROZPORZĄDZENIE MINISTRA ROZWOJU REGIONALNEGO I BUDOWNICTWA z dnia 18 maja 2001 r. w sprawie
materiałów geodezyjnych i kartograficznych oznaczanych klauzulą "poufne". (Dz. U. Nr 56, poz. 589)
ROZPORZĄDZENIE MINISTRA ROLNICTWA I ROZWOJU WSI z dnia 1 czerwca 2001 r. w sprawie szczegółowego sposobu
stosowania nawozów oraz prowadzenia szkoleń z zakresu ich stosowania. (Dz. U. Nr 60, poz. 616)
ROZPORZĄDZENIE MINISTRA ROLNICTWA I ROZWOJU WSI z dnia 14 sierpnia 2001 r. w sprawie rejestracji odmian i
udzielania ochrony wyłącznego prawa do odmiany oraz wytwarzania i kontroli materiału siewnego. (Dz. U. Nr 108, poz. 1184)
SmartWood Polska Przejściowy Standard Gospodarki Leśnej 15 września 2010
Page 33 of 54
ROZPORZĄDZENIE MINISTRA ROLNICTWA I ROZWOJU WSI z dnia 12 listopada 2001 r. w sprawie połowu ryb oraz
warunków chowu, hodowli i połowu innych organizmów żyjących w wodzie. (Dz. U. Nr 138, poz. 1559)
ROZPORZĄDZENIE MINISTRA ROLNICTWA I ROZWOJU WSI z dnia 22 maja 2002 r. w sprawie stawek dotacji
przedmiotowych dla różnych podmiotów wykonujących zadania na rzecz rolnictwa. (Dz. U. Nr 65, poz. 595)
ROZPORZĄDZENIE MINISTRA ROLNICTWA I ROZWOJU WSI z dnia 24 czerwca 2002 r. w sprawie bezpieczeństwa i higieny
pracy przy stosowaniu i magazynowaniu środków ochrony roślin oraz nawozów mineralnych i organiczno-mineralnych (Dz. U. Nr 99,
poz. 896)
ROZPORZĄDZENIE MINISTRA ROLNICTWA I ROZWOJU WSI z dnia 30 grudnia 2002 r. w sprawie przeprowadzania
ochronnych szczepień lisów wolno żyjących przeciwko wściekliźnie (Dz. U. z 2003 r. Nr 8, poz. 100)
ROZPORZĄDZENIE MINISTRA ROLNICTWA I ROZWOJU WSI z dnia 17 stycznia 2003 r. zmieniające rozporządzenie w
sprawie połowu ryb oraz warunków chowu, hodowli i połowu innych organizmów żyjących w wodzie (Dz. U. Nr 17, poz. 160)
ROZPORZĄDZENIE MINISTRA ROLNICTWA I ROZWOJU WSI z dnia 18 września 2003 r. w sprawie szczegółowych warunków
weterynaryjnych, jakie muszą spełniać gospodarstwa w przypadku, gdy zwierzęta lub środki spożywcze pochodzenia
zwierzęcego pochodzące z tych gospodarstw są wprowadzane na rynek (Dz. U. Nr 168, poz. 1643)
ROZPORZĄDZENIE MINISTRA ROLNICTWA I ROZWOJU WSI z dnia 8 marca 2004 r. w sprawie szczegółowych wymagań
dotyczących wytwarzania oraz jakości materiału siewnego (Dz. U. Nr 59, poz. 565)
ROZPORZĄDZENIE MINISTRA ROLNICTWA I ROZWOJU WSI z dnia 6 sierpnia 2004 r. w sprawie wzoru wniosku o przyznanie
płatności z tytułu realizacji przedsięwzięć rolnośrodowiskowych i poprawy dobrostanu zwierząt oraz zawartości planu tego działania
(Dz. U. Nr 181, poz. 1878)
ROZPORZĄDZENIE MINISTRA ROLNICTWA I ROZWOJU WSI z dnia 30 grudnia 2004 r. w sprawie sposobu prowadzenia
ewidencji wód, urządzeń melioracji wodnych oraz zmeliorowanych gruntów (Dz. U. z 2005 r. Nr 7, poz. 55)
ROZPORZĄDZENIE MINISTRA ROLNICTWA I GOSPODARKI ŻYWNOŚCIOWEJ z dnia 7 października 1997 r. w sprawie
warunków technicznych, jakim powinny odpowiadać budowle rolnicze i ich usytuowanie. (Dz. U. Nr 132, poz. 877)
ROZPORZĄDZENIE MINISTRA ROLNICTWA I GOSPODARKI ŻYWNOŚCIOWEJ z dnia 12 stycznia 1998 r. w sprawie
bezpieczeństwa i higieny pracy przy obsłudze ciągników, maszyn, narzędzi i urządzeń technicznych stosowanych w rolnictwie (Dz.
U. Nr 12, poz. 51)
ROZPORZĄDZENIE MINISTRA PRACY I POLITYKI SPOŁECZNEJ z dnia 14 marca 2000 r. w sprawie bezpieczeństwa i higieny
pracy przy ręcznych pracach transportowych. (Dz. U. Nr 26, poz. 313, Dz. U. Nr 82, poz. 930)
ROZPORZĄDZENIE MINISTRA PRACY I POLITYKI SPOŁECZNEJ z dnia 5 czerwca 2000 r. w sprawie ustalenia wzoru
statystycznej karty wypadku przy pracy oraz związanego z nią trybu postępowania. (Dz. U. Nr 51, poz. 612)
ROZPORZĄDZENIE MINISTRA PRACY I POLITYKI SOCJALNEJ z dnia 28 maja 1996 r. w sprawie szczegółowych zasad
szkolenia w dziedzinie bezpieczeństwa i higieny pracy. (Dz. U. Nr 62, poz. 285)
ROZPORZADZENIE MINISTRA PRACY I POLITYKI SOCJALNEJ z dnia 28 maja 1996 r. w sprawie rodzajów prac
wymagających szczególnej sprawności psychofizycznej. (Dz. U. Nr 62, poz. 287 )
ROZPORZĄDZENIE MINISTRA PRACY I POLITYKI SOCJALNEJ z dnia 28 maja 1996 r. w sprawie rodzajów prac, które
powinny być wykonywane przez co najmniej dwie osoby. (Dz. U. Nr 62, poz. 288 )
ROZPORZĄDZENIE MINISTRA PRACY I POLITYKI SOCJALNEJ z dnia 26 września 1997 r. w sprawie ogólnych przepisów
bezpieczeństwa i higieny pracy. (Dz. U. Nr 129, poz. 844)
ROZPORZĄDZENIE MINISTRA PRACY I POLITYKI SOCJALNEJ z dnia 1 grudnia 1998 r. w sprawie wprowadzenia obowiązku
stosowania niektórych Polskich Norm dotyczących bezpieczeństwa i higieny pracy. (Dz. U. nr 148 poz. 974)
ROZPORZĄDZENIE MINISTRA OBRONY NARODOWEJ z dnia 9 sierpnia 2002 r. w sprawie szczegółowych zasad sporządzania
instrukcji szkoleniowej w zakresie zapewnienia wymogów ochrony zwierząt oraz roślin w toku szkolenia Sił Zbrojnych
Rzeczypospolitej Polskiej na poligonach. (Dz. U. Nr 137, poz. 1157)
ROZPORZĄDZENIE MINISTRA INFRASTRUKTURY z dnia 12 kwietnia 2002 r. w sprawie warunków technicznych, jakim
powinny odpowiadać budynki i ich usytuowanie. (Dz. U. Nr 75, poz. 690)
SmartWood Polska Przejściowy Standard Gospodarki Leśnej 15 września 2010
Page 34 of 54
ROZPORZĄDZENIE MINISTRA INFRASTRUKTURY z dnia 6 lutego 2003 r. w sprawie bezpieczeństwa i higieny pracy podczas
wykonywania robót budowlanych (Dz. U. Nr 47, poz. 401)
ROZPORZĄDZENIE MINISTRA INFRASTRUKTURY z dnia 26 sierpnia 2003 r. w sprawie sposobu ustalania wymagań
dotyczących nowej zabudowy i zagospodarowania terenu w przypadku braku miejscowego planu zagospodarowania przestrzennego
(Dz. U. Nr 164, poz. 1588)
ROZPORZĄDZENIE MINISTRA GOSPODARKI z dnia 14 kwietnia 2000 r. w sprawie bezpieczeństwa i higieny pracy przy
obsłudze obrabiarek do drewna (Dz. U. Nr 36, poz. 409)
ROZPORZĄDZENIE MINISTRA GOSPODARKI z dnia 30 października 2002 r. w sprawie minimalnych wymagań dotyczących
bezpieczeństwa i higieny pracy w zakresie użytkowania maszyn przez pracowników podczas pracy (Dz. U. Nr 191, poz. 1596)
ROZPORZĄDZENIE MINISTRA GOSPODARKI z dnia 20 września 2001 r. w sprawie bezpieczeństwa i higieny pracy podczas
eksploatacji maszyn i innych urządzeń technicznych do robót ziemnych, budowlanych i drogowych (Dz. U. Nr 118, poz.
1263)
Zarządzenia Ministra
ZARZĄDZENIE MINISTRA GOSPODARKI PRZESTRZENNEJ I BUDOWNICTWA z dnia 30 grudnia 1994 r. w sprawie
szczegółowego zakresu i formy projektu budowlanego. (M. P. Nr 2/95)
Oświadczenia rządowe
OŚWIADCZENIE RZĄDOWE z dnia 30 marca 2002 r. w sprawie mocy obowiązującej Konwencji o dostępie do informacji,
udziale społeczeństwa w podejmowaniu decyzji oraz dostępie do sprawiedliwości w sprawach dotyczących środowiska,
sporządzonej w Aarhus dnia 25 czerwca 1998 r.
SmartWood Polska Przejściowy Standard Gospodarki Leśnej 15 września 2010
Page 35 of 54
Załącznik 2: Lista porozumień wielostronnych dotyczących środowiska naturalnego
oraz konwencji ILO, które zostały ratyfikowane przez Polskę
Lista porozumień wielostronnych dotyczących środowiska:
KONWENCJA dotycząca inspekcji pracy w przemyśle i handlu, przyjęta w Genewie dnia 11 lipca 1947 r. (Dz. U. 1997 r. Nr 72,
poz.450)
KONWENCJA nr 119 Międzynarodowej Organizacji Pracy dotycząca zabezpieczenia maszyn, przyjęta w Genewie dnia 25
czerwca 1963 r. (Dz. U. z 1977 r. Nr 14, poz. 53)
KONWENCJA o obszarach wodno-błotnych mających znaczenie międzynarodowe, zwłaszcza jako środowisko życiowe
ptactwa wodnego, sporządzona w Ramsarze dnia 2 lutego 1971 r. (Dz.U. z 1978 r. Nr 7, poz. 24)
KONWENCJA w sprawie ochrony światowego dziedzictwa kulturalnego i naturalnego, przyjęta w Paryżu dnia 16 listopada
1972 r. przez Konferencję Generalną Organizacji Narodów Zjednoczonych dla Wychowania, Nauki i Kultury na jej siedemnastej sesji
(Dziennik Ustaw z 1976 r. Nr 32, poz. 190)
KONWENCJA o międzynarodowym handlu dzikimi zwierzętami i roślinami gatunków zagrożonych wyginięciem (Konwencja
Waszyngtońska -CITES) z 1973 r. (Dz.U. nr 27, poz.112 i 113 z 1991 r.)
KONWENCJA o ochronie wędrownych gatunków dzikich zwierząt, sporządzona w Bonn dnia 23 czerwca 1979 r. (Dz. U. z
2003 r. Nr 2, poz. 17)
KONWENCJA o ochronie gatunków dzikiej flory i fauny europejskiej oraz ich siedlisk, sporządzona w Bernie dnia 19 września
1979 r.
PROTOKÓŁ przyjęty w Paryżu dnia 3 grudnia 1982 r. zmieniający Konwencję o obszarach wodno-błotnych mających
znaczenie międzynarodowe, zwłaszcza jako środowisko życiowe ptactwa wodnego, sporządzoną w Ramsarze dnia 2 lutego
1971 r. (Dz. U. z dnia 25 lipca 2003 r.)
KONWENCJA o ocenach oddziaływania na środowisko w kontekście transgranicznym, sporządzona w Espoo dnia 25 lutego
1991 r.(Dz. U. z 1999 r. Nr 96, poz. 1110)
POROZUMIENIE o ochronie nietoperzy w Europie, podpisane w Londynie dnia 4 grudnia 1991 r. (Dz. U. z 1999 r. Nr 96, poz.
1112)
KONWENCJA o różnorodności biologicznej, sporządzona w Rio de Janeiro dnia 5 czerwca 1992 r.(Dz. U. z 2002 r. Nr 184,
poz. 1532)
OŚWIADCZENIE RZĄDOWE z dnia 31 stycznia 1996 r. w sprawie ratyfikacji przez Rzeczpospolitą Polską Konwencji o ochronie
gatunków dzikiej flory i fauny europejskiej oraz ich siedlisk, sporządzonej w Bernie dnia 19 września 1979 r. (Dz. U. Nr 58, poz. 264)
OŚWIADCZENIE RZĄDOWE z dnia 29 grudnia 1999 r. w sprawie ratyfikacji przez Rzeczpospolitą Polską Konwencji o ochronie
środowiska morskiego obszaru Morza Bałtyckiego, sporządzonej w Helsinkach dnia 9 kwietnia 1992 r. (Dz. U. z 2000 r. Nr 28, poz.
347)
PROTOKÓŁ KARTAGEŃSKI sporządzony w Montrealu dnia 29 stycznia 2000 r. o bezpieczeństwie biologicznym do Konwencji o
różnorodności biologicznej, (Dz. U. z 2004 r. Nr 216, poz. 2201)
OBWIESZCZENIE MINISTRA SPRAW ZAGRANICZNYCH z dnia 31 stycznia 2000 r. o sprostowaniu błędów. (Dz. U. Nr 12, poz.
154)
OŚWIADCZENIE RZĄDOWE z dnia 8 maja 2002 r. w sprawie mocy obowiązującej Konwencji o różnorodności biologicznej,
sporządzonej w Rio de Janeiro dnia 5 czerwca 1992 r. (Dz. U. Nr 184, poz. 1533)
OŚWIADCZENIE RZĄDOWE z dnia 8 lipca 2002 r. w sprawie mocy obowiązującej Konwencji o ochronie i użytkowaniu cieków
transgranicznych i jezior międzynarodowych, sporządzonej w Helsinkach dnia 17 marca 1992 r. (Dz. U. z 2003 r. Nr 78, poz. 703)
Dyrektywy EWG
DYREKTYWA RADY 79/409/EWG z dnia 2 kwietnia 1979 r. w sprawie ochrony dzikiego ptactwa
DYREKTYWA RADY 81/854/EWG z dnia 19 października 1981 r. dostosowująca, w związku z przystąpieniem Grecji,
dyrektywę 79/409/EWG w sprawie ochrony dzikiego ptactwa
SmartWood Polska Przejściowy Standard Gospodarki Leśnej 15 września 2010
Page 36 of 54
DYREKTYWA KOMISJI 91/244/EWG z dnia 6 marca 1991 r. zmieniająca dyrektywę Rady 79/409/EWG w sprawie ochrony
dzikiego ptactwa
DYREKTYWA RADY 92/43/EWG z dnia 21 maja 1992 r. w sprawie ochrony siedlisk przyrodniczych oraz dzikiej fauny i flory
Dyrektywy WE
DYREKTYWA RADY 94/24/WE z dnia 8 czerwca 1994 r. zmieniająca załącznik II do dyrektywy 74/409/EWG w sprawie
ochrony dzikiego ptactwa
DYREKTYWA KOMISJI 97/49/WE z dnia 29 lipca 1997 r. zmieniająca dyrektywę Rady 79/409/EWG w sprawie ochrony
dzikiego ptactwa
DYREKTYWA RADY 97/62/WE z dnia 27 października 1997 r. dostosowująca do postępu naukowo - technicznego dyrektywę
92/43/EWG w sprawie ochrony siedlisk przyrodniczych oraz dzikiej fauny i flory
DYREKTYWA NR 2000/60/WE PARLAMENTU EUROPEJSKIEGO I RADY z dnia 23 października 2000 r. ustanawiająca ramy
wspólnotowego działania w dziedzinie polityki wodnej
Rozporządzenia i decyzje WE i PE
ROZPORZĄDZENIE RADY (WE) NR 338/97z dnia 9 grudnia 1996 r. w sprawie ochrony gatunków dzikiej fauny i flory w drodze
regulacji handlu nimi
ROZPORZĄDZENIE KOMISJI (WE) NR 1808/2001 z dnia 30 sierpnia 2001 r. ustanawiające szczegółowe zasady dotyczące
wykonania rozporządzenia Rady (WE) nr 338/97 w sprawie ochrony gatunków dzikiej fauny i flory w drodze regulacji handlu
nimi
DECYZJA NR 2455/2001/WE PARLAMENTU EUROPEJSKIEGO I RADY z dnia 20 listopada 2001 r. ustanawiająca wykaz
priorytetowych substancji w dziedzinie polityki wodnej oraz zmieniająca dyrektywę 2000/60/WE
ROZPORZĄDZENIE KOMISJI (WE) NR 349/2003 z dnia 25 lutego 2003 r. zawieszające wprowadzanie do Wspólnoty okazów
niektórych gatunków dzikiej fauny i flory
ROZPORZĄDZENIE KOMISJI (WE) NR 1497/2003 z dnia 18 sierpnia 2003 r. zmieniające rozporządzenie Komisji (WE) nr
338/97 w sprawie ochrony gatunków dzikiej fauny i flory w drodze regulacji handlu nimi
ROZPORZĄDZENIE (WE) NR 2152/2003 PARLAMENTU EUROPEJSKIEGO I RADY z dnia 17 listopada 2003 r. dotyczące
monitorowania wzajemnego oddziaływania lasów i środowiska naturalnego we Wspólnocie (Forest Focus)
SmartWood Polska Przejściowy Standard Gospodarki Leśnej 15 września 2010
Page 37 of 54
Załącznik 3: Lista gatunków zagrożonych w Polsce.
Rośliny:
Krytycznie zagrożone
aldrowanda pęcherzykowata
babka pierzasta
bylica pontyjska
ciemiężyca czarna (ciemierzyca czarna)
cyklamen purpurowy
czechrzyca (trybulka) grzebieniowa
czosnek kulisty
dyptam jesionolistny
fiołek bagienny
fiołek torfowy
gałuszka kulecznica
gęsiówka uszkowata
irga kutnerowata
jaskier illiryjski
języczka syberyjska
kaldezja dziewięciornikowata
karmnik ościsty
kiksja zgiętoostrogowa
kotewka orzech wodny
kręczynka jesienna
kropidło Lachenala
lindernia mułowa
łoboda zdobna
macierzanka wczesna
mannica nadmorska
mieczyk błotny
miłek szkarłatny
miodokwiat krzyżowy
mniszek pieniński
mokrzyca szczeciolistna
nadbrzeżyca nadrzeczna
okrzyn jeleni
oman niemiecki
ostnica piaskowa
perłówka orzęsiona
perz sitowy
pierwiosnka omączona
podejźrzon marunowy
podejźrzon pojedynczy
podejźrzon wirginijski
ponikło maleńkie
poryblin kolczasty
przetacznik wczesny
przewiercień cienki
przymiotno alpejskie
przytulia sudecka
rdestnica błyszcząca
rdestnica gęsta
rdestnica nitkowata
SmartWood Polska Przejściowy Standard Gospodarki Leśnej 15 września 2010
Page 38 of 54
rdestnica podługowata
rogownica alpejska
rozrzutka alpejska
rozrzutka brunatna
rozchodnik owłosiony
różanecznik żółty
rzeżucha rezedolistna
saussurea wielkogłowa
selery węzłobaldachowe
sierpik różnolistny
skalnica śnieżna
storczyk błotny
storzan bezlistny
szachownica kostkowata
szafirek miękkolistny
tłustosz pospolity dwubarwny
traganek zwisłokwiatowy
turzyca czarna
turzyca patagońska
turzyca stopowata
turzyca żytowata
wełnianka delikatna
widlicz (widłak) Isslera
zmienka górska
żmijowiec czerwony
Zagrożone
brzeżyca jednokwiatowa
brzoza karłowata
brzoza niska
buławnik czerwony
cebulica dwulistna
chamedafne północna
dąb omszony
dziurawiec wytworny
dzwonek brodaty
dzwonek karkonoski
elisma wodna
głodek mroźny
gnidosz sudecki
groszek szerokolistny
jarząb szwedzki
jeżogłówka pokrewna
kruszczyk drobnolistny
kukuczka kapturkowata
stoplamek krwisty żółtawy (kukułka krwista żółtawa)
stoplamek Ruthego (kukułka Ruthego)
lobelia jeziorna
łoboda nadbrzeżna
malina moroszka
ostrołódka polna
ostrzew rudy
ponikło wielołodygowe
SmartWood Polska Przejściowy Standard Gospodarki Leśnej 15 września 2010
Page 39 of 54
potrostek alpejski
przesiąkra okółkowa
przetacznik zwodny
przygiełka brunatna
przytulia stepowa
pszonacznik wschodni
selery błotne (pęczyna błotna)
sit trójłuskowy
skalnica torfowiskowa
skalnica zwodnicza
starodub łąkowy
storczyk drobnokwiatowy
storczyk samiczy
stulisz miotłowy
szczodrzeniec zmienny
szyplin jedwabisty
tojad niski
traganek wytrzymały
turzyca kulista
turzyca skalna
turzyca wąskolistna
wawrzynek główkowy
wątlik błotny
wełnianeczka alpejska
wełnianeczka darniowa
widlicz (widłak) cyprysowy
wiechlinostrzewa fioletowa (wiechlina fioletowa)
wieczornik śnieżny
wierzba borówkolistna
wierzba lapońska
wywłócznik skrętoległy
zanokcica ciemna
zanokcica klinowata
zanokcica serpentynowa
zaraza goryczelowa
Rzadkie
babka górska
babka nadmorska
brzoza ojcowska
brzoza Szafera
centuria nadbrzeżna
cibora żółta
cis pospolity
czarcikęsik Kluka
czosnek syberyjski
dwulistnik muszy
dziewanna austriacka
dziewięćsił popłocholistny
dzwonek piłkowany
głodek kutnerowaty
gnidosz Hacqueta
goździk siny
SmartWood Polska Przejściowy Standard Gospodarki Leśnej 15 września 2010
Page 40 of 54
grążel drobny
groszek pannoński
groszek wielkoprzylistkowy
grzybienie północne
grzybieńczyk wodny
jałowiec sabiński (jałowiec sawina)
jarząb nieszpułkowy
jastrzębiec włosisty
karmnik bezpłatkowy
kokorycz drobna (kokorycz skąpokwiatowa)
kosaciec bezlistny
kostrzewa ametystowa
kostrzewa makutrzańska
kostrzewa nibyowcza
kruszczyk połabski
kukułka bzowa (storczyk bzowy)
len austriacki
len włochaty
lepnica drobnokwiatowa
lipiennik Loesela
lnica wonna
marzyca czarniawa
nadwodnik naprzeciwlistny
nadwodnik okółkowy
nadwodnik sześciopręcikowy
nadwodnik trójpręcikowy
nawrot czerwonobłękitny
niezapominajka wczesna
obrazki plamiste
obuwik pospolity
oczeret sztyletowaty
oset klapowany
ostnica Jana
ostnica powabna
ostrołódka Hallera
owsica spłaszczona
pajęcznica liliowata
piaskowiec trawiasty
pięciornik drobnokwiatowy
pięciornik śląski
poryblin jeziorny
posłonek skalny
przytulia małopolska
przytulia trójdzielna
pszonak pieniński
rezeda mała
róża francuska
rukiew drobnolistna
rupia morska
sasanka słowacka
sasanka wiosenna
sesleria Bielza
sosna drzewokosa
SmartWood Polska Przejściowy Standard Gospodarki Leśnej 15 września 2010
Page 41 of 54
skalnica bazaltowa
skalnica zwisła
sparceta górska
starzec wielkolistny
storczyk blady
storczyk purpurowy
sybaldia rozesłana
szczyplin zielny
tawuła średnia
tojad lisi
tojad maniński
tojad morawski
tojad sudecki
tojad wiechowaty
tojad wschodniokarpacki
traganek jasny
turzyca dacka
turzyca delikatna
turzyca Lachenala
turzyca luźnokwiatowa
turzyca oścista
turzyca pchla
turzyca strunowa
turzyca szczupła
turzyca życicowa
warzucha tatrzańska
wielosił błękitny
wilczomlecz pstry
wiśnia karłowata (wisienka stepowa)
włosienicznik pędzelkowaty
zaraza oleśnikowa
zdrojek błyszczący (zdrojek źródlany)
Zwierzęta
Kręgowce
Krytycznie zagrożone
bekasik
dzierzba czarnoczelna
dzierzba rudogłowa
gadożer
głowacica
głuszec
iglicznia
kozica
kraska
kulon
łęczak
łosoś
mornel
morświn
nagórnik zwyczajny
orlik grubodzioby
SmartWood Polska Przejściowy Standard Gospodarki Leśnej 15 września 2010
Page 42 of 54
orzełek włochaty
pomurnik
rybitwa czubata
rybitwa popielata
sokół wędrowny
świstun
wąż Eskulapa
żołędnica
Zagrożone
bojownik batalion
biegus zmienny
brodziec pławny
cietrzew
koza złotawa
minóg morski
nocek łydkowłosy
nocek orzęsiony
orzeł przedni
parposz
podgorzałka
podkowiec mały
rożeniec
smużka stepowa
suseł perełkowany
strzebla błotna
szlachar (tracz długodzioby)
świstak
troć jeziorowa
zając bielak
żółw błotny
żbik
żubr
Rzadkie
bączek
błotniak zbożowy
borowiaczek
dennik
dubelt
dzięcioł trójpalczasty
gniewosz plamisty
kulik wielki
minóg rzeczny
ostrygojad zwyczajny
piekielnica
rybołów
sieweczka obrożna
sowa błotna
wodniczka
Wrażliwe
ciosa
SmartWood Polska Przejściowy Standard Gospodarki Leśnej 15 września 2010
Page 43 of 54
dzięcioł białogrzbiety
głowacz pręgopłetwy
kania czarna
kania ruda (rdzawa)
kiełb białopłetwy
kiełb Kesslera
koszatka
minóg strumieniowy
minóg ukraiński
mroczek pozłocisty
niedźwiedź brunatny
nocek Bechsteina
piskorz
płochacz halny
podróżniczek
popielica
puchacz
różanka
rybitwa białoczelna
rybitwa białoskrzydła
ryjówka średnia
ryś
sapa
tchórz stepowy
traszka grzebieniasta
wilk
zielonka
żaba zwinka
żołna
Bezkręgowce
Krytycznie zagrożone
barczatka borówczanka
bogatek wspaniały
brzeginia północna
chwatosz pluskwiakowiec
goleńczyk szczupły
górówka sudecka
gracz
grzebacz wielki
jeziornica rupiowa
klecanka rdzaworożna
kłuk nakrapiany
kołowatek jasnoczułki
komarowiec
kowalina łuskoskrzydła
łątka zielona
marchołt
modraszek gniady
mokrzelica Hermanna
nastecznik żółtoskrzydły
niedźwiedziówka hebe
niepozorka ojcowska
SmartWood Polska Przejściowy Standard Gospodarki Leśnej 15 września 2010
Page 44 of 54
niepylak apollo
obrostka ciemnonoga
opiołek znamienity
opylec ciemny
pilnicznik fiołkowy
płatkostopek ostronogi
poczwarówka górska
poczwarówka jajowata
poczwarówka kolumienka
poczwarówka pagoda
poczwarówka pagórkowa
poczwarówka północna
poczwarówka zębata
porobnica paskowana
przylepek brodacznik
przylepek nabuczak
rozmiazg kolweński
sawczynka piaskowa
skalnik bryzeida
skalnik driada
strzępotek edypus
ślimak obrzeżony
ślimak Rossmässlera
ślimak tatrzański
świdrzyk kasztanowaty
świdrzyk łamliwy
świdrzyk ozdobny
wstęgówka bagienka
wygłada dwulistwówka
wysmuklica tarczowa
zadrzechnia czarnoroga
zawójka rzeczna
ziołomirek stepowy
Acontia lucida
Aechmites terricola
Behningia ulmeri
Bolbelasmus unicornis
Cornumutila quadrivittata
Epaphius rivularis
bagiennik nieparek (Limnephilus dispar)
Mesogona acetosellae
Oligoneuriella pallida
Pollenia venturii
Sphecomyia vittata
Stenopogon callosus
Stratiomys ruficornis
Zagrożone
biegacz Fabrycjusza
cudzich brunatny
dostojka eunomia
gałeczka żeberkowana
gmachówka smolista
SmartWood Polska Przejściowy Standard Gospodarki Leśnej 15 września 2010
Page 45 of 54
górówka pronoe
gruboudka Ahrensa
gryziel stepowy
iglica mała
jelonek rogacz
kolcoszyjek sprężykowy
konarek tajgowy
kraśnik smugowiec
kwietnica Fiebera
łada Jelskiego
miedziopierś alpejska
mszarnik jutta
modliszka zwyczajna
modraszek arion
modraszek eroides
modraszek orion
mrówka uralska
mrówkolew południowy
mrówkolew wydmowy
nadobnica alpejska
nadobnik włoski
namrówka Ravoux'a
namułek pospolity
nawodnik ozdobny
niedźwiedziówka dwórka, piaskówka dwórka
opiętek białowieski
osadnik wielkooki
ozdobnica Forsslunda
pasterek blady
piechotek leśny
poczwarówka zwężona
podrywek szerokogrzbiety
pokątnik złowieszczek
ponurek Schneidera
poskocz krasny
przeplatka aurinia
pysznik dębowiec
ryżak austriacki
rzemlik kropkowany
skójka gruboskorupowa
stepówka
strojniś nadobny
strzępotek hero
szczeżuja spłaszczona
szczeżuja wielka
szklarka podziemna
szlaczkoń torfowiec
ślimak żeberkowany
świdrzyk siedmiogrodzki
świerszczyk szary
witalnik węgliniak
wysmuklica białoskrzydła
wysmuklica przerwana
SmartWood Polska Przejściowy Standard Gospodarki Leśnej 15 września 2010
Page 46 of 54
wysmuklica żałobna
wysmuklica żółtonoga
wyżłobik dębowiec
zaciętka
zaciosek Heyera
zagłębek bruzdkoany
złotook
żwin polluks
Aedia funesta
Ametropus fragilis
Brachymyia floccosa
Carabus clatratus
Criorhina pachymera
Dermestoides sanguinicollis
Hagenella clathrata
Heterocapillus tigripes
Gyraulus acronicus
Neobisium polonicum
Nothorhina punctata
Phasia aurigera
Polistichus connexus
Siro carpathicus
Rzadkie
barczatka kataks
błyszczka mikrogamma
błyszczka zosimi
czerwończyk fioletek
doskocz górski
dostojka akwilonaris
gałeczka rzeczna
godnica pontyjska
goroń tatrzański
groszkówka głębinowa
hubowiec osowaty
kozioróg dębosz
krasopani hera
kraśnik kminowiec
kulczanka plamista
miedziopierś arktyczna
modraszek alkon
mrówka północna
mrówka smętnica
muzyk panoński
naboczeń
niedźwiedziówka plamica
niedźwiedziówka włodarka, włodarka chorągiewka
niekrocz bagniczak
niepylak mnemozyna
osarek murarkowy
pachnica dębowa
paź żeglarz
piewik pstroskrzydły, piewik podolski
SmartWood Polska Przejściowy Standard Gospodarki Leśnej 15 września 2010
Page 47 of 54
piewik tajgowy
pijawka lekarska
piórolotek bagniczek
pływak szerokobrzeżek
pstrokaczek ukraiński
rak szlachetny
rączyca wielka
rozpucz stepowy
smukwa kosmata
sówka platynówka
szklarnik leśny
szlaczkoń szafraniec
tęgosz rdzawy
trajkotka czerwona
Allogamus starmachi
Antipalus sinuatus
Brachycoleus decolor
Caliprobola speciosa
Ctenophora ornata
Exoprosopa cleomene
Hyperoscelis eximia
Pangonius pyritosus
Pocota personata
Trichoferus pallidus
Xylomyia maculata
Więcej informacji na temat gatunków zagrożonych w Polsce można znaleźć:
• Polska Czerwona Księga Zwierząt. Bezkręgowce. Red. Z. Głowaciński, J. Nowacki, Instytut
Ochrony Przyrody PAN, Kraków 2004
• Czerwona lista zwierząt ginących i zagrożonych w Polsce. (2 części +CD-ROM. Red. Z.
Głowaciński. Instytut Ochrony Przyrody PAN, Kraków 2002
• Lista roślin zagrożonych w Polsce. Zarzycki K., Wojewoda W., Heinrich Z. (red.) 1992.
• Polska czerwona księga zwierząt. Kręgowce, Red. Z. Głowaciński, Instytut Ochrony Przyrody
PAN, Kraków 2001
• Polska czerwona księga roślin, Red. R. Kaźmierczakowa, K. Zarzycki, Instytut Ochrony Przyrody
PAN, Kraków 2001
SmartWood Polska Przejściowy Standard Gospodarki Leśnej 15 września 2010
Page 48 of 54
Załącznik 4: Słownik terminów2
Blok drzewostanów rębnych sąsiadujące ze sobą drzewostany w ramach pojedynczego ostępu,
spełniające kryteria dopuszczenia do użytkowania rębnego.
Ekosystemy reprezentatywne [Representative ecosystems] - reprezentatywne przykłady istniejących
ekosystemów zachowywane w swym stanie naturalnym, stosownie do zakresu działań gospodarczych oraz
unikalnego charakteru danych zasobów (w przypadku terenów leśnych, za ekosystem uznaje się typ
siedliskowy lasu), w których zachowano wszystkie możliwe fazy rozwoju danego ekosystemu. W lasach
gospodarczych w celu zachowania reprezentatywnych przykładów istniejących ekosystemów można
wyznaczyć jednostki kontrolne (w gospodarce przerębowej) oraz ostępy (w gospodarce zrębowej) o jak
najbardziej jednolitym typie siedliskowym lasu, w których głównym celem prowadzenia gospodarki leśnej jest
zachowanie tego typu siedliskowego lasu i wszystkich możliwych faz rozwoju tego ekosystemu, włączając
użytkowanie lasu, które jest niezbędne do kreowania najmłodszych faz rozwojowych tych ekosystemów (def.
w oparciu o definicję representative ecosystems wykorzystywaną przez FSC np. w USA).
Gatunek obcy [Introduced species]: gatunek występujący poza swoim naturalnym zasięgiem w postaci
osobników lub zdolnych do przeżycia: gamet, zarodników, nasion, jaj lub części osobników, dzięki którym
mogą one rozmnażać (ustawa o ochronie przyrody).
Jednostka certyfikująca [Certification body]: akredytowana przez wydział akredytacji [Accreditation
Business Unit] organizacji FSC jednostka (firma) przeprowadzająca ocenę zgodności ze standardami FSC
(FSC)
Jednostki kontrolne obejmują drzewostan lub grupę drzewostanów zagospodarowanych rębnią stopniową
gniazdową udoskonaloną (IVd) lub rębnią przerębową (ciągłą) i regulują w nich ład przestrzenny. Jednostki
kontrolne są odgraniczone od sąsiednich jednostek ładu przestrzennego granicami transportowymi, drogami
leśnymi lub liniami oddziałowymi. Powierzchnia jednostki kontrolnej nie powinna być większa niż 35 ha
(Instrukcja urządzania lasu).
Lasy naturalne [Natural Forests]: Lasy nie będące plantacjami (FAO. 2001. Global Forest Resources
Assessment FRA 2000 –Main report. Rome)
Ostępy –ostępy regulują ład przestrzenny drzewostanów zagospodarowanych rębniami zupełnymi i
złożonymi. Granicami ostępów są linie gospodarcze, wyznaczające w terenie szeregi ostępowe. Szeregi te
powinny być z kolei podzielone na ostępy (około 70-100 ha); należy je tak ustalić, aby stwarzały możliwość,
przy należytym przestrzeganiu ładu przestrzennego i wytycznych zawartych w Zasadach hodowli lasu,
przeprowadzenia kolejno po sobie następujących cięć w całym ostępie, w czasie odpowiadającym w
przybliżeniu połowie wieku rębności (Instrukcja urządzania lasu).
Nadzór i kontrola warunków pracy - Nadzór i kontrolę przestrzegania prawa pracy, w tym przepisów i
zasad
bezpieczeństwa i higieny pracy, sprawuje Państwowa Inspekcja Pracy, natomiast nadzór i kontrolę
przestrzegania zasad, przepisów higieny pracy i warunków środowiska pracy sprawuje Państwowa Inspekcja
Sanitarna (kodeks pracy).
Plantacja [Plantation] – specjalna uprawa w której wysadzono sadzonki szybkorosnącego gatunku drzew,
aby w skróconym cyklu produkcyjnym ( do 60 lat) uzyskać dużą ilość surowca drzewnego, najczęściej dla
potrzeb przemysłu opartego na fizykochemicznym przerobie drewna. Celem produkcji w takich plantacjach
może być również drewno tartaczne.
Plan urządzenia lasu [Management plan] (def. wg Ustawy o Lasach z dnia 28 września 1991 r.) podstawowy dokument gospodarki leśnej opracowywany dla określonego obiektu, zawierający opis i ocenę
stanu lasu oraz cele, zadania i sposoby prowadzenia gospodarki leśnej; (ustawa o lasach)
_______________
2
Zasady, Kryteria i Wskaźniki Dobrej Gospodarki Leśnej w Polsce – czerwiec 2010
SmartWood Polska Przejściowy Standard Gospodarki Leśnej 15 września 2010
Page 49 of 54
Pracownicy, [Employees]: Pracownikiem jest osoba zatrudniona na podstawie umowy o pracę, powołania,
wyboru, mianowania lub spółdzielczej umowy o pracę (kodeks pracy)
Środki kontroli biologicznej [agents of biological control] – żyjące organizmy wykorzystywane do eliminacji
bądź regulowania populacji innych żywych organizmów (def. w oparciu o definicję representative
ecosystems wykorzystywaną przez FSC np. w USA).
Typ siedliskowy lasu (typ siedliska leśnego) – jest podstawową jednostką w systemie klasyfikacji siedlisk
leśnych, obejmującą powierzchnie leśne o zbliżonych warunkach siedliskowych, wynikających z żyzności i
wilgotności gleb, podobieństwa cech klimatu oraz ukształtowania terenu i jego budowy geologicznej. Obszary
należące do tego samego typu siedliskowego lasu wykazują podobne zdolności produkcyjne i przydatność
dla hodowli lasu. Typy siedliskowe lasu określa się oddzielnie dla terenów nizinnych, wyżynnych i górskich.
Listę typów siedliskowych lasu zawiera Instrukcja urządzania lasu (Instrukcja urządzania lasu).
Właściciel lasu, zarządzający [Forest owner, forest manager] - osoba fizyczna lub prawna będąca
właścicielem albo użytkownikiem wieczystym lasu oraz osobę fizyczna, osoba prawna lub jednostka
organizacyjna nie posiadającą osobowości prawnej będąca posiadaczem samoistnym, użytkownikiem,
zarządcą lub dzierżawcą lasu, podmiot prowadzący gospodarkę leśną (def. wg. ustawy o lasach)
Zasoby leśne [Forest resources]: Ogół składników lasu możliwych do określenia ilościowego, obejmujący
elementy biocenozy, a szczególnie drzewostany, runo i zwierzynę oraz składniki biotopu, glebę i wodę.
Zrąb zupełny [Clear- cutt]: w których wszystkie drzewa na określonej powierzchni są usuwane jednorazowo,
a odnowienie wzrasta bez osłony lub tylko z osłoną boczną drzewostanu (Zasady hodowli lasu).
SmartWood Polska Przejściowy Standard Gospodarki Leśnej 15 września 2010
Page 50 of 54
Załącznik 5: Proces weryfikacji i oceny certyfikacyjnej - podsumowanie
Proces oceny certyfikacyjnej, rozpoczyna się od działań kandydata, który składa odpowiedni
wniosek do SmartWood. Na podstawie informacji zawartych we wniosku, zakresu przyszłej
certyfikacji oraz na podstawie rozmowy z kandydatem, SmartWood proponuje najbardziej
odpowiedni proces certyfikacji; albo audit wstępny i następnie audit certyfikacyjny, albo
bezpośrednie przejście do oceny certyfikacyjnej. Działaniom prowadzonym przez kandydata
przypisuje się menedżera zadań SmartWood, który współpracuje z audytorem prowadzącym ocenę
i kandydatem w zakresie planowania i przeprowadzenia oceny w czasie.
Auditorzy SmartWood są wyposażeni w szczegółowe wytyczne dotyczące procesu certyfikacji, w
tym konsulatacji (osobistych lub telefonicznych) związanych z oceną wstępną oraz dostęp do
podręcznika oceny lasów SmartWood. Celem tych konsultacji i obsługi jest zapewnienie spójnego i
kompleksowego procesu certyfikacji.
Ponadto procedury SmartWood zawarte w naszym podręczniku oceny lasu, zapewniają dokładność
i uczciwość naszych certyfikatów, co zawarte jest w trzech podstawowych zasadach:
1. W proces oceny zaangażowane są osoby, które znają specyfikę regionu i rodzaj prowadzonej
gospodarki leśnej będącej przedmiotem oceny. Polityką SmartWood jest angażowanie
lokalnych specjalistów we wszystkie procesy certyfikacyjne.
2. Członkowie zespołu muszą być zaznajomieni z procedurami certyfikacji SmartWood. Do
każdego procesu certyfikacji SmartWood przydzielany jest auditor prowadzący, który musi
posiadać uprawnienia zdobyte podczas profesjonalnych szkoleń SmartWood lub uczestniczył
wcześniej w auditach certyfikacyjnych i okresowych gospodarki leśnej SmartWood.
3. Ocenę przeprowadza się według standardów adaptowanych do warunków danego regionu (np.
akredytowanych przez FSC lub regionalizowanych, przejściowych Standardów SmartWood
bazujących na zasadniczych normach SmartWood).
Wybór grupy i planowanie - SmartWood wybiera biegłego auditora prowadzącego i innych
członków zespołu do udziału w ocenie. Pierwszym zadaniem auditora prowadzącego jest zapewnić,
aby wszyscy członkowie zespołu rozumieli zakres i intencjie działań podczas procesu oceny.
Odpowiedzialność za ocenę poszczególnych sekcji (tj. szczegółowych kryteriów i wskaźników)
normy jest przypisana różnym członkom zespołu, w zależności od zakresu ich szkolenia i wiedzy.
Wszyscy członkowie zespołu mogą wnieść wkład do oceny każdej z zasad, ale ich główną
odpowiedzialnością jest gromadzenie, analiza i opisywanie danych w stosunku do poszczególnych
kryteriów i wskaźników.
Powiadomienie zainteresowanych stron: co najmniej na 30 dni przed oceną lasów, SmartWood
powiadamia zainteresowane strony o mającej się odbyć ocenie oraz prosi o wniesienie
ewentualnych obserwacji lub komentarzy w odniesieniu do zgodności działań ocenianej organizacji
ze standardem certyfikacji.
Praca w terenie i zbieranie informacji – Ocena zgodności działań z normą odbywa się w oparciu o
dane zbierane przez biegłych rewidentów/auditorów, podczas przeglądu dokumentacji jednostek
gospodarki leśnej, rozmowów z personelem i zainteresowanymi stronami oraz obserwacji i
pomiarów terenowych. Zespół organizuje spotkanie otwierające z kadrą danej jednostki gospodarki
leśnej w celu dokonania przeglądu zakresu i procedur oceny i norm certyfikacji. Przegląd
dokumentacji i wywiady z pracownikami jednostki rozpoczynają się natychmiast. Proces oceny
przenosi się następnie i bezzwłocznie na grunt oceny terenowej. Kontroli poddane są miejsca
wybrane przez auditorów SmartWood w oparciu o kompleksowy przegląd powierzchni leśnych i
nieleśnych administrowanych przez certyfikowaną jednostkę leśną, dyskusje z zainteresowanymi
stronami i identyfikację krytycznych problemów lub kluczowych miejsc. Wizyty odbywają się na
SmartWood Polska Przejściowy Standard Gospodarki Leśnej 15 września 2010
Page 51 of 54
powierzchniach leśnych (także w czasie prowadzenia prac), w miejscach lokalizacji urządzeń
przetwórczych i elementów infrastruktury oraz w miejscach związanych z użytkowaniem i
przebywaniem lokalnej społeczności. Wizyty prześwietlają spektrum działalności wszystkich typów i
faz podczas różnych warunków biologicznych i fizycznych.
Członkowie zespołu spotykają się z zainteresowanymi stronami w sposób niezależny. Wszystkie
dokonane oceny ujmują wkład (przekazywany poufnie i / lub otwarcie) zainteresowanych stron, w
tym społeczności lokalnych, właścicieli gruntów sąsiadujących, lokalnego przemysłu drzewnego,
organizacji ekologicznych, instytucji rządowych i badaczy naukowych. Podczas tych konsultacji,
członkowie zespołu oceniającego wyjaśnieniają proces oceny oraz zabiegają o opinie i wymianę
wrażeń na tematy związane z aktywnością jednostki poddawanej ocenie.
Analiza danych i process podejmowania decyzji - Podczas oceny zespół spotyka się niezależnie na
spotkaniach wewnętrznych, aby omówić postępy w zbieraniu informacji i wstępne wyniki. Zespół
oceniający pracuje na zasadach konsensusu do którego dochodzi w sposób obiektywny podczas
analizowania informacji, zebranych dowodów i oceny zgodności działań z normami. Ostatecznym
celem spotkań wewnętrzych jest osiągnięcie porozumienia i ustaleń w sprawach dotyczących
certyfikacji działalności jednostki jako kandydata.
Zespół auditorów ocenia działalność jednostki gospodarki leśnej na poziomie wskaźników normy.
Wszelkie niezgodności są analizowane i klasyfikowane jako mniej lub bardziej poważne.
Niezgodność uważa się za poważną, jeśli prowadzi do sytuacji, w której nie udaje się osiągnąć
celu, jakim jest właściwe kryterium w normie.
I odwrotnie, niezgodność uzaje się za małą, jeżeli wywiera wpływ na niewielką skalę, a jej
pojawienie się wywołuje szybkie działania naprawcze, które zostają podjęte w celu zapewnienia, że
niezgodność ta nie będzie się powtarzać i nie przeszkodzi w osiągnięciu celu, jakim jest kryterium.
Dla każdego obszaru zidentyfikowanej niezgodności, zespół oceniający opracowuje działania
naprawcze, które są sklasyfikowane w następujący sposób:



Zasadnicze Polecenie Działań Korygujących (PDK) to działanie naprawcze dotyczące
największych niezgodności w jednostce gospodarki leśnej, które kandydat musi wdrożyć zanim
certyfikacja SmartWood zostanie przyznana.
Polecenie Działań Korygujących (PDK)
to działanie naprawcze dotyczące drobnych
niezgodności w jednostce gospodarki leśnej, które kandydat musi wdrożyć w wyznaczonym
terminie (tj. krótki termin - zazwyczaj w ciągu jednego roku) w trakcie rocznego okresu
odnowienia certyfikacji w pięcioletnim okresie umowy (co jest standardowym okresem
certyfikacji FSC i czasem trwania umowy), oraz
Obserwacja jest bardzo niewielkim problemem lub wczesnym etapem problemu, którego
status nie wystarcza by zostać zaklasyfikowanym jako niezgodność. Obserwacja według
auditora, może prowadzić do niezgodności w przyszłości, jeżeli nie zostanie uwzględniona
przez klienta. Obserwacje mogą być sygnałem ostrzegawczym w danej kwestii, mówiącym że
jeżeli nie zostanie ona usunieta, może przekształcić się w przyszłości w niezgodność.
Zestawienie sprawozdania - po dokonaniu oceny lasów, zespół przygotowuje sprawozdanie z
oceny certyfikacyjnej. Sprawozdanie to jest tworzone według standaryzowanego formatu, zawiera
szczegółowe wyniki działalności zespołu oceniającego i określa warunki wstępne, polecenia działań
korygujących oraz uwagi.
Przegląd sprawozdania przez kandydującą do certyfikatu jednostkę, niezależnych recenzentów i
organizację SmartWood – organizacja kandydująca, co najmniej jeden recenzent oraz pracownicy
regionalni SmartWood, przeglądają każde sprawozdanie z oceny certyfikacyjnej.
SmartWood Polska Przejściowy Standard Gospodarki Leśnej 15 września 2010
Page 52 of 54
Decyzja certyfikacyjna – gdy wszystkie powyższe kroki zostały wykonane, siedziba SmartWood
koordynuje proces decyzyjny dotyczący certyfikacji. Jeżeli decyzją jest zatwierdzenie certyfikatu,
będzie realizowany wówczas 5-letni okres certyfikacji, który wymaga corocznych miejscowych
audytów okresowych. Jeśli jednostka nie zostanie zatwierdzona, decyzją certyfikacji będzie
ustalenie, co należy zrobić, aby jednostka gospodarki leśnej uzyskała w przyszłości status
certyfikowanej.
SmartWood Polska Przejściowy Standard Gospodarki Leśnej 15 września 2010
Page 53 of 54
Załącznik 6: Kategorie lasów o wysokich walorach ochronnych.
HCVF 1 - Lasy posiadające globalne, regionalne lub narodowe znaczenie pod względem
koncentracji wartości biologicznych:
HCVF 1.1 - Obszary chronione
HCVF 1.2 - Ostoje zagrożonych i ginących gatunków
HCVF 1.3 - Ostoje gatunków endemicznych
HCVF 1.4 - Obszary sezonowych koncentracji cennych gatunków
HCVF 2 - Kompleksy leśne odgrywające znaczącą rolę w krajobrazie, w skali krajowej,
makroregionalnej lub globalnej.
HCVF 3 – Obszary obejmujące rzadkie, ginące lub zagrożone ekosystemy:
HCVF 3.1 - ekosystemy skrajnie rzadkie i ginące, marginalne z punktu widzenia gospodarki
leśnej
HCVF 3.2 - ekosystemy rzadkie i zagrożone w skali Europy (ujęte w załączniku I Dyrektywy
Siedliskowej, lecz w Polsce pospolitsze i występujące wielkoobszarowo,
stanowiące ważne obszary gospodarki leśnej
HCVF 4 – Lasy pełniące funkcje w sytuacjach krytycznych:
HCVF 4.1 - Lasy wodochronne
HCVF 4.2 - Lasy glebochronne
HCVF 4.3 - Lasy chroniące przed pożarem
HCVF 5 - Lasy zaspokajające fundamentalne potrzeby lokalnej społeczności.
HCVF 6 - Lasy kluczowe dla tożsamości kulturowej lokalnych społeczności
Więcej informacji o krajowej interpretacji oraz o wyznaczaniu lasów HCV w Polsce można znaleźć:
http://www.fsc.pl/images/data/page/4/Definicje_HCVF_w_Polsce.pdf
http://www.hcvnetwork.org/resources/national-hcv-interpretations
SmartWood Polska Przejściowy Standard Gospodarki Leśnej 15 września 2010
Page 54 of 54