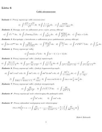
Lista 6

Transkrypt

Lista 6
Lista 6
Całki nieoznaczone
Zadanie 1 Proszę wyznaczyc całki nieoznaczone:
√
Z
Z √
3
1−x
x4 + x3
√
√ dx,
dx b)
a)
x
1− 3x
Z
c)
cos 2x
dx.
cos x − sin x
Zadanie 2 Stosując wzór na całkowanie przez części, proszę obliczyć:
Z
Z
Z
Z
Z
√
√
arctg x
x
2 −5x
√
dx; e)
ln(x + 1) dx.
dx; d)
a)
xe
dx; b)
xarctg x dx; c)
cos2 x
1+x
Zadanie 3 Korzystając z twierdzenia o całkowaniu przez podstawienie, proszę obliczyć:
√
Z
Z
Z
Z x
Z
Z
√
sin x
e
sin x
ln x
2017
4 7
5
√
√
a) (2x+1)
dx; b)
dx; e)
x 3x − 1 dx; f )
dx.
dx; c)
dx; d)
x
e3x
x
1 + cos x
Zadanie 4 Proszę wyznaczyć całkę:
Z
Z
2
a) max{x, x } dx; b) (|x − 1| + |x + 1|) dx.
Zadanie 5 Proszę wyznaczyć całki z funkcji wymiernych:
Z
Z
Z
Z
Z
dx
x+2
dx
x2
6x + 3
dx; b)
; c)
dx; d)
; e)
dx.
a)
x2 + x + 4
(x2 − 4x + 5)2
x(x − 2)
(x2 + 1)(x2 + 4)
x2 + 2x + 5
Zadanie 6 Proszę wyznaczyć całki z funkcji trygonometrycznych:
Z
Z
Z
Z
4
5
4
2
2
a); sin x cos x dx; b)
sin x dx; c)
sin 2x sin x dx; d)
Z
sin2 x
dx
dx; e)
;
1 + cos x
1 − tg x
Z
Z
Z
dx
x
x
dx
; g)
; h)
cos x cos 5x dx i)
cos x cos cos dx.
f)
3 sin x + 4 cos x + 1
cos x
2
4
Zadanie 7 Proszę wyznaczyć całki z funkcji niewymienych:
Z
Z
√
dx
√
a)
; b)
x3 4 + x2 dx;
9 − x2
Z
c)
√
dx
x2 + 4 .
Zadanie 8 ? Proszę wyznaczyć wzór rekurencyjny dla podanych całek:
Z
Z
n
a) ln x dx;
b)
cosn x dx.
Zadanie 9 ? Proszę udowodnić następujacy wzór rekurencyjny:
Z
Z
sin x
n−2
dx
dx
=−
+
dx
(∀n ∈ N) 2 < n −→
sinn x
(n − 1) cosn−1 x n − 1
sinn−2 x
.
Robert Rałowski
1