VII. PROCEDURA OBIEGU INFORMACJI W SZKOLE
Transkrypt
										VII. PROCEDURA OBIEGU INFORMACJI W SZKOLE
                                        
                                        
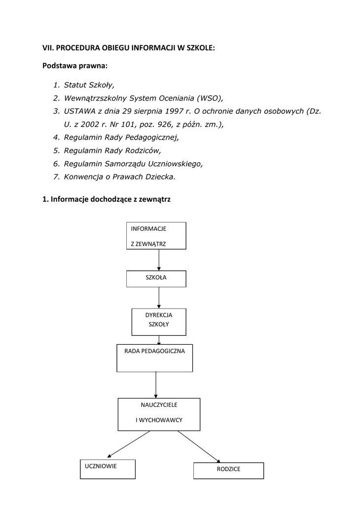
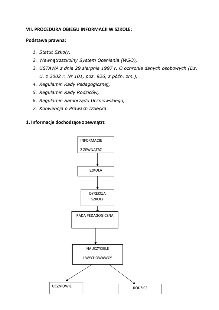
                                VII. PROCEDURA OBIEGU INFORMACJI W SZKOLE: Podstawa prawna: 1. Statut Szkoły, 2. Wewnątrzszkolny System Oceniania (WSO), 3. USTAWA z dnia 29 sierpnia 1997 r. O ochronie danych osobowych (Dz. U. z 2002 r. Nr 101, poz. 926, z późn. zm.), 4. Regulamin Rady Pedagogicznej, 5. Regulamin Rady Rodziców, 6. Regulamin Samorządu Uczniowskiego, 7. Konwencja o Prawach Dziecka. 1. Informacje dochodzące z zewnątrz INFORMACJE Z ZEWNĄTRZ SZKOŁA DYREKCJA SZKOŁY RADA PEDAGOGICZNA NAUCZYCIELE I WYCHOWAWCY UCZNIOWIE RODZICE Sposób przekazywania: • Rada pedagogiczna, • E- mail, • Apel, • Radiowęzeł, • Wywiadówki, • Zebrania, • Telefony, • Kontakty indywidualne, • Tablice ogłoszeń, • Korespondencja słuŜbowa, • Wiadomości pisemne w dzienniczkach uczniów, • Wizyty domowe, • Itp. 2. Informacje wychodzące ze szkoły INFORMACJE WYCHODZĄCE ZE SZKOŁY PEDAGOG RADA PEDAGOGICZNA DYREKCJA /reprezentuje Szkołę na zewnątrz/ WYCHOWAWCY URZĘDY I ORGAN NADZORUJĄCY UCZNIOWIE RODZICE Sposób przekazywania: • • • • • • • • • • • • • • • Tablice ogłoszeń w pokoju nauczycielskim i na holu szkoły, Wiadomości pisemne w dzienniczkach, Rozmowy indywidualne z rodzicami, Rady pedagogiczne, Wywiadówki, E - mail, Rozmowy telefoniczne, Zebrania, Kontakty indywidualne, Spotkania z Radą Rodziców, Zebrania w organie nadzorującym, Apele, Radiowęzeł, Wizyty domowe, Itp. RADA RODZICÓW 3. Informacje na temat spraw klasowych na linii uczeń - nauczyciel • • • • Uczeń przekazuje informacje wychowawcy, Wychowawca informuje rodziców, Wychowawca informuje pedagoga, Pedagog informuje dyrekcję. 4. Pozyskiwanie informacji • • • • • • • Informacje Informacje Informacje Informacje Informacje Informacje Itp. z materiałów zarejestrowanych przez kamery szkolne, od rodziców, z policji, z Poradni Psychologiczno –Pedagogicznej, od uczniów, z Internetu. 5. W przypadku spraw konfliktowych w klasie: • Uczeń przekazuje informacje wychowawcy. • Wychowawca informuje rodziców w celu wspólnego rozwiązywania problemu. • W przypadku nierozwiązania problemu wychowawca przekazuje informacje do pedagoga szkolnego, który podejmuje dalsze działania. • Pedagog szkolny przekazuje informacje dyrektorowi szkoły, który podejmuje ostateczną decyzję o dalszym postępowaniu. 6. Monitoring wizyjny: • Informacje z materiałów zarejestrowanych przez kamery zainstalowane na terenie szkoły przechowywane są 30 dni w sekretariacie szkoły, • Informacje te są chronione i mogą być udostępniane i wykorzystywane tylko zgodnie z ustawą o ochronie danych osobowych, • Odpowiedzialność za ochronę i udostępnianie tych informacji ponosi dyrektor szkoły.