Załącznik nr 1 do Formularza ofertowego

Transkrypt

Załącznik nr 1 do Formularza ofertowego
Część I SIWZ
Instrukcja dla Wykonawców
Załącznik do Formularza Ofertowego
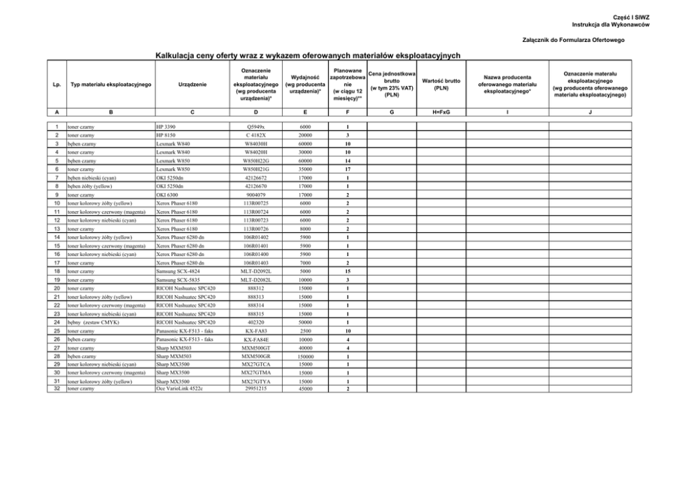
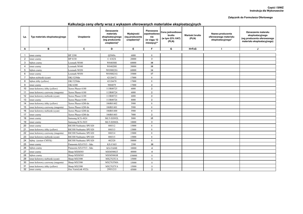
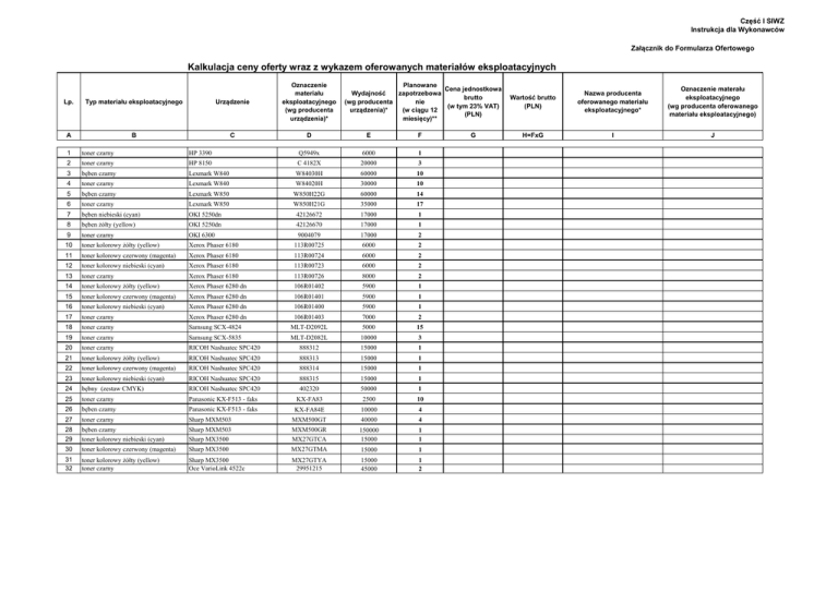
Kalkulacja ceny oferty wraz z wykazem oferowanych materiałów eksploatacyjnych
Lp.
Typ materiału eksploatacyjnego
Urządzenie
Oznaczenie
materiału
eksploatacyjnego
(wg producenta
urządzenia)*
A
B
C
D
Planowane
Cena jednostkowa
Wydajność
zapotrzebowa
brutto
(wg producenta
nie
(w tym 23% VAT)
urządzenia)*
(w ciągu 12
(PLN)
miesięcy)**
E
F
1
1
toner czarny
HP 3390
Q5949x
6000
2
toner czarny
HP 8150
C 4182X
20000
3
3
bęben czarny
Lexmark W840
W84030H
60000
10
4
toner czarny
Lexmark W840
W84020H
30000
10
5
bęben czarny
Lexmark W850
W850H22G
60000
14
6
toner czarny
Lexmark W850
W850H21G
35000
17
7
bęben niebieski (cyan)
OKI 5250dn
42126672
17000
1
8
bęben żółty (yellow)
OKI 5250dn
42126670
17000
1
9
toner czarny
OKI 6300
9004079
17000
2
10
toner kolorowy żółty (yellow)
Xerox Phaser 6180
113R00725
6000
2
11
toner kolorowy czerwony (magenta)
Xerox Phaser 6180
113R00724
6000
2
12
toner kolorowy niebieski (cyan)
Xerox Phaser 6180
113R00723
6000
2
13
toner czarny
Xerox Phaser 6180
113R00726
8000
2
14
toner kolorowy żółty (yellow)
Xerox Phaser 6280 dn
106R01402
5900
1
15
toner kolorowy czerwony (magenta)
Xerox Phaser 6280 dn
106R01401
5900
1
16
toner kolorowy niebieski (cyan)
Xerox Phaser 6280 dn
106R01400
5900
1
17
toner czarny
Xerox Phaser 6280 dn
106R01403
7000
2
18
toner czarny
Samsung SCX-4824
MLT-D2092L
5000
15
19
toner czarny
Samsung SCX-5835
MLT-D2082L
10000
3
20
toner czarny
RICOH Nashuatec SPC420
888312
15000
1
21
toner kolorowy żółty (yellow)
RICOH Nashuatec SPC420
888313
15000
1
22
toner kolorowy czerwony (magenta)
RICOH Nashuatec SPC420
888314
15000
1
23
toner kolorowy niebieski (cyan)
RICOH Nashuatec SPC420
888315
15000
1
24
bębny (zestaw CMYK)
RICOH Nashuatec SPC420
402320
50000
1
25
toner czarny
Panasonic KX-F513 - faks
KX-FA83
2500
10
26
bęben czarny
Panasonic KX-F513 - faks
KX-FA84E
10000
4
27
toner czarny
Sharp MXM503
MXM500GT
40000
4
28
29
bęben czarny
toner kolorowy niebieski (cyan)
Sharp MXM503
Sharp MX3500
MXM500GR
MX27GTCA
150000
15000
1
1
30
toner kolorowy czerwony (magenta)
Sharp MX3500
MX27GTMA
15000
1
31
32
toner kolorowy żółty (yellow)
toner czarny
Sharp MX3500
Oce VarioLink 4522c
MX27GTYA
29951215
15000
45000
1
2
G
Wartość brutto
(PLN)
Nazwa producenta
oferowanego materiału
eksploatacyjnego*
Oznaczenie materału
eksploatacyjnego
(wg producenta oferowanego
materiału eksploatacyjnego)
H=FxG
I
J
Część I SIWZ
Instrukcja dla Wykonawców
33
34
35
36
37
38
39
40
41
42
43
44
45
46
47
48
49
50
51
52
53
54
55
56
57
58
59
60
61
62
63
64
65
66
67
68
69
70
71
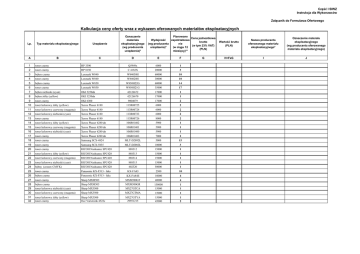
toner żółty (yellow)
toner czerwony (magenta)
toner niebieski (cyan)
toner czarny
toner żółty (yellow)
toner czerwony (magenta)
toner niebieski (cyan)
zestaw bębnów 4szt.
toner czarny
bęben czarny
toner czarny
toner czarny
toner czarny
toner żółty (yellow)
toner czerwony (magenta)
toner niebieski (cyan)
toner czarny
toner czarny
bęben czarny
toner czarny
toner kolorowy niebieski (cyan)
toner kolorowy czerwony (magenta)
toner kolorowy żółty (yellow)
bęben czarny
bęben kolorowy niebieski (cyan)
bęben kolorowy czerwony (magenta)
bęben kolorowy żółty (yellow)
toner czarny
toner kolorowy niebieski (cyan)
toner kolorowy czerwony (magenta)
toner kolorowy żółty (yellow)
bęben czarny
bęben niebieski (cyan)
bęben czerwony (magenta)
bęben żółty (yellow)
toner/bęben czarny
toner/bęben niebieski (cyan)
toner/bęben czerwony (magenta)
toner/bęben żółty (yellow)
Oce VarioLink 4522c
Oce VarioLink 4522c
Oce VarioLink 4522c
Lexmark X736DE
Lexmark X736DE
Lexmark X736DE
Lexmark X736DE
Lexmark X736DE
Lexmark X364DN
Lexmark X364DN
Lexmark X464DE
Lexmark X658DFE
Lexmark X746DE
Lexmark X746DE
Lexmark X746DE
Lexmark X746DE
Lexmark E460DN
Lexmark MS 911
Lexmark MS 911
Konica Minolta Bizhub c 280
Konica Minolta Bizhub c 280
Konica Minolta Bizhub c 280
Konica Minolta Bizhub c 280
Konica Minolta Bizhub c 280
Konica Minolta Bizhub c 280
Konica Minolta Bizhub c 280
Konica Minolta Bizhub c 280
Konica Minolta Bizhub c 3350
Konica Minolta Bizhub c 3350
Konica Minolta Bizhub c 3350
Konica Minolta Bizhub c 3350
Konica Minolta Bizhub c 3350
Konica Minolta Bizhub c 3350
Konica Minolta Bizhub c 3350
Konica Minolta Bizhub c 3350
Samsung CL 680-DW
Samsung CL 680-DW
Samsung CL 680-DW
Samsung CL 680-DW
29951183
29951182
29951184
C736H1KG
C736H1YG
C736H1MG
C736H1CG
C734X24G
X264A11G
E260X22G
X463H11G
X654X11E
X746H1KG
X746A1YG
X746A1MG
X746A1CG
E460H11E
54G0H00
54G0P00
TN216K(A11G151)
TN216C(A11G551)
TN216M(A11G351)
TN216Y(A11G251)
DR311K(A0XV0RD)
DR311(A0XV0TD)
DR311(A0XV0TD)
DR311(A0XV0TD)
TNP-48K
TNP-48C
TNP-48M
TNP-48Y
IUP-22K
IUP-22C
IUP-22M
IUP-22Y
K506L
C506L
M506L
Y506L
30000
30000
30000
12000
10000
10000
10000
20000
3500
30000
15000
36000
12000
7000
7000
7000
15000
32500
125000
29000
26000
26000
26000
70000
55000
55000
55000
10000
10000
10000
10000
50000
50000
50000
50000
6000
3500
3500
3500
2
2
2
2
2
2
2
9
12
8
4
1
6
3
3
3
3
5
2
3
3
3
3
2
2
2
2
10
10
10
10
1
1
1
1
2
2
2
2
Razem wartość brutto oferty
* Zamawiający w kolumnie D wskazał oznaczenie materiałów eksploatacyjnych wg producenta urządzenia, do którego ma być przeznaczony dany materiał eksploatacyjny. W kolumnie I Wkonawca obowiązany jest podać nazwę producenta oferowanego materiału
eksploatacyjnego oraz w kolumnie J jego oznaczenie wg producenta. Zamawiający dopuszcza zaoferowanie materiałów eksploatacyjnych równoważnych do materiałów eksploatacyjnych określonych przez Zamawiającego poprzez podanie odpowiedniego typu i producenta
ze względu na posiadane urządzenia. Za materiały eksploatacyjne równoważne Zamawiający uzna materiały, które są kompatybilne z urządzeniami, tzn są przeznaczone do zastosowania we wskazanym urządzeniu i zapewniają wydajność i jakość nie gorszą niż materiały
eksploatacyjne wyprodukowane przez producenta danego urządzenia lub przez niego zalecane.
** Podane w kolumnie "F" ilości są wielkościami planowanymi i szacunkowymi. Rozliczenia z Wykonawcą będą dokonywane zgodnie z rzeczywistym zapotrzebowaniem Zamawiającego, z zastrzeżeniem nieprzekroczenia całkowitej wartości umowy.
Podpis(y):
Lp.
Nazwisko i imię osoby (osób)
uprawnionej(ych)
Podpis(y) osoby(osób) uprawnionej (ych)
Nazwisko i imię osoby (osób)
uprawnionej(ych)