Załącznik nr 2 do SIWZ Zestawienie Zbiorcze Punktów

Transkrypt

Załącznik nr 2 do SIWZ Zestawienie Zbiorcze Punktów
Załącznik nr 2 do SIWZ
Zestawienie Zbiorcze Punktów Poboru
Część 2 zamówienia
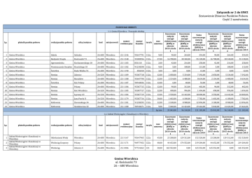
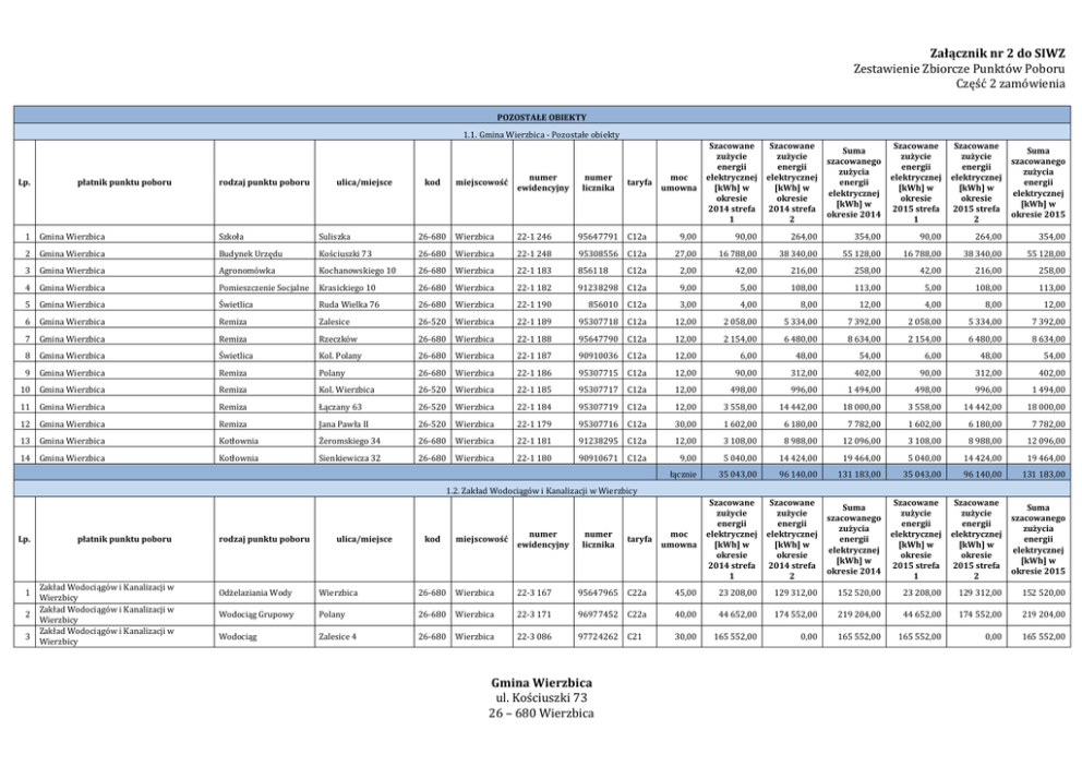
POZOSTAŁE OBIEKTY
1.1. Gmina Wierzbica - Pozostałe obiekty
Lp.
płatnik punktu poboru
rodzaj punktu poboru
ulica/miejsce
kod
miejscowość
numer
ewidencyjny
numer
licznika
taryfa
moc
umowna
Szacowane
zużycie
energii
elektrycznej
[kWh] w
okresie
2014 strefa
1
Szacowane
zużycie
energii
elektrycznej
[kWh] w
okresie
2014 strefa
2
Suma
szacowanego
zużycia
energii
elektrycznej
[kWh] w
okresie 2014
Szacowane
zużycie
energii
elektrycznej
[kWh] w
okresie
2015 strefa
1
Szacowane
zużycie
energii
elektrycznej
[kWh] w
okresie
2015 strefa
2
Suma
szacowanego
zużycia
energii
elektrycznej
[kWh] w
okresie 2015
1 Gmina Wierzbica
Szkoła
Suliszka
26-680
Wierzbica
22-1 246
95647791
C12a
9,00
90,00
264,00
354,00
90,00
264,00
354,00
2 Gmina Wierzbica
Budynek Urzędu
Kościuszki 73
26-680
Wierzbica
22-1 248
95308556
C12a
27,00
16 788,00
38 340,00
55 128,00
16 788,00
38 340,00
55 128,00
3 Gmina Wierzbica
Agronomówka
Kochanowskiego 10
26-680
Wierzbica
22-1 183
856118
C12a
2,00
42,00
216,00
258,00
42,00
216,00
258,00
4 Gmina Wierzbica
Pomieszczenie Socjalne
Krasickiego 10
26-680
Wierzbica
22-1 182
91238298
C12a
9,00
5,00
108,00
113,00
5,00
108,00
113,00
5 Gmina Wierzbica
Świetlica
Ruda Wielka 76
26-680
Wierzbica
22-1 190
856010
C12a
3,00
4,00
8,00
12,00
4,00
8,00
12,00
6 Gmina Wierzbica
Remiza
Zalesice
26-520
Wierzbica
22-1 189
95307718
C12a
12,00
2 058,00
5 334,00
7 392,00
2 058,00
5 334,00
7 392,00
7 Gmina Wierzbica
Remiza
Rzeczków
26-680
Wierzbica
22-1 188
95647790
C12a
12,00
2 154,00
6 480,00
8 634,00
2 154,00
6 480,00
8 634,00
8 Gmina Wierzbica
Świetlica
Kol. Polany
26-680
Wierzbica
22-1 187
90910036
C12a
12,00
6,00
48,00
54,00
6,00
48,00
54,00
9 Gmina Wierzbica
Remiza
Polany
26-680
Wierzbica
22-1 186
95307715
C12a
12,00
90,00
312,00
402,00
90,00
312,00
402,00
10
Gmina Wierzbica
Remiza
Kol. Wierzbica
26-520
Wierzbica
22-1 185
95307717
C12a
12,00
498,00
996,00
1 494,00
498,00
996,00
1 494,00
11
Gmina Wierzbica
Remiza
Łączany 63
26-520
Wierzbica
22-1 184
95307719
C12a
12,00
3 558,00
14 442,00
18 000,00
3 558,00
14 442,00
18 000,00
12
Gmina Wierzbica
Remiza
Jana Pawła II
26-520
Wierzbica
22-1 179
95307716
C12a
30,00
1 602,00
6 180,00
7 782,00
1 602,00
6 180,00
7 782,00
13
Gmina Wierzbica
Kotłownia
Żeromskiego 34
26-680
Wierzbica
22-1 181
91238295
C12a
12,00
3 108,00
8 988,00
12 096,00
3 108,00
8 988,00
12 096,00
14
Gmina Wierzbica
Kotłownia
Sienkiewicza 32
26-680
Wierzbica
22-1 180
90910671
C12a
9,00
5 040,00
14 424,00
19 464,00
5 040,00
14 424,00
19 464,00
łącznie
35 043,00
96 140,00
131 183,00
35 043,00
96 140,00
131 183,00
moc
umowna
Szacowane
zużycie
energii
elektrycznej
[kWh] w
okresie
2014 strefa
1
Szacowane
zużycie
energii
elektrycznej
[kWh] w
okresie
2014 strefa
2
Suma
szacowanego
zużycia
energii
elektrycznej
[kWh] w
okresie 2014
Szacowane
zużycie
energii
elektrycznej
[kWh] w
okresie
2015 strefa
1
Szacowane
zużycie
energii
elektrycznej
[kWh] w
okresie
2015 strefa
2
Suma
szacowanego
zużycia
energii
elektrycznej
[kWh] w
okresie 2015
1.2. Zakład Wodociągów i Kanalizacji w Wierzbicy
Lp.
płatnik punktu poboru
Zakład Wodociągów i Kanalizacji w
Wierzbicy
Zakład Wodociągów i Kanalizacji w
2
Wierzbicy
Zakład Wodociągów i Kanalizacji w
3
Wierzbicy
1
rodzaj punktu poboru
ulica/miejsce
kod
miejscowość
numer
ewidencyjny
numer
licznika
taryfa
Odżelaziania Wody
Wierzbica
26-680
Wierzbica
22-3 167
95647965
C22a
45,00
23 208,00
129 312,00
152 520,00
23 208,00
129 312,00
152 520,00
Wodociąg Grupowy
Polany
26-680
Wierzbica
22-3 171
96977452
C22a
40,00
44 652,00
174 552,00
219 204,00
44 652,00
174 552,00
219 204,00
Wodociąg
Zalesice 4
26-680
Wierzbica
22-3 086
97724262
C21
30,00
165 552,00
0,00
165 552,00
165 552,00
0,00
165 552,00
Gmina Wierzbica
ul. Kościuszki 73
26 – 680 Wierzbica
Załącznik nr 2 do SIWZ
Zestawienie Zbiorcze Punktów Poboru
Część 2 zamówienia
Zakład Wodociągów i Kanalizacji w
Wierzbicy
Zakład Wodociągów i Kanalizacji w
5
Wierzbicy
Zakład Wodociągów i Kanalizacji w
6
Wierzbicy
4
Oczyszczalnia Ścieków
Wierzbica
26-680
Wierzbica
22-3 173
95759539
C21
115,00
177 048,00
0,00
177 048,00
177 048,00
0,00
177 048,00
Ujęcie Wody
Ruda Wielka
26-680
Wierzbica
22-4 760
50067587
C12a
12,00
1 836,00
6 180,00
8 016,00
1 836,00
6 180,00
8 016,00
Inne Obiekty
Radomska 16
26-680
Wierzbica
22-4 761
50065906
C12a
15,00
294,00
1 248,00
1 542,00
294,00
1 248,00
1 542,00
łącznie
412 590,00
311 292,00
723 882,00
412 590,00
311 292,00
723 882,00
moc
umowna
Szacowane
zużycie
energii
elektrycznej
[kWh] w
okresie
2014 strefa
1
Szacowane
zużycie
energii
elektrycznej
[kWh] w
okresie
2014 strefa
2
Suma
szacowanego
zużycia
energii
elektrycznej
[kWh] w
okresie 2014
Szacowane
zużycie
energii
elektrycznej
[kWh] w
okresie
2015 strefa
1
Szacowane
zużycie
energii
elektrycznej
[kWh] w
okresie
2015 strefa
2
Suma
szacowanego
zużycia
energii
elektrycznej
[kWh] w
okresie 2015
1.3. Publiczna Szkoła Podstawowa im. Stefana Żeromskiego w Wierzbicy
Lp.
płatnik punktu poboru
Publiczna Szkoła Podstawowa im. Stefana
Żeromskiego w Wierzbicy
Publiczna Szkoła Podstawowa im. Stefana
2
Żeromskiego w Wierzbicy
Publiczna Szkoła Podstawowa im. Stefana
3
Żeromskiego w Wierzbicy
Publiczna Szkoła Podstawowa im. Stefana
4
Żeromskiego w Wierzbicy
1
rodzaj punktu poboru
ulica/miejsce
kod
miejscowość
numer
ewidencyjny
numer
licznika
taryfa
Szkoła Podstawowa
Żeromskiego 62
26-680
Wierzbica
22-4 759
00141332
C12a
3,00
66,00
78,00
144,00
66,00
78,00
144,00
Szkoła Podstawowa
Żeromskiego 62
26-680
Wierzbica
22-4 756
50067630
C12a
9,00
204,00
456,00
660,00
204,00
456,00
660,00
Szkoła Podstawowa
Żeromskiego 62
26-680
Wierzbica
22-4 758
50065908
C12a
12,00
4 248,00
7 872,00
12 120,00
4 248,00
7 872,00
12 120,00
Szkoła Podstawowa
Żeromskiego 62
26-680
Wierzbica
22-4 757
50067605
C12a
9,00
10 440,00
18 594,00
29 034,00
10 440,00
18 594,00
29 034,00
łącznie
14 958,00
27 000,00
41 958,00
14 958,00
27 000,00
41 958,00
moc
umowna
Szacowane
zużycie
energii
elektrycznej
[kWh] w
okresie
2014 strefa
1
Szacowane
zużycie
energii
elektrycznej
[kWh] w
okresie
2014 strefa
2
Suma
szacowanego
zużycia
energii
elektrycznej
[kWh] w
okresie 2014
Szacowane
zużycie
energii
elektrycznej
[kWh] w
okresie
2015 strefa
1
Szacowane
zużycie
energii
elektrycznej
[kWh] w
okresie
2015 strefa
2
Suma
szacowanego
zużycia
energii
elektrycznej
[kWh] w
okresie 2015
30,00
14 004,00
29 538,00
43 542,00
14 004,00
29 538,00
43 542,00
łącznie
14 004,00
29 538,00
43 542,00
14 004,00
29 538,00
43 542,00
moc
umowna
Szacowane
zużycie
energii
elektrycznej
[kWh] w
okresie
2014 strefa
1
Szacowane
zużycie
energii
elektrycznej
[kWh] w
okresie
2014 strefa
2
Suma
szacowanego
zużycia
energii
elektrycznej
[kWh] w
okresie 2014
Szacowane
zużycie
energii
elektrycznej
[kWh] w
okresie
2015 strefa
1
Szacowane
zużycie
energii
elektrycznej
[kWh] w
okresie
2015 strefa
2
Suma
szacowanego
zużycia
energii
elektrycznej
[kWh] w
okresie 2015
25,00
22 896,00
0,00
22 896,00
22 896,00
0,00
22 896,00
1.4. Zespół Szkół w Rudzie Wielkiej
Lp.
płatnik punktu poboru
1 Zespół Szkół w Rudzie Wielkiej
rodzaj punktu poboru
Zespół Szkół PSP PG
ulica/miejsce
Ruda Wielka
kod
26-680
miejscowość
numer
ewidencyjny
Wierzbica
22-4 750
numer
licznika
taryfa
96547780
C12a
1.5. Publiczne Gimnazjum im. Ks. Biskupa Jana Chrapka
Lp.
1
płatnik punktu poboru
Publiczne Gimnazjum im. Ks. Biskupa Jana
Chrapka
rodzaj punktu poboru
Gimnazjum
ulica/miejsce
Wiatraczna 8
kod
26-680
miejscowość
numer
ewidencyjny
Wierzbica
02-1 710
numer
licznika
95308531
Gmina Wierzbica
ul. Kościuszki 73
26 – 680 Wierzbica
taryfa
C11
Załącznik nr 2 do SIWZ
Zestawienie Zbiorcze Punktów Poboru
Część 2 zamówienia
łącznie
22 896,00
0,00
22 896,00
22 896,00
0,00
22 896,00
moc
umowna
Szacowane
zużycie
energii
elektrycznej
[kWh] w
okresie
2014 strefa
1
Szacowane
zużycie
energii
elektrycznej
[kWh] w
okresie
2014 strefa
2
Suma
szacowanego
zużycia
energii
elektrycznej
[kWh] w
okresie 2014
Szacowane
zużycie
energii
elektrycznej
[kWh] w
okresie
2015 strefa
1
Szacowane
zużycie
energii
elektrycznej
[kWh] w
okresie
2015 strefa
2
Suma
szacowanego
zużycia
energii
elektrycznej
[kWh] w
okresie 2015
1.6. Publiczna Szkoła Podstawowa w Zalesicach
Lp.
płatnik punktu poboru
1 Publiczna Szkoła Podstawowa w Zalesicach
rodzaj punktu poboru
Szkoła Podstawowa
ulica/miejsce
Zalesice
kod
26-680
miejscowość
numer
ewidencyjny
Wierzbica
22-4 748
numer
licznika
taryfa
97726045
C12a
30,00
510,00
2 376,00
2 886,00
510,00
2 376,00
2 886,00
łącznie
510,00
2 376,00
2 886,00
510,00
2 376,00
2 886,00
moc
umowna
Szacowane
zużycie
energii
elektrycznej
[kWh] w
okresie
2014 strefa
1
Szacowane
zużycie
energii
elektrycznej
[kWh] w
okresie
2014 strefa
2
Suma
szacowanego
zużycia
energii
elektrycznej
[kWh] w
okresie 2014
Szacowane
zużycie
energii
elektrycznej
[kWh] w
okresie
2015 strefa
1
Szacowane
zużycie
energii
elektrycznej
[kWh] w
okresie
2015 strefa
2
Suma
szacowanego
zużycia
energii
elektrycznej
[kWh] w
okresie 2015
9,00
384,00
1 290,00
1 674,00
384,00
1 290,00
1 674,00
łącznie
384,00
1 290,00
1 674,00
384,00
1 290,00
1 674,00
moc
umowna
Szacowane
zużycie
energii
elektrycznej
[kWh] w
okresie
2014 strefa
1
Szacowane
zużycie
energii
elektrycznej
[kWh] w
okresie
2014 strefa
2
Suma
szacowanego
zużycia
energii
elektrycznej
[kWh] w
okresie 2014
Szacowane
zużycie
energii
elektrycznej
[kWh] w
okresie
2015 strefa
1
Szacowane
zużycie
energii
elektrycznej
[kWh] w
okresie
2015 strefa
2
Suma
szacowanego
zużycia
energii
elektrycznej
[kWh] w
okresie 2015
9,00
2 916,00
4 140,00
7 056,00
2 916,00
4 140,00
7 056,00
łącznie
2 916,00
4 140,00
7 056,00
2 916,00
4 140,00
7 056,00
moc
umowna
Szacowane
zużycie
energii
elektrycznej
[kWh] w
okresie
2014 strefa
1
Szacowane
zużycie
energii
elektrycznej
[kWh] w
okresie
2014 strefa
2
Suma
szacowanego
zużycia
energii
elektrycznej
[kWh] w
okresie 2014
Szacowane
zużycie
energii
elektrycznej
[kWh] w
okresie
2015 strefa
1
Szacowane
zużycie
energii
elektrycznej
[kWh] w
okresie
2015 strefa
2
Suma
szacowanego
zużycia
energii
elektrycznej
[kWh] w
okresie 2015
12,00
414,00
1 998,00
2 412,00
414,00
1 998,00
2 412,00
1.7. Publiczna Szkoła Podstawowa w Polanach
Lp.
płatnik punktu poboru
1 Publiczna Szkoła Podstawowa w Polanach
rodzaj punktu poboru
Szkoła Podstawowa
ulica/miejsce
Polany
kod
26-680
miejscowość
numer
ewidencyjny
Wierzbica
22-4 752
numer
licznika
taryfa
50065907
C12a
1.8. Publiczna Szkoła Podstawowa w Łączanach
Lp.
płatnik punktu poboru
1 Publiczna Szkoła Podstawowa w Łączanach
rodzaj punktu poboru
Szkoła Podstawowa
ulica/miejsce
Łączany
kod
26-680
miejscowość
numer
ewidencyjny
Wierzbica
22-4 751
numer
licznika
taryfa
50067586
C12a
1.9. Publiczna Szkoła Podstawowa w Dąbrówce Warszawskiej
Lp.
1
płatnik punktu poboru
Publiczna Szkoła Podstawowa w Dąbrówce
Warszawskiej
rodzaj punktu poboru
Szkoła Podstawowa
ulica/miejsce
kod
Dąbrówka Warszawska
26-680
miejscowość
numer
ewidencyjny
Wierzbica
22-4 753
numer
licznika
taryfa
50067582
C12a
Gmina Wierzbica
ul. Kościuszki 73
26 – 680 Wierzbica
Załącznik nr 2 do SIWZ
Zestawienie Zbiorcze Punktów Poboru
Część 2 zamówienia
łącznie
414,00
1 998,00
2 412,00
414,00
1 998,00
2 412,00
moc
umowna
Szacowane
zużycie
energii
elektrycznej
[kWh] w
okresie
2014 strefa
1
Szacowane
zużycie
energii
elektrycznej
[kWh] w
okresie
2014 strefa
2
Suma
szacowanego
zużycia
energii
elektrycznej
[kWh] w
okresie 2014
Szacowane
zużycie
energii
elektrycznej
[kWh] w
okresie
2015 strefa
1
Szacowane
zużycie
energii
elektrycznej
[kWh] w
okresie
2015 strefa
2
Suma
szacowanego
zużycia
energii
elektrycznej
[kWh] w
okresie 2015
1.10. Gminne Przedszkole w Łącznach
Lp.
płatnik punktu poboru
1 Gminne Przedszkole w Łącznach
rodzaj punktu poboru
Przedszkole
ulica/miejsce
Łączany
kod
26-680
miejscowość
numer
ewidencyjny
Wierzbica
22-4 770
numer
licznika
taryfa
50067629
C12a
15,00
2 664,00
4 530,00
7 194,00
2 664,00
4 530,00
7 194,00
łącznie
2 664,00
4 530,00
7 194,00
2 664,00
4 530,00
7 194,00
moc
umowna
Szacowane
zużycie
energii
elektrycznej
[kWh] w
okresie
2014 strefa
1
Szacowane
zużycie
energii
elektrycznej
[kWh] w
okresie
2014 strefa
2
Suma
szacowanego
zużycia
energii
elektrycznej
[kWh] w
okresie 2014
Szacowane
zużycie
energii
elektrycznej
[kWh] w
okresie
2015 strefa
1
Szacowane
zużycie
energii
elektrycznej
[kWh] w
okresie
2015 strefa
2
Suma
szacowanego
zużycia
energii
elektrycznej
[kWh] w
okresie 2015
15,00
1 980,00
3 306,00
5 286,00
1 980,00
3 306,00
5 286,00
łącznie
1 980,00
3 306,00
5 286,00
1 980,00
3 306,00
5 286,00
moc
umowna
Szacowane
zużycie
energii
elektrycznej
[kWh] w
okresie
2014 strefa
1
Szacowane
zużycie
energii
elektrycznej
[kWh] w
okresie
2014 strefa
2
Suma
szacowanego
zużycia
energii
elektrycznej
[kWh] w
okresie 2014
Szacowane
zużycie
energii
elektrycznej
[kWh] w
okresie
2015 strefa
1
Szacowane
zużycie
energii
elektrycznej
[kWh] w
okresie
2015 strefa
2
Suma
szacowanego
zużycia
energii
elektrycznej
[kWh] w
okresie 2015
30,00
10 266,00
14 778,00
25 044,00
10 266,00
14 778,00
25 044,00
łącznie
10 266,00
14 778,00
25 044,00
10 266,00
14 778,00
25 044,00
moc
umowna
Szacowane
zużycie
energii
elektrycznej
[kWh] w
okresie
2014 strefa
1
Szacowane
zużycie
energii
elektrycznej
[kWh] w
okresie
2014 strefa
2
Suma
szacowanego
zużycia
energii
elektrycznej
[kWh] w
okresie 2014
Szacowane
zużycie
energii
elektrycznej
[kWh] w
okresie
2015 strefa
1
Szacowane
zużycie
energii
elektrycznej
[kWh] w
okresie
2015 strefa
2
Suma
szacowanego
zużycia
energii
elektrycznej
[kWh] w
okresie 2015
19,00
2 886,00
5 646,00
8 532,00
2 886,00
5 646,00
8 532,00
1.11. Gminne Przedszkole w Polanach
Lp.
płatnik punktu poboru
1 Gminne Przedszkole w Polanach
rodzaj punktu poboru
Przedszkole
ulica/miejsce
Polany
kod
26-680
miejscowość
numer
ewidencyjny
Wierzbica
22-4 774
numer
licznika
taryfa
50066176
C12a
1.12. Gminne Przedszkole Publiczne im. Jana Brzechwy
Lp.
1
płatnik punktu poboru
Gminne Przedszkole Publiczne im. Jana
Brzechwy
rodzaj punktu poboru
Przedszkole
ulica/miejsce
Krasickiego
kod
26-680
miejscowość
numer
ewidencyjny
Wierzbica
22-4 773
numer
licznika
taryfa
50065861
C12a
1.13. Gminne Przedszkole w Zalesicach
Lp.
płatnik punktu poboru
1 Gminne Przedszkole w Zalesicach
rodzaj punktu poboru
Przedszkole
ulica/miejsce
Zalesice
kod
26-680
miejscowość
numer
ewidencyjny
Wierzbica
22-4 772
numer
licznika
taryfa
50065865
C12a
Gmina Wierzbica
ul. Kościuszki 73
26 – 680 Wierzbica
Załącznik nr 2 do SIWZ
Zestawienie Zbiorcze Punktów Poboru
Część 2 zamówienia
2 Gminne Przedszkole w Zalesicach
Oddział Zamiejscowy
Przedszkola
Dąbrówka Warszawska
26-680
Wierzbica
22-4 771
00141335
C12a
3,00
624,00
312,00
936,00
624,00
312,00
936,00
łącznie
3 510,00
5 958,00
9 468,00
3 510,00
5 958,00
9 468,00
moc
umowna
Szacowane
zużycie
energii
elektrycznej
[kWh] w
okresie
2014 strefa
1
Szacowane
zużycie
energii
elektrycznej
[kWh] w
okresie
2014 strefa
2
Suma
szacowanego
zużycia
energii
elektrycznej
[kWh] w
okresie 2014
Szacowane
zużycie
energii
elektrycznej
[kWh] w
okresie
2015 strefa
1
Szacowane
zużycie
energii
elektrycznej
[kWh] w
okresie
2015 strefa
2
Suma
szacowanego
zużycia
energii
elektrycznej
[kWh] w
okresie 2015
3,00
282,00
672,00
954,00
282,00
672,00
954,00
łącznie
282,00
672,00
954,00
282,00
672,00
954,00
moc
umowna
Szacowane
zużycie
energii
elektrycznej
[kWh] w
okresie
2014 strefa
1
Szacowane
zużycie
energii
elektrycznej
[kWh] w
okresie
2014 strefa
2
Suma
szacowanego
zużycia
energii
elektrycznej
[kWh] w
okresie 2014
Szacowane
zużycie
energii
elektrycznej
[kWh] w
okresie
2015 strefa
1
Szacowane
zużycie
energii
elektrycznej
[kWh] w
okresie
2015 strefa
2
Suma
szacowanego
zużycia
energii
elektrycznej
[kWh] w
okresie 2015
3,00
1 549,80
3 616,20
5 166,00
1 549,80
3 616,20
5 166,00
łącznie
1 549,80
3 616,20
5 166,00
1 549,80
3 616,20
5 166,00
moc
umowna
Szacowane
zużycie
energii
elektrycznej
[kWh] w
okresie
2014 strefa
1
Szacowane
zużycie
energii
elektrycznej
[kWh] w
okresie
2014 strefa
2
Suma
szacowanego
zużycia
energii
elektrycznej
[kWh] w
okresie 2014
Szacowane
zużycie
energii
elektrycznej
[kWh] w
okresie
2015 strefa
1
Szacowane
zużycie
energii
elektrycznej
[kWh] w
okresie
2015 strefa
2
Suma
szacowanego
zużycia
energii
elektrycznej
[kWh] w
okresie 2015
40,00
7 008,00
31 272,00
38 280,00
7 008,00
31 272,00
38 280,00
łącznie
7 008,00
31 272,00
38 280,00
7 008,00
31 272,00
38 280,00
1.14. Gminna Biblioteka Publiczna
Lp.
płatnik punktu poboru
1 Gminna Biblioteka Publiczna
rodzaj punktu poboru
Biblioteka
ulica/miejsce
Krasickiego 20
kod
26-680
miejscowość
numer
ewidencyjny
Wierzbica
22-4 755
numer
licznika
taryfa
00141333
C12a
1.15. Gminny Ośrodek Kultury
Lp.
płatnik punktu poboru
rodzaj punktu poboru
1 Gminny Ośrodek Kultury
ulica/miejsce
Krasickiego 27
kod
26-680
miejscowość
numer
ewidencyjny
numer
licznika
Wierzbica
taryfa
C12a
PLANOWANE OBIEKTY
Lp.
1
płatnik punktu poboru
Zakład Wodociągów i Kanalizacji w
Wierzbicy
rodzaj punktu poboru
Przepompownia
Ścieków
ulica/miejsce
Wierzbica
kod
26-680
miejscowość
numer
ewidencyjny
Wierzbica
22-564
numer
licznika
96207169
Gmina Wierzbica
ul. Kościuszki 73
26 – 680 Wierzbica
taryfa
B22
Załącznik nr 2 do SIWZ
Zestawienie Zbiorcze Punktów Poboru
Część 2 zamówienia
Szacunkowe zapotrzebowanie energii elektrycznej dla powyższych obiektów
w okresie od 01.01.2014 r. do 31.12.2014 r. wynosi 1.068.881,00 kWh
w okresie od 01.01.2015 r. do 31.12.2015 r. wynosi 1.068.881,00 kWh
ŁĄCZNE ZAPOTRZEBOWANIE
2.137.762,00kWh
Gmina Wierzbica
ul. Kościuszki 73
26 – 680 Wierzbica