grupy zakwalifikowane do realizacji programu "umiem pływać 2016"

Transkrypt

grupy zakwalifikowane do realizacji programu "umiem pływać 2016"
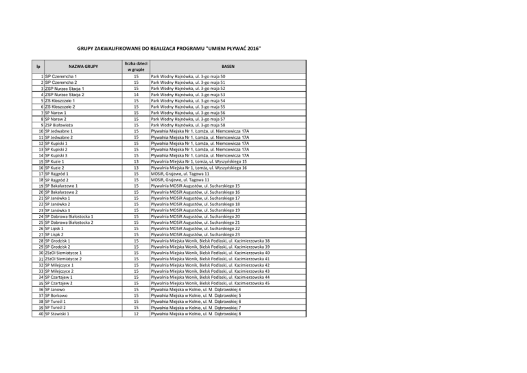
GRUPY ZAKWALIFIKOWANE DO REALIZACJI PROGRAMU "UMIEM PŁYWAĆ 2016"
lp
1
2
3
4
5
6
7
8
9
10
11
12
13
14
15
16
17
18
19
20
21
22
23
24
25
26
27
28
29
30
31
32
33
34
35
36
37
38
39
40
NAZWA GRUPY
SP Czeremcha 1
SP Czeremcha 2
ZSP Nurzec Stacja 1
ZSP Nurzec Stacja 2
ZS Kleszczele 1
ZS Kleszczele 2
SP Narew 1
SP Narew 2
ZSP Białowieża
SP Jedwabne 1
SP Jedwabne 2
SP Kupiski 1
SP Kupiski 2
SP Kupiski 3
SP Kuzie 1
SP Kuzie 2
SP Rajgród 1
SP Rajgród 2
SP Bakałarzewo 1
SP Bakałarzewo 2
SP Janówka 1
SP Janówka 2
SP Janówka 3
SP Dabrowa Białostocka 1
SP Dabrowa Białostocka 2
SP Lipsk 1
SP Lispk 2
SP Grodzisk 1
SP Grodzisk 2
ZSzOI Siemiatycze 1
ZSzOI Siemiatycze 2
SP Milejczyce 1
SP Milejczyce 2
SP Czartajew 1
SP Czartajew 2
SP Janowo
SP Borkowo
SP Turośl 1
SP Turośl 2
SP Stawiski 1
liczba dzieci
w grupie
15
15
15
14
15
15
15
15
15
15
15
15
15
15
13
13
15
15
15
15
15
15
15
15
15
15
15
15
15
15
15
15
15
15
15
15
15
15
15
12
BASEN
Park Wodny Hajnówka, ul. 3-go maja 50
Park Wodny Hajnówka, ul. 3-go maja 51
Park Wodny Hajnówka, ul. 3-go maja 52
Park Wodny Hajnówka, ul. 3-go maja 53
Park Wodny Hajnówka, ul. 3-go maja 54
Park Wodny Hajnówka, ul. 3-go maja 55
Park Wodny Hajnówka, ul. 3-go maja 56
Park Wodny Hajnówka, ul. 3-go maja 57
Park Wodny Hajnówka, ul. 3-go maja 58
Pływalnia Miejska Nr 1, Łomża, ul. Niemcewicza 17A
Pływalnia Miejska Nr 1, Łomża, ul. Niemcewicza 17A
Pływalnia Miejska Nr 1, Łomża, ul. Niemcewicza 17A
Pływalnia Miejska Nr 1, Łomża, ul. Niemcewicza 17A
Pływalnia Miejska Nr 1, Łomża, ul. Niemcewicza 17A
Pływalnia Miejska Nr 1, Łomża, ul. Wyszyńskiego 15
Pływalnia Miejska Nr 1, Łomża, ul. Wyszyńskiego 16
MOSiR, Grajewo, ul. Tagowa 11
MOSiR, Grajewo, ul. Tagowa 11
Pływalnia MOSiR Augustów, ul. Sucharskiego 15
Pływalnia MOSiR Augustów, ul. Sucharskiego 16
Pływalnia MOSiR Augustów, ul. Sucharskiego 17
Pływalnia MOSiR Augustów, ul. Sucharskiego 18
Pływalnia MOSiR Augustów, ul. Sucharskiego 19
Pływalnia MOSiR Augustów, ul. Sucharskiego 20
Pływalnia MOSiR Augustów, ul. Sucharskiego 21
Pływalnia MOSiR Augustów, ul. Sucharskiego 22
Pływalnia MOSiR Augustów, ul. Sucharskiego 23
Pływalnia Miejska Wonik, Bielsk Podlaski, ul. Kazimierzowska 38
Pływalnia Miejska Wonik, Bielsk Podlaski, ul. Kazimierzowska 39
Pływalnia Miejska Wonik, Bielsk Podlaski, ul. Kazimierzowska 40
Pływalnia Miejska Wonik, Bielsk Podlaski, ul. Kazimierzowska 41
Pływalnia Miejska Wonik, Bielsk Podlaski, ul. Kazimierzowska 42
Pływalnia Miejska Wonik, Bielsk Podlaski, ul. Kazimierzowska 43
Pływalnia Miejska Wonik, Bielsk Podlaski, ul. Kazimierzowska 44
Pływalnia Miejska Wonik, Bielsk Podlaski, ul. Kazimierzowska 45
Pływalnia Miejska w Kolnie, ul. M. Dąbrowskiej 4
Pływalnia Miejska w Kolnie, ul. M. Dąbrowskiej 5
Pływalnia Miejska w Kolnie, ul. M. Dąbrowskiej 6
Pływalnia Miejska w Kolnie, ul. M. Dąbrowskiej 7
Pływalnia Miejska w Kolnie, ul. M. Dąbrowskiej 8
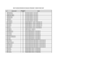
41
42
43
44
45
46
47
48
49
50
51
52
53
54
55
56
57
58
59
60
61
62
63
64
65
66
67
68
69
70
71
72
73
74
75
76
77
78
79
80
81
82
83
84
85
86
87
88
89
90
SP Stawiski 2
SP Stawiski 3
SP Stawiski 4
SP Przytuły
SP Wagi
SP Korycin 1
SP Korycin 2
SP Suchowola
SP Czerwonka
SP Jaświły 1
SP Jaświły 2
SP Jasionówka 1
SP Jasionówka 2
SP Trzcianne 1
SP Trzcianne 2
SP Krypno 1
SP Krypno 2
SP Knyszyn
SP Kalinówka Kościelna
SP Goniądz 1
SP Goniądz 2
SP Słucz Kramarzewo
SP Klimaszewnica
SP Nowe Aleksandrowo 1
SP Nowe Aleksandrowo 2
SP Pogorzałki
SP Obrubniki
SP Kołaki Kościelne 1
SP Kołaki Kościelne 2
SP Szumowo 1
SP Szumowo 2
SP Wiśniewo 1
SP Wiśniewo 2
SP Stare Zakrzewo 1
SP Stare Zakrzewo 2
SP Gródek 1
SP Gródek 2
NSP Załuki
SP Zabłudów 1
SP Zabłudów 2
SP Zabłudów 3
SP Przerośl
SP Przerośl, Pawłówka
Przebród
ZS Płociczno Tartak
ZS Stary Folwark
SP Wasilków 1
SP Wasilków 2
SP Wasilków 3
SP Jabłonka Kościelna 1
15
15
10
15
14
15
15
15
15
15
15
15
15
15
15
15
15
15
15
15
15
15
15
15
15
15
15
15
15
15
15
15
15
15
15
15
15
15
13
13
13
15
15
15
15
15
15
15
15
15
Pływalnia Miejska w Kolnie, ul. M. Dąbrowskiej 9
Pływalnia Miejska w Kolnie, ul. M. Dąbrowskiej 10
Pływalnia Miejska w Kolnie, ul. M. Dąbrowskiej 11
Pływalnia Miejska w Kolnie, ul. M. Dąbrowskiej 12
Pływalnia Miejska w Kolnie, ul. M. Dąbrowskiej 13
Pływalnia Powiatowa w Mońkach, ul Tysiąclecia 15
Pływalnia Powiatowa w Mońkach, ul Tysiąclecia 16
Pływalnia Powiatowa w Mońkach, ul Tysiąclecia 17
Pływalnia Powiatowa w Mońkach, ul Tysiąclecia 18
Pływalnia Powiatowa w Mońkach, ul Tysiąclecia 19
Pływalnia Powiatowa w Mońkach, ul Tysiąclecia 20
Pływalnia Powiatowa w Mońkach, ul Tysiąclecia 21
Pływalnia Powiatowa w Mońkach, ul Tysiąclecia 22
Pływalnia Powiatowa w Mońkach, ul Tysiąclecia 23
Pływalnia Powiatowa w Mońkach, ul Tysiąclecia 24
Pływalnia Powiatowa w Mońkach, ul Tysiąclecia 25
Pływalnia Powiatowa w Mońkach, ul Tysiąclecia 26
Pływalnia Powiatowa w Mońkach, ul Tysiąclecia 27
Pływalnia Powiatowa w Mońkach, ul Tysiąclecia 28
Pływalnia Powiatowa w Mońkach, ul Tysiąclecia 29
Pływalnia Powiatowa w Mońkach, ul Tysiąclecia 30
Pływalnia Powiatowa w Mońkach, ul Tysiąclecia 31
Pływalnia Powiatowa w Mońkach, ul Tysiąclecia 32
Pływalnia Powiatowa w Mońkach, ul Tysiąclecia 33
Pływalnia Powiatowa w Mońkach, ul Tysiąclecia 34
Pływalnia Powiatowa w Mońkach, ul Tysiąclecia 35
Pływalnia Powiatowa w Mońkach, ul Tysiąclecia 36
Pływalnia Miejska Delfin, Zambrów, ul. Wyszyńskiego 6b
Pływalnia Miejska Delfin, Zambrów, ul. Wyszyńskiego 6b
Pływalnia Miejska Delfin, Zambrów, ul. Wyszyńskiego 6b
Pływalnia Miejska Delfin, Zambrów, ul. Wyszyńskiego 6b
Pływalnia Miejska Delfin, Zambrów, ul. Wyszyńskiego 6b
Pływalnia Miejska Delfin, Zambrów, ul. Wyszyńskiego 6b
Pływalnia Miejska Delfin, Zambrów, ul. Wyszyńskiego 6b
Pływalnia Miejska Delfin, Zambrów, ul. Wyszyńskiego 6b
MOSiR w Michałowie, ul. Sienkiewicza 21a
MOSiR w Michałowie, ul. Sienkiewicza 21a
MOSiR w Michałowie, ul. Sienkiewicza 21a
MOSiR w Michałowie, ul. Sienkiewicza 21a
MOSiR w Michałowie, ul. Sienkiewicza 21a
MOSiR w Michałowie, ul. Sienkiewicza 21a
Aqua Park Suwałki, ul. Papieża Jana Pawła II 7
Aqua Park Suwałki, ul. Papieża Jana Pawła II 7
Aqua Park Suwałki, ul. Papieża Jana Pawła II 7
Aqua Park Suwałki, ul. Papieża Jana Pawła II 7
Aqua Park Suwałki, ul. Papieża Jana Pawła II 7
Basen przy SP 32, Białystok, ul. Pietrasze 29
Basen przy SP 32, Białystok, ul. Pietrasze 30
Basen przy SP 32, Białystok, ul. Pietrasze 31
Pływalnia Miejska Wodnik, Wysokie Maowieckie, ul. Szpitalna 1
91
92
93
94
95
96
97
98
99
100
101
102
103
104
105
106
107
157
SP Jabłonka Kościelna 2
ZS Rudka 1
ZS Rudka 2
ZS Klukowo 1
ZS Klukowo 2
SP Ciechanowiec 1
SP Ciechanowiec 2
SP Nowe Piekuty
SP Jabłoń Kościelna
SP Kulesze Kościelne 1
SP Kuleszze Kościelne 2
SP Kobylin Borzymy 1
SP Kobylin Borzymy 2
SP Malawicze
SP Geniusze
SP Choroszcz 1
SP Choroszcz 2
15
14
14
15
15
15
15
15
15
15
15
15
15
15
15
15
15
1583
Pływalnia Miejska Wodnik, Wysokie Maowieckie, ul. Szpitalna 2
Pływalnia Miejska Wodnik, Wysokie Maowieckie, ul. Szpitalna 7
Pływalnia Miejska Wodnik, Wysokie Maowieckie, ul. Szpitalna 8
Pływalnia Miejska Wodnik, Wysokie Maowieckie, ul. Szpitalna 9
Pływalnia Miejska Wodnik, Wysokie Maowieckie, ul. Szpitalna 10
Pływalnia Miejska Wodnik, Wysokie Maowieckie, ul. Szpitalna 11
Pływalnia Miejska Wodnik, Wysokie Maowieckie, ul. Szpitalna 12
Pływalnia Miejska Wodnik, Wysokie Maowieckie, ul. Szpitalna 13
Pływalnia Miejska Wodnik, Wysokie Maowieckie, ul. Szpitalna 14
Pływalnia Miejska Wodnik, Wysokie Maowieckie, ul. Szpitalna 15
Pływalnia Miejska Wodnik, Wysokie Maowieckie, ul. Szpitalna 16
Pływalnia Miejska Wodnik, Wysokie Maowieckie, ul. Szpitalna 17
Pływalnia Miejska Wodnik, Wysokie Maowieckie, ul. Szpitalna 18
OSiR Sokółka, ul. Mariańska 31
OSiR Sokółka, ul. Mariańska 31
Pływalnia rodzinna, Białystok, ul. Stroma 28
Pływalnia rodzinna, Białystok, ul. Stroma 28