warunki zlecenia windykacji

Transkrypt

warunki zlecenia windykacji
WARUNKI ZLECENIA WINDYKACJI NALEŻNOŚCI W RAMACH APLIKACJI MOBILNEJ „WINDYKOMAT”
1.
2.
3.
1.
§1
Zleceniodawca zleca Zleceniobiorcy odzyskanie wierzytelności potwierdzonej dołączoną do zlecenia fotografią dokumentu, z którego
owa wierzytelność wynika, w kwocie wskazanej w zleceniu, i upoważnia go do następujących czynności w jego imieniu:
a) Dochodzenia zapłaty w postępowaniu polubownym, które polega na podjęciu czynności zmierzających do zapłaty należności
przez Kontrahenta Zleceniodawcy, bez kierowania sprawy do postępowania sądowego. W zakres czynności wchodzą: kierowanie
przez Zleceniobiorcę do dłużnika wezwań do zapłaty, prowadzenie negocjacji zmierzających do dobrowolnej zapłaty, ustalenie
adresu miejsca zamieszkania lub siedziby dłużnika poprzez uzyskanie informacji z odpowiednich rejestrów lub baz
teleadresowych, jeśli okaże się, iż wskazany przez Zleceniodawcę adres nie jest aktualny.
b) Dochodzenia od dłużnika poniesionych przez Zleceniodawcę kosztów windykacji wynikających z niniejszego Zlecenia, w
przypadku wierzytelności wynikających z transakcji handlowych między przedsiębiorstwami, wymagalnych po dniu 27 kwietnia
2013 r., zgodnie z Ustawą o terminach zapłaty w transakcjach handlowych z dnia 8 marca 2013 r. Zleceniodawca upoważnia
Zleceniobiorcę do wystawienia dłużnikowi noty obciążeniowej na koszty windykacji w imieniu i na rzecz Zleceniodawcy,
stanowiącej równowartość wynagrodzenia Zleceniobiorcy określonego w niniejszym Zleceniu.
Aplikacja mobilna „Windykomat” umożliwia zlecenie windykacji w trybach:
a) Windykacja Standard – zlecenie zostaje przyjęte do obsługi najdalej w kolejnym dniu roboczym i wówczas są podejmowane
pierwsze czynności windykacyjne.
b) Windykacja Ekspres – Zleceniobiorca zobowiązuje się do rozpoczęcia działań windykacyjnych w ciągu 30 minut od zlecenia
windykacji, w formie kontaktu telefonicznego oraz mailowego. Kontakt jest realizowany w przypadku złożenia zlecenia
Windykacji Ekspres w dni robocze, w godzinach 8:00 – 20:00.
Proces dochodzenia zapłaty w postępowaniu polubownym jest okresem zamkniętym i trwa nie dłużej niż przez 90 dni od dnia zlecenia
windykacji. W przypadku zawarcia ugody w trakcie realizacji usługi lub w przypadku częściowych spłat zadłużenia we wskazanym
okresie Zleceniobiorca prowadzić będzie czynności aż do całkowitej spłaty zadłużenia lub do momentu, w którym ugoda przestanie
być realizowana albo dłużnik zaprzestanie dokonywać częściowych spłat. Przez zaprzestanie dokonywania wpłat rozumie się brak
wpłat przez okres 30 dni.
§2
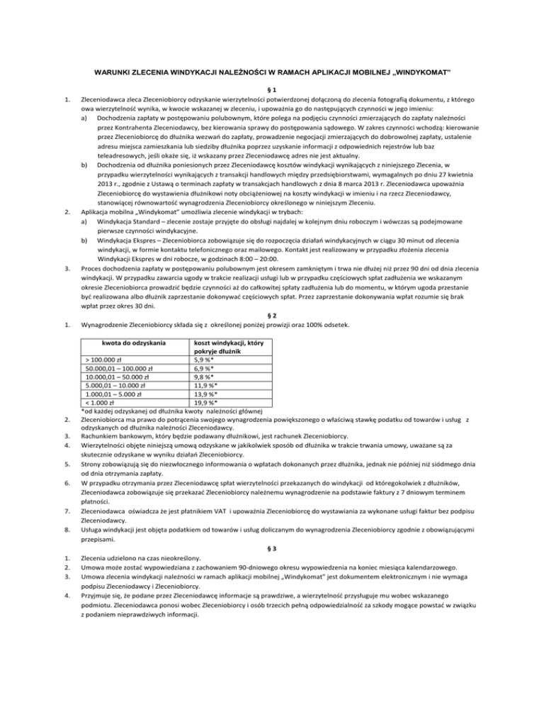
Wynagrodzenie Zleceniobiorcy składa się z określonej poniżej prowizji oraz 100% odsetek.
kwota do odzyskania
2.
3.
4.
5.
6.
7.
8.
1.
2.
3.
4.
koszt windykacji, który
pokryje dłużnik
> 100.000 zł
5,9 %*
50.000,01 – 100.000 zł
6,9 %*
10.000,01 – 50.000 zł
9,8 %*
5.000,01 – 10.000 zł
11,9 %*
1.000,01 – 5.000 zł
13,9 %*
< 1.000 zł
19,9 %*
*od każdej odzyskanej od dłużnika kwoty należności głównej
Zleceniobiorca ma prawo do potrącenia swojego wynagrodzenia powiększonego o właściwą stawkę podatku od towarów i usług z
odzyskanych od dłużnika należności Zleceniodawcy.
Rachunkiem bankowym, który będzie podawany dłużnikowi, jest rachunek Zleceniobiorcy.
Wierzytelności objęte niniejszą umową odzyskane w jakikolwiek sposób od dłużnika w trakcie trwania umowy, uważane są za
skutecznie odzyskane w wyniku działań Zleceniobiorcy.
Strony zobowiązują się do niezwłocznego informowania o wpłatach dokonanych przez dłużnika, jednak nie później niż siódmego dnia
od dnia otrzymania zapłaty.
W przypadku otrzymania przez Zleceniodawcę spłat wierzytelności przekazanych do windykacji od któregokolwiek z dłużników,
Zleceniodawca zobowiązuje się przekazać Zleceniobiorcy należnemu wynagrodzenie na podstawie faktury z 7 dniowym terminem
płatności.
Zleceniodawca oświadcza że jest płatnikiem VAT i upoważnia Zleceniobiorcę do wystawiania za wykonane usługi faktur bez podpisu
Zleceniodawcy.
Usługa windykacji jest objęta podatkiem od towarów i usług doliczanym do wynagrodzenia Zleceniobiorcy zgodnie z obowiązującymi
przepisami.
§3
Zlecenia udzielono na czas nieokreślony.
Umowa może zostać wypowiedziana z zachowaniem 90-dniowego okresu wypowiedzenia na koniec miesiąca kalendarzowego.
Umowa zlecenia windykacji należności w ramach aplikacji mobilnej „Windykomat” jest dokumentem elektronicznym i nie wymaga
podpisu Zleceniodawcy i Zleceniobiorcy.
Przyjmuje się, że podane przez Zleceniodawcę informacje są prawdziwe, a wierzytelność przysługuje mu wobec wskazanego
podmiotu. Zleceniodawca ponosi wobec Zleceniobiorcy i osób trzecich pełną odpowiedzialność za szkody mogące powstać w związku
z podaniem nieprawdziwych informacji.
5.
6.
7.
8.
9.
1.
2.
3.
Na wniosek Zleceniobiorcy, Zleceniodawca jest zobowiązany do niezwłocznego przesłania drogą pocztową oryginałów dokumentów, z
których wynika wierzytelność oraz podpisanego i opieczętowanego formularza zlecenia windykacji i pełnomocnictwa, które otrzyma
drogą elektroniczną od Zleceniobiorcy na adres e-mail podany w zleceniu.
W sprawach nieuregulowanych umową mają zastosowanie przepisy kodeksu cywilnego.
Wszelkie spory wynikające z realizacji usługi będą rozstrzygane będą w sposób polubowny. W przypadku braku możliwości
polubownego rozstrzygnięcia sporu właściwym dla jego rozpatrzenia będzie Sąd właściwy dla Zleceniobiorcy.
Zleceniobiorca może w każdym czasie wycofać wierzytelność ze skutkiem rozwiązania umowy windykacji oświadczeniem złożonym
Zleceniodawcy na piśmie.
Zleceniobiorca zastrzega sobie prawo do odmowy przyjęcia zlecenia windykacji bez podania przyczyny, o czym niezwłocznie
poinformuje Zleceniodawcę drogą elektroniczną na adres e-mail podany w zleceniu.
§4
Zleceniodawca wyraża zgodę na przetwarzanie jego danych osobowych w procesie realizacji umowy, zgodnie z art. 24 ust. 1 ustawy z
dnia 29 sierpnia 1997 r. o ochronie danych osobowych (tekst jednolity: Dz.U. z 2002 r. nr 101, poz. 926 ze zm.).
Administratorem danych osobowych jest Zleceniobiorca. Dane osobowe przetwarzane będą w celu realizacji umowy oraz marketingu
produktów i usług Zleceniobiorcy i nie będą udostępniane innym odbiorcom. Zleceniodawca posiada prawo dostępu do treści swoich
danych oraz ich poprawiania. Podanie Zleceniobiorcy danych osobowych jest dobrowolne.
Po zawarciu umowy Zleceniodawca uzyska dostęp do Strefy Klienta zlokalizowanej pod adresem strefa.saf.com.pl. Podczas rejestracji
należy posłużyć się numerem NIP w celu wygenerowania jednorazowego hasła do pierwszego zalogowania się, które zostanie wysłane
na wskazany w zleceniu adres e-mail. Podczas pierwszego zalogowania system wymusi ustalenie właściwego hasła dostępu do Strefy
Klienta.