(MUMIO) semestr zimowy 2006/2007, termin

Transkrypt

(MUMIO) semestr zimowy 2006/2007, termin
MUMIO: Egzamin 2006 – rozwiązania
Paweł Lorek
Egzamin z matematyki ubezpieczeniowej (MUMIO) semestr zimowy
2006/2007, termin II
Data: 13.02.2007 Egzaminator: Ryszard Szekli
1. Niezależne
szkody mają rozkłady P (Xi = k) = exp(−1)/k!,
P (Yi = k) =
4+k
5
k
(1/3) (2/3) , k = 0, 1, . . . Niech S = X1 + . . . + X500 + Y1 + . . . + Y500 . Składka
k
pobierana od szkody S jest postaci (1 + θ)ES, dla pewnej stałej θ > 0. Wylicz
wartość tej stałej, aby szansa, że zebrana składka od wszystkich 1000 szkód pokryje
szkodę wynosiła 0.99
Rozwiązanie:
Xi mają rozkład Poisson(1), a Yi mają rozkładujemny dwumianowy z r = 5, p =
1/3. Zatem:
EX = V arX = 1, EY =
rq
p
= 5 · 32 ·
3
1
= 10, V arY =
rq
p2
S = X1 + . . . + X500 + Y1 + . . . + Y500
= 5 · 23 32 = 30.
ES = 500·EX +500·EY = 500+5000 = 5500, V arS = 500·V arX +500·V arY =
500 + 15000 = 15500.
Chcemy, by prawdopodobieństwo, iż zebrana składka pokryła szkodę wynosiło
0.99, tj.
P ((1 + θ)ES > S) = 0.99
P ((1 + θ)ES > S) = P
S − ES
θES
√
> √
V arS
V arS
gdzie Z ma rozkład N(0, 1). Zatem
√θ·ES
V arS
!
!
θES
≈P Z< √
,
V arS
= z0.99 = 3.09, stąd:
√
√
3.09 15500
3.09 V arS
=
≈ 0.0699
θ=
ES
5500
2. Szkoda X ma rozkład P (X > x) = 1/(1 + x)2 . Niech Id (X) oznacza kontrakt
stop-loss.
(a) Wylicz EI2 (X)
(b) Wylicz E((X − 2)+ |X > 2)
Rozwiązanie: Zauważmy, iż P (X > 0) =R 1. Skoro X jest nieujemną zmienną
losową to możemy skorzystać z: EId (X) = d∞ (1 − F (x))dx
(a) EI2 (X) =
R∞
2
1 ∞
|2 = 0 +
(1 − F (x)) = − 1+x
(b) E((X − 2)+ |X > 2) =
E((X−2)+ ,X>2)
P (X>2)
1
=
1
3
=
1/3
1/(1+2)2
1
3
=
1
3
·9=3
MUMIO: Egzamin 2006 – rozwiązania
Paweł Lorek
3. Rozważmy proces nadwyżki ubezpieczyciela z kontrolą wypłacalności raz do roku
Un = u + n − Sn , gdzie:
Sn = ni=1 Wi , Wi to zmienne losowe o rozkładzie Gamma o wartości oczekiwanej
równej 1/ ln 4 i wariancji równej także 1/ ln 4. Wylicz współczynnik dopasowania
(adjustment coefficient) R dla tego procesu.
P
Rozwiązanie. Dla zmiennej losowej W o rozkładzie Γ(α, β) mamy EW =
1/ ln 4, V arW = βα2 = 1/ ln 4. Stąd α = 1/ ln 4, β = 1.
α
β
=
R to dodatnie rozwiązanie równania MW (r) = er .
β
β−r
!α
1
1−r
1
1
ln
ln 4
1−r
=r
MW (r) =
=
1/ ln 4
= er
Logarytmując obie strony otrzymujemy
1
= ln(4r )
ln
1−r
Z powyższego widać, iż rozwiązaniem jest R = 12 .
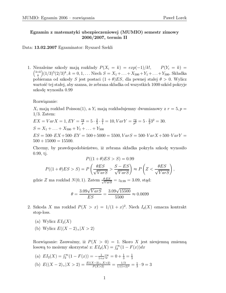
4. Szkoda X i szkoda Y przyjmują wartości między 0 i 5 posiadając łączną gęstość
f (x, y) = (1/50) ∗ I(0,5)×(0,5) (x, y) + (1/2)I(2,3)×(2,3) (x, y).
(a) Wylicz E(X|Y = 2.65)
(b) Wylicz P (X + Y > 5)
Rozwiązanie:
(a) Rozkład jest symetryczny, zatem E(X|Y = 2.65) = 2.5
Chyba, że ktoś lubi wzorki... to można i tak:
R
1 R5
1 R3
f (y) = (f (x, y)dx = 50
0 I(0,5) (y) + 2 2 I(2,3) (y) =
fX|Y =y (x, y) =
f (x,y)
,
f (y)
fX|Y =2.65 (x, y) =
1
I (y)
10 (0,5)
+ 12 I(2,3) (y).
zatem
1
I (x)
50 (0,5)
1
10
+ 21 I(2,3) (x)
10 1
1
=
· I(0,5) (x) + I(2,3) (x)
1
+2
6 50
2
Stąd
1Z 3
10
10 1 Z 5
x+
x =
E(X|Y = 2.65) =
6 50 0
2 2
6
1 x2 5 1 2 3
| + x |2 =
50 2 0 2
10 6
10
10 1 25 1 5
=
·
+ ·
· =
= 2.5
6 50 2
2 2
6 4
4
2
!
MUMIO: Egzamin 2006 – rozwiązania
Paweł Lorek
5
4
3
b
2.5
2
1
1
2 2.5 3
4
5
Rysunek 1: Łączny rozkład f (x, y)
(b) P (X + Y > 5) = P (Y > −X + 5), a to jest zakreskowany obszar widoczny na
Rys. 1, który stanowi dokładnie połowę całej masy. Zatem P (X +Y > 5) = 12 .
5. Szkoda X ma rozkład geometryczny P (X = k) = p(1 − p)(k−1) , z p = 0.8 dla
k ∈ {1, 2, . . .}
(a) Wylicz funkcję prawdopodobieństwa rozkładu resztowego zmiennej X
(b) w modelu dyskretnym Rn = 1 + n − Sn o szkodach Xi mających taki sam
rozkład jak zmienne (X − 1)+ wylicz prawdopodobieństwo ruiny.
Rozwiązanie:
(a) Wyliczymy najpierw funkcję tworzącą prawdopodobieństwa rozkładu resztowego X - oznaczmy ten rozkład przez X̃. Funkcja tworząca prawdopodobieńpt
stwa zmiennej losowej X to PX (t) = 1−qt
, a średnia EX = 1p zatem
pt
1 1 − 1−qt
1−t 1
p
1 1 − PW (t)
= 1
=p
=
.
PX̃ (t) =
EX 1 − t
1−t
1 − qt 1 − t
1 − qt
p
To co otrzymaliśmy to funkcja tworząca prawdopodobieństwa rozkładu geometrycznego p(1 − p)k , k = 0, 1, 2, . . . zatem:
Odpowiedź: P (X̃ = k) = p(1 − p)k = 0.8 · (0.2)k , k = 0, 1, 2, . . .
(b) Mamy Rn = 1 + n − Sn , Sn = ni=1 Yi, gdzie Yi ma taki rozkład jak (X − 1).
Widać, iż jest to rozkład geometryczny z tym samym parametrem p z tą
róznicą, że może przyjmować wartości 0, 1, 2, . . ., tj P (Y = k) = p(1−p)k , k =
0, 1, . . .. Rozkład resztowy takiego rozkładu to ten sam rozkład (EY = pq ):
P
p
PỸ (t) =
p q(1 − t) 1
p
1 1 − 1−qt
=
=
= PY (t)
q
1
−
t
q
1
−
qt
1
−
t
1
−
qt
p
3
MUMIO: Egzamin 2006 – rozwiązania
Paweł Lorek
Prawdopobieństwo ruiny w zależności od kapitału początkowego u można
wyrazić poprzez ogon zmiennej M: Ψ(u) = P (M > u), gdzie M ma złożony
rozkład geometryczny z funkcją tworzącą prawdopodobieństwa:
PM (t) =
q
p
q p
p 1−qt
1−
1−
=
p−q
p
1
1−qt−q
1−qt
=
2p − 1 1 − qt
·
p
p − qt
Ψ(1) = P (M > 1) = 1 − (P (M = 0) + P (M = 1)).
15
′
, P (M = 1) = PM
(t)|t=0 .
P (M = 0) = PM (0) = 16
Liczymy pochodną
′
PM
(t) =
(2p − 1)q 2
2p − 1 −q(p − qt) − (1 − qt)(−q)
=
p
(p − qt)2
p(p − qt)2
′
PM
(0) =
(2p − 1)q 2
(2 · 8/10 − 1) · (2/10)2
3
=
=
3
3
p
(8/10)
64
Zatem
15
+
Ψ(1) = P (M > 1) = 1 − (P (M = 0) + P (M = 1)) = 1 − ( 16
0.015625
3
)
64
=
1
64
=
6. Zmienna losowa X przyjmuje wartości nieujemne. Wiemy, że FX (4) = 0.2, E(X −
4)+ = 10, FX (6) = 0.6, E(X − 6)+ 9. Wylicz wartość E(X|4 < X ¬ 6).
Rozwiązanie:
E(X|4 < X ¬ 6) =
E(X, 4 < X ¬ 6) =
E(X,4<X¬6)
P (4<X¬6)
R6
4
=
E(X,4<X¬6)
FX (6)−FX (4)
xdF (x).
1 = 10 − 9 = E(X − 4)+ − E(X − 6)+ = 10 − 9 =
Z
4
=
Z
6
4
∞
xdF (x) − 4
Z
∞
4
dF (x) −
Z
dF (x)−4(1−F (4))+6(1−F (6)) =
Stąd E(X, 4 < X ¬ 6) =
Ostatecznie
R6
4
∞
6
Z
4
xdF (x) = 1 +
6
xdF (x) − 6
Z
t
∞
8
4
dF (x)−4· +6·
=
10
10
8
10
=
dF (x) =
Z
4
6
dF (x)−
8
10
18
.
10
8
E(X, 4 < X ¬ 6)
18 10
10
E(X|4 < X ¬ 6) =
=
=
·
= 4.5
FX (6) − FX (4)
0.6 − 0.2
10 4
7. Niech R(t) = u + c · t − S(t) będzie procesem rezerwy ubezpieczyciela w czasie
ciągłym.
• S(t) jest złożonym procesem Poisona z parametrem λ = 1,
• wartość pojedynczej szkody Y ma rozkład wykładniczy z parametrem 1,
4
MUMIO: Egzamin 2006 – rozwiązania
Paweł Lorek
• składka c zawiera współczynnik bezpieczeństwa θ = 0.2, co zapewnia, iż
prawdopodobieństwo ruiny Ψ(u) = 1/10 dla ustalonego u.
Udziałowcy zwiększyli nadwyżkę początkową dwukrotnie - do wysokości 2 · u.
Zakładając, iż wszystkie pozostałe parametry procesu nie uległy zmianie, wylicz
prawdopodobieństwo ruiny.
Rozwiązanie:
Najpierw wyliczymy u, dla którego, przy powyższych danych, Ψ(u) = 1/10. Składka c = (1 + θ)λEY = (1 + 0.2) · 1 · 1 = 1.2. Gdy szkody mają rozkład wykładniczy
z parametrem 1 to prawdopodobieństwo ruiny wyraża się wzorem:
θ
1
10 2 10
1
12
e− 1+θ ·u
= e− 10 · 12 ·u =
⇐⇒ e− 6 ·u =
Ψ(u) =
1+θ
12
10
100
Stąd u = 6 ln( 100
) Zatem dla przy podwojonej nadwyżce początkowej mamy
12
Ψ(2 · u) = Ψ 12 ln(
12 2
100
10 12 100
10
10 12
) = e− 6 ln( 2 ) = eln(( 100 ) ) =
12
12
12
12 100
2
= 0.012
8. Ilość szkód w pierwszym portfelu N1 ma rozkład Poissona z parametrem 2, indywidualne, niezależne szkody Xi , i ­ 1 (X0 = 0) mają rozkład wykładniczy o wartości
średniej 1. Sumaryczna szkoda w tym portfelu wynosi S1 = X0 + X1 + . . . + XN1 .
W drugim portfelu ilość szkód N2 ma rozkład Poissona z parametrem 4 i indywidualne szkody w tym portfelu Yi są niezależne o rozkładzie równomiernym na
{1, 3}, sumarycznie S2 = Y0 + . . . + YN2 (Y0 = 0). Oba portfele są niezależne. Niech
S = S1 + S2 . Wylicz:
(a) P (S = 0)
(b) E(S 2 )
Rozwiązanie:
(a) Jeśli wystąpią jakiekolwiek szkody (niezależnie w którym portfelu) to z prawdopodobieństwem 1 są one dodatnie. Zatem jedyna możliwość, aby S = 0 to
sytuacją, w której w obu portfelach jest 0 szkód.
P (S = 0) = P (N1 = 0) · P (N2 = 0) = e−2 e−4 = e−6 ≈ 0.00247875
(b) Dla S = N
i=1 Ti wariancję możemy wyliczyć ze wzoru V arS = V arT EN +
(ET )2 V arN. Ponieważ S = S1 +S2 i S1 , S2 są niezależne, to V arS = V arS1 +
V arS2 .
EX = 1, V arX = 1, EN1 = 2, V arN1 = 2, EN2 = 4, V arN2 = 4
EY = 21 (1 + 3) = 2, E(Y 2 ) = 21 (12 + 32 ) = 5, V arY = 5 − 22 = 1
ES = ES1 + ES2 = EN1 EX + EN2 EY = 2 · 1 + 4 · 2 = 10
V arS1 = 1 · 2 + 12 · 2 = 4, V arS2 = 1 · 4 + 22 · 4 = 24.
Zatem:
E(S 2 ) = V arS + (ES)2 = 24 + (10)2 = 124
P
5
MUMIO: Egzamin 2006 – rozwiązania
Paweł Lorek
9. Funkcję użyteczności u(w) = −e−2w wykoszystano do wyliczenia gotowości G do
płacenia za ubezpieczenie ryzyka X (tzn. u(w − G) = Eu(w − X)). Zakładamy, że
kapitał początkowy w = 1.
(a) Wylicz G jeśli X ma rozkład Poissona z parametrem λ = 1
(b) Wylicz G jeśli X ma rozkład geometryczny P (X = k) = p(1 − p)k , k ­ 0, z
parametrem p = 9/10.
Rozwiązanie:
u(w − G) = Eu(w − X) ⇐⇒ −e−2(1−G) = E(−e−2(1−G) )
−e−2 e2G = −e−2 Ee2X ⇐⇒ e2G = MX (2). Stąd G =
t
(a) X - Poisson(1). MX (t) = eλ(e −1) = ee
3.19453
2 −1
(b) X - Geo(9/10), k = 0, 1, . . .. MX (t) =
9
G = 21 ln( 10−e
2 ) ≈ 0.618756
1
2
ln (MX (2))
. Zatem G =
p
1−qet
=
1
2
ln(ee
9/10
1−1/10et
=
2 −1
)=
9
.
10−et
e2 −1
2
≈
Zatem
10. Dwie niezależne sumaryczne szkody S1 , S2 mają złożone rozkłady geometryczne.
P 1
PN2
S1 ∼ N
i=0 Xi , S2 ∼
i=0 Yi , gdzie Xi mają rozkład geometryczny na 1, 2, 3, . . .
o wartości średniej 2 oraz Yi mają rozkład geometryczny na 1, 2, 3, . . . o wartości
6 (przyjmujemy X0 = Y0 = 0) oraz P (N1 = 0) = 1/9, P (N2 = 0) = 1/3. Niech
S = S1 + S2
(a) Wlicz P (S1 = 1)
(b) Wylicz P (S = 0)
Rozwiązanie:
EX = p1x = 2, zatem px = 21 . Podobnie EY = p1y = 6 daje py = 16 . N1 , N2
mają z założenia rozkłady geometryczne, oznaczmy ich parametry przez p1 i p2
odpowiednio. Tj. P (N1 = k) = p1 (1 − p1 )k oraz P (N2 = k) = p2 (1 − p2 )k . Z
P (N1 = 0) = 1/9, P (N2 = 0) = 1/3 mamy, iż p1 = 19 i p2 = 13
(a) Ponieważ szkody Xi są ściśle dodatnie to istnieje jedna możliwość, by S1 = 1,
mianowiście musi wystąpić jedna szkoda i musi ona wynosić 1. P (S1 = 1) =
4
≈
P (N1 = 1, X1 = 1) = P (N1 = 1)P (X1 = 1) = p1 (1 − p1 ) 21 = 91 · 89 · 21 = 81
0.04938
(b) Ponieważ szkody Xi oraz Yi są ściśle dodatnie, to jedyna możliwość, by S =
S1 + S2 = 0 to, by w ogóle nie wystąpiły szkody: P (S = 0) = P (S1 =
1
≈ 0.037037.
0)P (S2 = 0) = P (N1 = 0)P (N2 = 0) = 91 · 13 = 27
6