Zalacznik do zarzadzenia - debica

Transkrypt

Zalacznik do zarzadzenia - debica
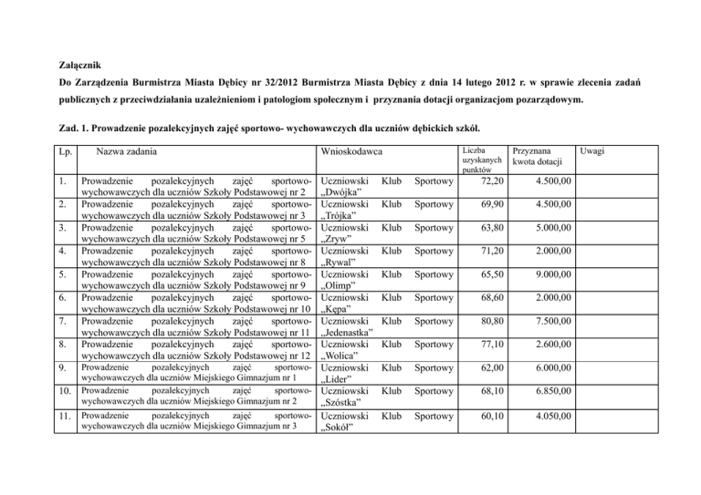
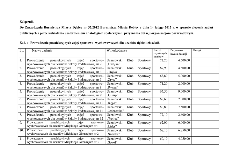
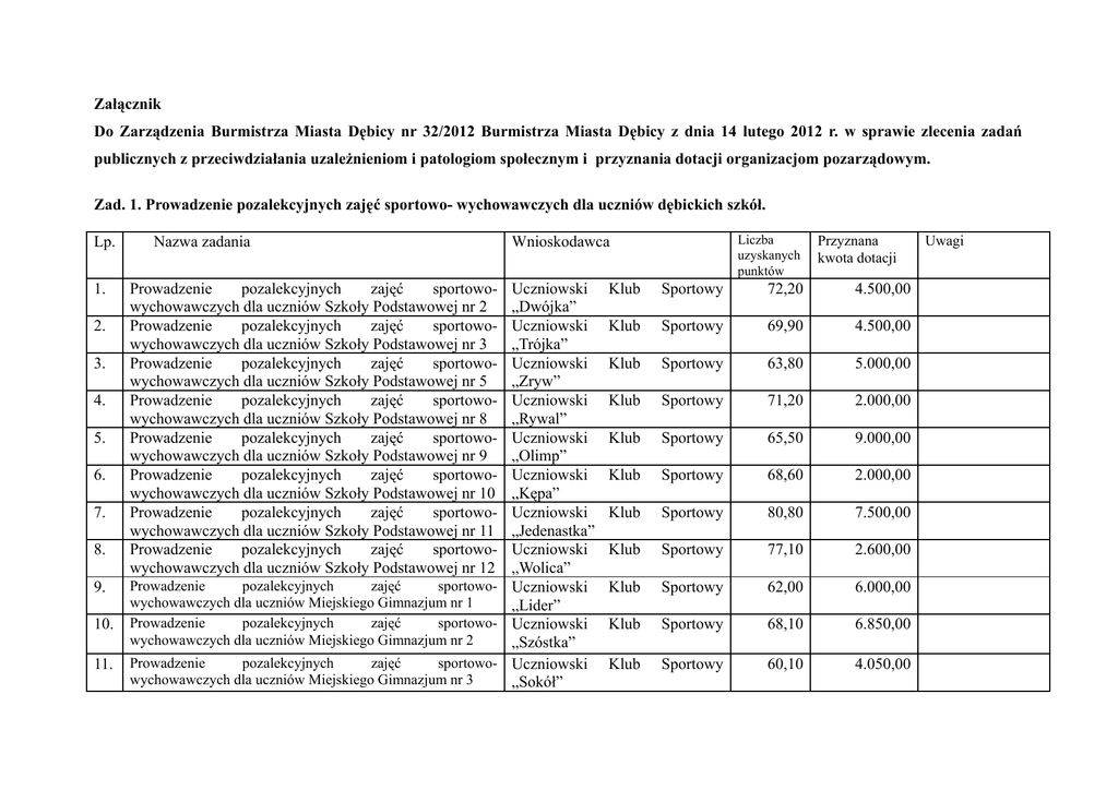
Załącznik
Do Zarządzenia Burmistrza Miasta Dębicy nr 32/2012 Burmistrza Miasta Dębicy z dnia 14 lutego 2012 r. w sprawie zlecenia zadań
publicznych z przeciwdziałania uzależnieniom i patologiom społecznym i przyznania dotacji organizacjom pozarządowym.
Zad. 1. Prowadzenie pozalekcyjnych zajęć sportowo- wychowawczych dla uczniów dębickich szkół.
Lp.
1.
2.
3.
4.
5.
6.
7.
8.
9.
10.
11.
Nazwa zadania
Prowadzenie
pozalekcyjnych
zajęć
sportowowychowawczych dla uczniów Szkoły Podstawowej nr 2
Prowadzenie
pozalekcyjnych
zajęć
sportowowychowawczych dla uczniów Szkoły Podstawowej nr 3
Prowadzenie
pozalekcyjnych
zajęć
sportowowychowawczych dla uczniów Szkoły Podstawowej nr 5
Prowadzenie
pozalekcyjnych
zajęć
sportowowychowawczych dla uczniów Szkoły Podstawowej nr 8
Prowadzenie
pozalekcyjnych
zajęć
sportowowychowawczych dla uczniów Szkoły Podstawowej nr 9
Prowadzenie
pozalekcyjnych
zajęć
sportowowychowawczych dla uczniów Szkoły Podstawowej nr 10
Prowadzenie
pozalekcyjnych
zajęć
sportowowychowawczych dla uczniów Szkoły Podstawowej nr 11
Prowadzenie
pozalekcyjnych
zajęć
sportowowychowawczych dla uczniów Szkoły Podstawowej nr 12
Liczba
uzyskanych
punktów
Wnioskodawca
Uczniowski
„Dwójka”
Uczniowski
„Trójka”
Uczniowski
„Zryw”
Uczniowski
„Rywal”
Uczniowski
„Olimp”
Uczniowski
„Kępa”
Uczniowski
„Jedenastka”
Uczniowski
„Wolica”
Prowadzenie
pozalekcyjnych
zajęć
sportowo- Uczniowski
wychowawczych dla uczniów Miejskiego Gimnazjum nr 1
„Lider”
Prowadzenie
pozalekcyjnych
zajęć
sportowo- Uczniowski
wychowawczych dla uczniów Miejskiego Gimnazjum nr 2
„Szóstka”
Prowadzenie
pozalekcyjnych
zajęć
sportowo- Uczniowski
wychowawczych dla uczniów Miejskiego Gimnazjum nr 3
„Sokół”
Przyznana
kwota dotacji
Klub
Sportowy
72,20
4.500,00
Klub
Sportowy
69,90
4.500,00
Klub
Sportowy
63,80
5.000,00
Klub
Sportowy
71,20
2.000,00
Klub
Sportowy
65,50
9.000,00
Klub
Sportowy
68,60
2.000,00
Klub
Sportowy
80,80
7.500,00
Klub
Sportowy
77,10
2.600,00
Klub
Sportowy
62,00
6.000,00
Klub
Sportowy
68,10
6.850,00
Klub
Sportowy
60,10
4.050,00
Uwagi
Lp. Nazwa zadania
Wnioskodawca
Liczba
uzyskanych
punktów
12.
Prowadzenie
pozalekcyjnych
zajęć
sportowo- Uczniowski
wychowawczych dla uczniów Miejskiego Gimnazjum nr 4
„Tim”
13.
Prowadzenie
pozalekcyjnych
zajęć
sportowo- Dębickie Bractwo Kulkowe
wychowawczych dla uczniów dębickich szkół.
Ogółem:
Klub
Sportowy
Przyznana Uwagi
kwota dotacji
80,60
6.000,00
49,65
0,00
60.000,00
Zad. Nr 2. Prowadzenie pozalekcyjnych zajęć i organizacja imprez sportowych dla dzieci i młodzieży wykazującej zainteresowanie
specjalistycznym szkoleniem w wybranych dyscyplinach sportu
Lp.
1.
2.
3.
4.
5.
Nazwa zadania
Prowadzenie pozalekcyjnych zajęć sportowych dla dzieci
i młodzieży w ramach turnieju piłki nożnej „Mundialito”
– Mini EURO 2012.
Zorganizowanie pozalekcyjnych zajęć sportowych
dla dzieci w ramach olimpiady przedszkolaków.
Zorganizowanie pozalekcyjnych zajęć sportowych dla
dzieci w ramach turnieju piłki nożnej pn. „Tato podaj –
mamo strzelaj”.
Prowadzenie zajęć sportowych w piłce nożnej dla
młodzików starszych i ich udział w rozgrywkach Ligii
Podkarpackiej.
Prowadzenie pozalekcyjnych zajęć i organizacja imprez
sportowych dla dzieci i młodzieży wykazującej
zainteresowanie specjalistycznym szkoleniem w wybranych
dyscyplinach sportu – judo.
Liczba
uzyskanych
punktów
Wnioskodawca
Przyznana
kwota dotacji
Uczniowski
„Dwójka”.
Klub
Sportowy
91,50
4.700,00
Uczniowski
„Olimp”.
Uczniowski
„Olimp”.
Klub
Sportowy
91,25
3.000,00
Klub
Sportowy
90,45
3.000,00
Uczniowski
„Olimp”.
Klub
Sportowy
84,75
4.000,00
Uczniowski
„Kępa”.
Klub
Sportowy
85,75
3.700,00
Uwagi
6.
7.
8.
9.
10.
11.
12.
13.
Ilość
uzyskanych
punktów
Nazwa zadania
Wnioskodawca
Przyznana
kwota dotacji
Prowadzenie pozalekcyjnych zajęć i organizacja imprez
sportowych dla dzieci i młodzieży wykazującej
zainteresowanie specjalistycznym szkoleniem w wybranych
dyscyplinach sportu – tenis stołowy
Prowadzenie pozalekcyjnych zajęć sportowych w tenisie
stołowym.
Prowadzenie pozalekcyjnych zajęć sportowych dla dzieci
i młodzieży w piłce nożnej połączony z wyjazdem na
turniej piłkarski.
Uczniowski
„Kępa”.
Klub
Sportowy
82,95
10.000,00
Uczniowski
„Junak”.
Uczniowski
„Szóstka”.
Klub
Sportowy
69,00
1.500,00
Klub
Sportowy
84,88
10.000,00
Prowadzenie pozalekcyjnych zajęć sportowych dla dzieci Uczniowski Klub Hokejowy
i młodzieży w hokeju na lodzie.
Dębica.
Prowadzenie pozalekcyjnych zajęć w pływaniu.
Międzyszkolny Klub Pływacki
„Bobry”.
„Organizacja i przeprowadzenie ogólnomiejskiej ligii Dębickie Bractwo Kulkowe
gimnazjów w PETANQUE.
Prowadzenie pozalekcyjnych zajęć i organizacja imprez Ludowy Klub Sportowy
sportowych dla dzieci i młodzieży wykazującej „Igloopol”.
zainteresowanie specjalistycznym szkoleniem w wybranych
dyscyplinach sportu.
Prowadzenie pozalekcyjnych zajęć i organizacja imprez Uczniowski Klub Sportowy
sportowych dla dzieci i młodzieży wykazującej „Kępa”.
zainteresowanie specjalistycznym szkoleniem w wybranych
dyscyplinach sportu – akrobatyka.
88,75
25.000,00
93,25
30.000,00
77,75
5.000,00
74,75
10.000,00
Uwagi
Oferta nie
spełnia
wymogów
formalnych ,
w związku z
cym została
odrzucona
Nazwa zadania
Wnioskodawca
Lp.
14.
Prowadzenie pozalekcyjnych zajęć i organizacja imprez Uczniowski Klub Sportowy
sportowych dla dzieci i młodzieży wykazującej „Kępa”.
zainteresowanie specjalistycznym szkoleniem w wybranych
dyscyplinach sportu - BRD -CYKLOTRIAL
15.
Prowadzenie zajęć sportowych w piłce nożnej chłopców Uczniowski Klub Sportowy
w wieku 5-10 lat w dziecięcej Akademii Piłkarskiej.
„Szóstka”.
16.
Prowadzenie pozalekcyjnych zajęć sportowych w piłce Uczniowski Klub Sportowy
nożnej dziewcząt i udział w Podkarpackiej Lidze Juniorek „Szóstka”.
Starszych.
17.
Prowadzenie pozalekcyjnych zajęć sportowych w lekkiej Międzyszkolny Uczniowski
atletyce dziewcząt i chłopców.
Klub Lekkiej Atletyki.
Ilość
uzyskanych
punktów
Przyznana Uwagi
kwota dotacji
Oferta nie
spełnia
wymogów
formalnych ,
w związku z
cym została
odrzucona
Oferta nie
spełnia
wymogów
formalnych ,
w związku z
cym została
odrzucona
Oferta nie
spełnia
wymogów
formalnych ,
w związku z
cym została
odrzucona
Oferta nie
spełnia
wymogów
formalnych ,
w związku z
czym została
odrzucona
Lp. Nazwa zadania
Wnioskodawca
18.
Prowadzenie
pozalekcyjnych
w łyżwiarstwie figurowych
19.
Prowadzenie pozalekcyjnych zajęć sportowych w piłce Międzyszkolny Klub Sportowy
nożnej dla dzieci i młodzieży na Osiedlu „Rzeszowska”
20.
Prowadzenie pozalekcyjnych zajęć sportowych w karate.
21.
Prowadzenie pozalekcyjnych zajęć sportowych w karate Dębicka Akademia Karate
tradycyjnym.
Tradycyjnego
zajęć
sportowych Uczniowski Klub Sportowy
„MORSY”
Dębicki Klub Kyokushin Karate
Ilość
uzyskanych
punktów
Przyznana Uwagi
kwota dotacji
Oferta nie
spełnia
wymogów
formalnych ,
w związku z
czym została
odrzucona
Oferta nie
spełnia
wymogów
formalnych ,
w związku z
czym została
odrzucona
Oferta nie
spełnia
wymogów
formalnych , w
związku z
czym została
odrzucona
Oferta nie
spełnia
wymogów
formalnych , w
związku z
czym została
odrzucona
Lp. Nazwa zadania
Wnioskodawca
22.
Prowadzenie pozalekcyjnych zajęć i organizacja imprez Ludowy Klub Sportowy
sportowych dla dzieci i młodzieży wykazującej „Igloopol”.
zainteresowanie specjalistycznym szkoleniem w wybranych
dyscyplinach sportu.
23.
Prowadzenie pozalekcyjnych zajęć i organizacja imprez Ludowy Klub Sportowy
sportowych dla dzieci i młodzieży wykazującej „Igloopol”.
zainteresowanie specjalistycznym szkoleniem w wybranych
dyscyplinach sportu.
Ogółem:
Ilość
uzyskanych
punktów
Przyznana Uwagi
kwota dotacji
Oferta nie
spełnia
wymogów
formalnych , w
związku z
czym została
odrzucona
Oferta nie
spełnia
wymogów
formalnych , w
związku z
czym została
odrzucona
109.900,00