Analityczna metoda obliczania oporu podłoża wg EC7

Transkrypt

Analityczna metoda obliczania oporu podłoża wg EC7
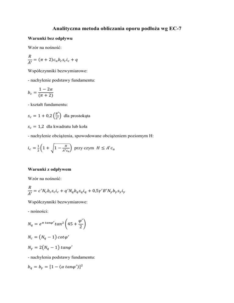
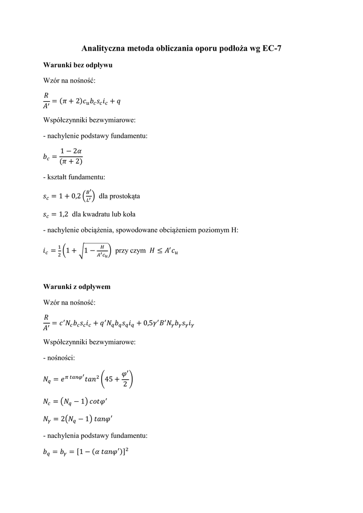
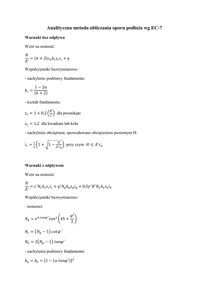
Analityczna metoda obliczania oporu podłoża wg EC-7
Warunki bez odpływu
Wzór na nośność:
Współczynniki bezwymiarowe:
- nachylenie podstawy fundamentu:
- kształt fundamentu:
dla prostokąta
dla kwadratu lub koła
- nachylenie obciążenia, spowodowane obciążeniem poziomym H:
przy czym
Warunki z odpływem
Wzór na nośność:
Współczynniki bezwymiarowe:
- nośności:
- nachylenia podstawy fundamentu:
- kształt fundamentu:
dla prostokąta
dla kwadratu lub koła
dla prostokąta
dla kwadratu lub koła
dla prostokąta, kwadratu lub koła
- nachylenie obciążenia, spowodowanego obciążeniem poziomym H:
gdzie:
gdy H działa w kierunku B’
gdy H działa w kierunku L’
przy czym:
oraz: