Przymiotnik ogólna charakterystyka Odmiana

Transkrypt

Przymiotnik ogólna charakterystyka Odmiana
Język rosyjski
Przymiotnik
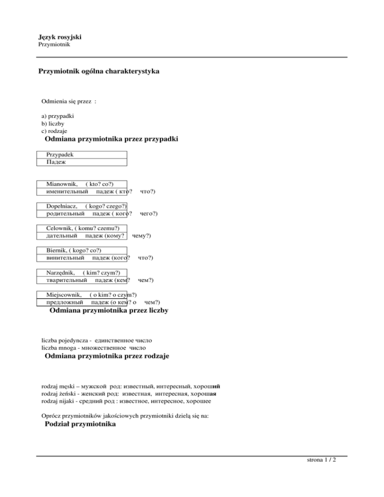
Przymiotnik ogólna charakterystyka
Odmienia się przez :
a) przypadki
b) liczby
c) rodzaje
Odmiana przymiotnika przez przypadki
Przypadek
Падеж
Mianownik, ( kto? co?)
именительный падеж ( кто?
что?)
Dopełniacz, ( kogo? czego?)
родительный падеж ( кого?
чего?)
Celownik, ( komu? czemu?)
дательный падеж (кому?
чему?)
Biernik, ( kogo? co?)
винительный падеж (кого?
что?)
Narzędnik, ( kim? czym?)
тварительный падеж (кем?
чем?)
Miejscownik,
предложный
( o kim? o czym?)
падеж (о кем? о
чем?)
Odmiana przymiotnika przez liczby
liczba pojedyncza - единственное число
liczba mnoga - множественное число
Odmiana przymiotnika przez rodzaje
rodzaj męski – мужской род: известный, интересный, хороший
rodzaj żeński - женский род: известная, интересная, хорошая
rodzaj nijaki - средний род : известное, интересное, хорошее
Oprócz przymiotników jakościowych przymiotniki dzielą się na:
Podział przymiotnika
strona 1 / 2
Język rosyjski
Przymiotnik
Przymiotnik zależny jest od rzeczownika pod względem liczby, rodzaju, osoby. Np. jeśli rzeczownik девушка
występuje w mianowniku liczby pojedynczej, rodzaju żeńskiego to przymiotnik хороший także powinien wystąpić w
mianowniku liczby pojedynczej rodzaju żeńskiego – харошая : харошая девушка
Oprócz przymiotników jakościowych dzielą się przymiotniki na:
względne –относительные
dzierżawcze – притяжательные отцовый – ojcowski/ маминый – maminy/ рыбий - rybi рыбья –rybia, рыбье
– rybie, рыбьи –rybie.
porządkowe - порядковые первой- pierwszy/ второй – drugi/ третьий-trzeci
Przymiotniki tworzą :
przysłówki (наречия) на -о/-е/и
весёлый – wesoły (przymiotnik) – весело –wesoło (przysłówek)
strona 2 / 2