staż w Urzędzie Miasta Iławy

Transkrypt

staż w Urzędzie Miasta Iławy
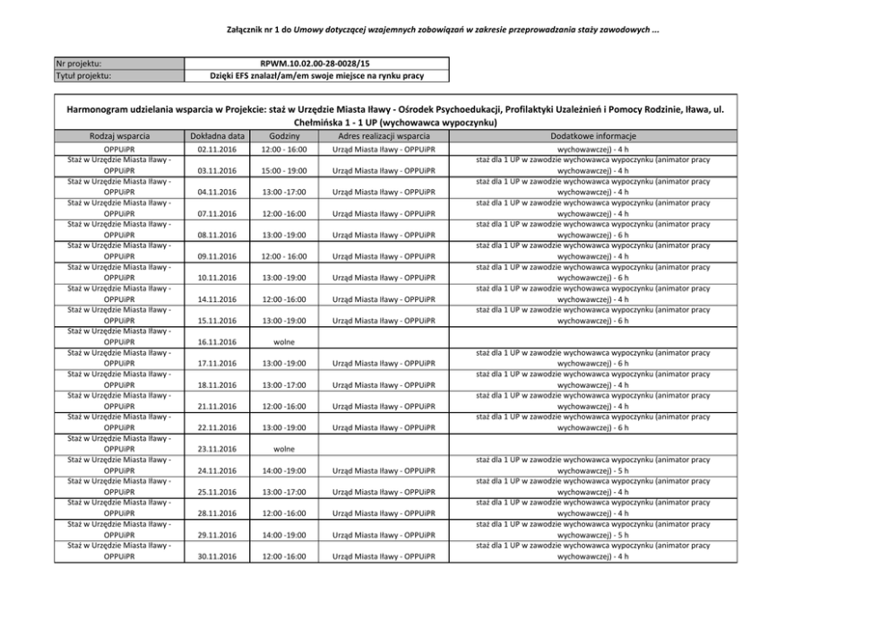
Załącznik nr 1 do Umowy dotyczącej wzajemnych zobowiązań w zakresie przeprowadzania staży zawodowych ...
Nr projektu:
Tytuł projektu:
RPWM.10.02.00-28-0028/15
Dzięki EFS znalazł/am/em swoje miejsce na rynku pracy
Harmonogram udzielania wsparcia w Projekcie: staż w Urzędzie Miasta Iławy - Ośrodek Psychoedukacji, Profilaktyki Uzależnień i Pomocy Rodzinie, Iława, ul.
Chełmińska 1 - 1 UP (wychowawca wypoczynku)
wsparcia
Staż wRodzaj
Urzędzie
Miasta Iławy OPPUiPR
Staż w Urzędzie Miasta Iławy OPPUiPR
Staż w Urzędzie Miasta Iławy OPPUiPR
Staż w Urzędzie Miasta Iławy OPPUiPR
Staż w Urzędzie Miasta Iławy OPPUiPR
Staż w Urzędzie Miasta Iławy OPPUiPR
Staż w Urzędzie Miasta Iławy OPPUiPR
Staż w Urzędzie Miasta Iławy OPPUiPR
Staż w Urzędzie Miasta Iławy OPPUiPR
Staż w Urzędzie Miasta Iławy OPPUiPR
Staż w Urzędzie Miasta Iławy OPPUiPR
Staż w Urzędzie Miasta Iławy OPPUiPR
Staż w Urzędzie Miasta Iławy OPPUiPR
Staż w Urzędzie Miasta Iławy OPPUiPR
Staż w Urzędzie Miasta Iławy OPPUiPR
Staż w Urzędzie Miasta Iławy OPPUiPR
Staż w Urzędzie Miasta Iławy OPPUiPR
Staż w Urzędzie Miasta Iławy OPPUiPR
Staż w Urzędzie Miasta Iławy OPPUiPR
Staż w Urzędzie Miasta Iławy OPPUiPR
Dokładna data
Godziny
Adres realizacji wsparcia
02.11.2016
12:00 - 16:00
Urząd Miasta Iławy - OPPUiPR
03.11.2016
15:00 - 19:00
Urząd Miasta Iławy - OPPUiPR
04.11.2016
13:00 -17:00
Urząd Miasta Iławy - OPPUiPR
07.11.2016
12:00 -16:00
Urząd Miasta Iławy - OPPUiPR
08.11.2016
13:00 -19:00
Urząd Miasta Iławy - OPPUiPR
09.11.2016
12:00 - 16:00
Urząd Miasta Iławy - OPPUiPR
10.11.2016
13:00 -19:00
Urząd Miasta Iławy - OPPUiPR
14.11.2016
12:00 -16:00
Urząd Miasta Iławy - OPPUiPR
15.11.2016
13:00 -19:00
Urząd Miasta Iławy - OPPUiPR
16.11.2016
wolne
17.11.2016
13:00 -19:00
Urząd Miasta Iławy - OPPUiPR
18.11.2016
13:00 -17:00
Urząd Miasta Iławy - OPPUiPR
21.11.2016
12:00 -16:00
Urząd Miasta Iławy - OPPUiPR
22.11.2016
13:00 -19:00
Urząd Miasta Iławy - OPPUiPR
23.11.2016
wolne
24.11.2016
14:00 -19:00
Urząd Miasta Iławy - OPPUiPR
25.11.2016
13:00 -17:00
Urząd Miasta Iławy - OPPUiPR
28.11.2016
12:00 -16:00
Urząd Miasta Iławy - OPPUiPR
29.11.2016
14:00 -19:00
Urząd Miasta Iławy - OPPUiPR
30.11.2016
12:00 -16:00
Urząd Miasta Iławy - OPPUiPR
Dodatkowe
informacje
staż dla 1 UP w zawodzie
wychowawca
wypoczynku (animator pracy
wychowawczej) - 4 h
staż dla 1 UP w zawodzie wychowawca wypoczynku (animator pracy
wychowawczej) - 4 h
staż dla 1 UP w zawodzie wychowawca wypoczynku (animator pracy
wychowawczej) - 4 h
staż dla 1 UP w zawodzie wychowawca wypoczynku (animator pracy
wychowawczej) - 4 h
staż dla 1 UP w zawodzie wychowawca wypoczynku (animator pracy
wychowawczej) - 6 h
staż dla 1 UP w zawodzie wychowawca wypoczynku (animator pracy
wychowawczej) - 4 h
staż dla 1 UP w zawodzie wychowawca wypoczynku (animator pracy
wychowawczej) - 6 h
staż dla 1 UP w zawodzie wychowawca wypoczynku (animator pracy
wychowawczej) - 4 h
staż dla 1 UP w zawodzie wychowawca wypoczynku (animator pracy
wychowawczej) - 6 h
staż dla 1 UP w zawodzie wychowawca wypoczynku (animator pracy
wychowawczej) - 6 h
staż dla 1 UP w zawodzie wychowawca wypoczynku (animator pracy
wychowawczej) - 4 h
staż dla 1 UP w zawodzie wychowawca wypoczynku (animator pracy
wychowawczej) - 4 h
staż dla 1 UP w zawodzie wychowawca wypoczynku (animator pracy
wychowawczej) - 6 h
staż dla 1 UP w zawodzie wychowawca wypoczynku (animator pracy
wychowawczej) - 5 h
staż dla 1 UP w zawodzie wychowawca wypoczynku (animator pracy
wychowawczej) - 4 h
staż dla 1 UP w zawodzie wychowawca wypoczynku (animator pracy
wychowawczej) - 4 h
staż dla 1 UP w zawodzie wychowawca wypoczynku (animator pracy
wychowawczej) - 5 h
staż dla 1 UP w zawodzie wychowawca wypoczynku (animator pracy
wychowawczej) - 4 h
Załącznik nr 1 do Umowy dotyczącej wzajemnych zobowiązań w zakresie przeprowadzania staży zawodowych ...
Staż w Urzędzie Miasta Iławy OPPUiPR
Staż w Urzędzie Miasta Iławy OPPUiPR
Staż w Urzędzie Miasta Iławy OPPUiPR
Staż w Urzędzie Miasta Iławy OPPUiPR
Staż w Urzędzie Miasta Iławy OPPUiPR
Staż w Urzędzie Miasta Iławy OPPUiPR
Staż w Urzędzie Miasta Iławy OPPUiPR
Staż w Urzędzie Miasta Iławy OPPUiPR
Staż w Urzędzie Miasta Iławy OPPUiPR
Staż w Urzędzie Miasta Iławy OPPUiPR
Staż w Urzędzie Miasta Iławy OPPUiPR
Staż w Urzędzie Miasta Iławy OPPUiPR
Staż w Urzędzie Miasta Iławy OPPUiPR
Staż w Urzędzie Miasta Iławy OPPUiPR
Staż w Urzędzie Miasta Iławy OPPUiPR
Staż w Urzędzie Miasta Iławy OPPUiPR
Staż w Urzędzie Miasta Iławy OPPUiPR
Staż w Urzędzie Miasta Iławy OPPUiPR
Staż w Urzędzie Miasta Iławy OPPUiPR
Staż w Urzędzie Miasta Iławy OPPUiPR
Staż w Urzędzie Miasta Iławy OPPUiPR
Staż w Urzędzie Miasta Iławy OPPUiPR
Staż w Urzędzie Miasta Iławy OPPUiPR
Staż w Urzędzie Miasta Iławy OPPUiPR
01.12.2016
13:00 - 17:00
Urząd Miasta Iławy - OPPUiPR
02.12.2016
13:00 -17:00
Urząd Miasta Iławy - OPPUiPR
05.12.2016
12:00 -16:00
Urząd Miasta Iławy - OPPUiPR
06.12.2016
13:00 -19:00
Urząd Miasta Iławy - OPPUiPR
07.12.2016
wolne
08.12.2016
13:00 -19:00
Urząd Miasta Iławy - OPPUiPR
09.12.2016
13:00 -17:00
Urząd Miasta Iławy - OPPUiPR
12.12.2016
12:00 -16:00
Urząd Miasta Iławy - OPPUiPR
13.12.2016
13:00 -19:00
Urząd Miasta Iławy - OPPUiPR
14.12.2016
wolne
15.12.2016
13:00 -19:00
Urząd Miasta Iławy - OPPUiPR
16.12.2016
13:00 -17:00
Urząd Miasta Iławy - OPPUiPR
19.12.2016
12:00 -16:00
Urząd Miasta Iławy - OPPUiPR
20.12.2016
13:00 -19:00
Urząd Miasta Iławy - OPPUiPR
21.12.2016
wolne
22.12.2016
13:00 -19:00
Urząd Miasta Iławy - OPPUiPR
23.12.2016
13:00 -17:00
Urząd Miasta Iławy - OPPUiPR
27.12.2016
10:00 -15:00
Urząd Miasta Iławy - OPPUiPR
28.12.2016
10:00 -16:00
Urząd Miasta Iławy - OPPUiPR
29.12.2016
10:00 -15:00
Urząd Miasta Iławy - OPPUiPR
30.12.2016
wolne
02.01.2017
12:00 - 16:00
Urząd Miasta Iławy - OPPUiPR
03.01.2017
13:00 -19:00
Urząd Miasta Iławy - OPPUiPR
04.01.2017
wolne
staż dla 1 UP w zawodzie wychowawca wypoczynku (animator pracy
wychowawczej) - 4 h
staż dla 1 UP w zawodzie wychowawca wypoczynku (animator pracy
wychowawczej) - 4 h
staż dla 1 UP w zawodzie wychowawca wypoczynku (animator pracy
wychowawczej) - 4 h
staż dla 1 UP w zawodzie wychowawca wypoczynku (animator pracy
wychowawczej) - 6 h
staż dla 1 UP w zawodzie wychowawca wypoczynku (animator pracy
wychowawczej) - 6 h
staż dla 1 UP w zawodzie wychowawca wypoczynku (animator pracy
wychowawczej) - 4h
staż dla 1 UP w zawodzie wychowawca wypoczynku (animator pracy
wychowawczej) - 4 h
staż dla 1 UP w zawodzie wychowawca wypoczynku (animator pracy
wychowawczej) - 6 h
staż dla 1 UP w zawodzie wychowawca wypoczynku (animator pracy
wychowawczej) - 6 h
staż dla 1 UP w zawodzie wychowawca wypoczynku (animator pracy
wychowawczej) - 4 h
staż dla 1 UP w zawodzie wychowawca wypoczynku (animator pracy
wychowawczej) - 4 h
staż dla 1 UP w zawodzie wychowawca wypoczynku (animator pracy
wychowawczej) - 6 h
staż dla 1 UP w zawodzie wychowawca wypoczynku (animator pracy
wychowawczej) - 6 h
staż dla 1 UP w zawodzie wychowawca wypoczynku (animator pracy
wychowawczej) - 4 h
staż dla 1 UP w zawodzie wychowawca wypoczynku (animator pracy
wychowawczej) - 5 h
staż dla 1 UP w zawodzie wychowawca wypoczynku (animator pracy
wychowawczej) - 6 h
staż dla 1 UP w zawodzie wychowawca wypoczynku (animator pracy
wychowawczej) - 5 h
staż dla 1 UP w zawodzie wychowawca wypoczynku (animator pracy
wychowawczej) - 4 h
staż dla 1 UP w zawodzie wychowawca wypoczynku (animator pracy
wychowawczej) - 6 h
Załącznik nr 1 do Umowy dotyczącej wzajemnych zobowiązań w zakresie przeprowadzania staży zawodowych ...
Staż w Urzędzie Miasta Iławy OPPUiPR
Staż w Urzędzie Miasta Iławy OPPUiPR
Staż w Urzędzie Miasta Iławy OPPUiPR
Staż w Urzędzie Miasta Iławy OPPUiPR
Staż w Urzędzie Miasta Iławy OPPUiPR
Staż w Urzędzie Miasta Iławy OPPUiPR
Staż w Urzędzie Miasta Iławy OPPUiPR
Staż w Urzędzie Miasta Iławy OPPUiPR
Staż w Urzędzie Miasta Iławy OPPUiPR
Staż w Urzędzie Miasta Iławy OPPUiPR
Staż w Urzędzie Miasta Iławy OPPUiPR
Staż w Urzędzie Miasta Iławy OPPUiPR
Staż w Urzędzie Miasta Iławy OPPUiPR
Staż w Urzędzie Miasta Iławy OPPUiPR
Staż w Urzędzie Miasta Iławy OPPUiPR
Staż w Urzędzie Miasta Iławy OPPUiPR
Staż w Urzędzie Miasta Iławy OPPUiPR
Staż w Urzędzie Miasta Iławy OPPUiPR
05.01.2017
13:00 -19:00
Urząd Miasta Iławy - OPPUiPR
09.01.2017
12:00 - 16:00
Urząd Miasta Iławy - OPPUiPR
10.01.2017
13:00 -19:00
Urząd Miasta Iławy - OPPUiPR
11.01.2017
wolne
12.01.2017
13:00 -19:00
Urząd Miasta Iławy - OPPUiPR
13.01.2017
13:00 -17:00
Urząd Miasta Iławy - OPPUiPR
16.01.2017
12:00 - 16:00
Urząd Miasta Iławy - OPPUiPR
17.01.2017
13:00 -19:00
Urząd Miasta Iławy - OPPUiPR
18.01.2017
wolne
19.01.2017
13:00 -19:00
Urząd Miasta Iławy - OPPUiPR
20.01.2017
13:00 -17:00
Urząd Miasta Iławy - OPPUiPR
23.01.2017
12:00 - 16:00
Urząd Miasta Iławy - OPPUiPR
24.01.2017
12:00 -19:00
Urząd Miasta Iławy - OPPUiPR
25.01.2017
wolne
26.01.2017
13:00 -19:00
Urząd Miasta Iławy - OPPUiPR
27.01.2017
12:00 -17:00
Urząd Miasta Iławy - OPPUiPR
30.01.2017
12:00 -16:00
Urząd Miasta Iławy - OPPUiPR
31.01.2017
13:00 -19:00
Urząd Miasta Iławy - OPPUiPR
staż dla 1 UP w zawodzie wychowawca wypoczynku (animator pracy
wychowawczej) - 6 h
staż dla 1 UP w zawodzie wychowawca wypoczynku (animator pracy
wychowawczej) - 4 h
staż dla 1 UP w zawodzie wychowawca wypoczynku (animator pracy
wychowawczej) - 6 h
staż dla 1 UP w zawodzie wychowawca wypoczynku (animator pracy
wychowawczej) - 6 h
staż dla 1 UP w zawodzie wychowawca wypoczynku (animator pracy
wychowawczej) - 4 h
staż dla 1 UP w zawodzie wychowawca wypoczynku (animator pracy
wychowawczej) - 4 h
staż dla 1 UP w zawodzie wychowawca wypoczynku (animator pracy
wychowawczej) - 6 h
staż dla 1 UP w zawodzie wychowawca wypoczynku (animator pracy
wychowawczej) - 6 h
staż dla 1 UP w zawodzie wychowawca wypoczynku (animator pracy
wychowawczej) - 4 h
staż dla 1 UP w zawodzie wychowawca wypoczynku (animator pracy
wychowawczej) - 4 h
staż dla 1 UP w zawodzie wychowawca wypoczynku (animator pracy
wychowawczej) - 7 h
staż dla 1 UP w zawodzie wychowawca wypoczynku (animator pracy
wychowawczej) - 6 h
staż dla 1 UP w zawodzie wychowawca wypoczynku (animator pracy
wychowawczej) - 5 h
staż dla 1 UP w zawodzie wychowawca wypoczynku (animator pracy
wychowawczej) - 4 h
staż dla 1 UP w zawodzie wychowawca wypoczynku (animator pracy
wychowawczej) - 6 h