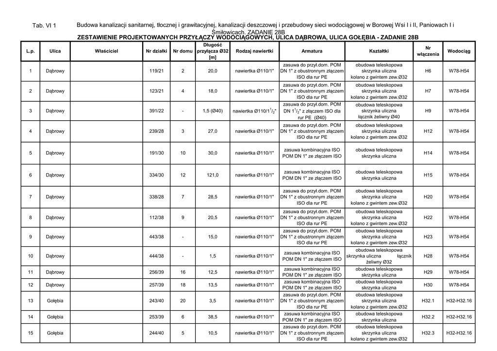
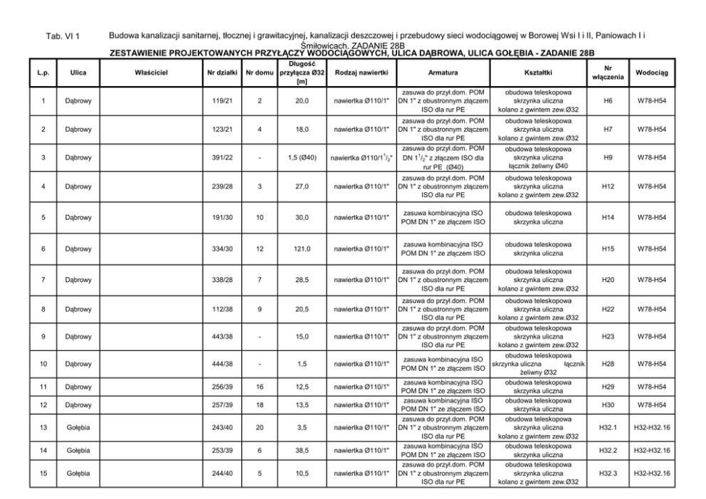
Tab. VI 1 Budowa kanalizacji sanitarnej, tłocznej i grawitacyjnej

Transkrypt

Tab. VI 1 Budowa kanalizacji sanitarnej, tłocznej i grawitacyjnej
Tab. VI 1
Budowa kanalizacji sanitarnej, tłocznej i grawitacyjnej, kanalizacji deszczowej i przebudowy sieci wodociągowej w Borowej Wsi I i II, Paniowach I i
Śmiłowicach. ZADANIE 28B
ZESTAWIENIE PROJEKTOWANYCH PRZYŁĄCZY WODOCIĄGOWYCH, ULICA DĄBROWA, ULICA GOŁĘBIA - ZADANIE 28B
Długość
Nr domu przyłącza Ø32
[m]
Rodzaj nawiertki
Armatura
Kształtki
Nr
włączenia
Wodociąg
nawiertka Ø110/1"
zasuwa do przył.dom. POM
DN 1" z obustronnym złączem
ISO dla rur PE
obudowa teleskopowa
skrzynka uliczna
kolano z gwintem zew.Ø32
H6
W78-H54
zasuwa do przył.dom. POM
DN 1" z obustronnym złączem
ISO dla rur PE
zasuwa do przył.dom. POM
nawiertka Ø110/11/2"
DN 11/2" z złączem ISO dla
rur PE (Ø40)
obudowa teleskopowa
skrzynka uliczna
kolano z gwintem zew.Ø32
H7
W78-H54
obudowa teleskopowa
skrzynka uliczna
łącznik żeliwny Ø40
H9
W78-H54
nawiertka Ø110/1"
zasuwa do przył.dom. POM
DN 1" z obustronnym złączem
ISO dla rur PE
obudowa teleskopowa
skrzynka uliczna
kolano z gwintem zew.Ø32
H12
W78-H54
30,0
nawiertka Ø110/1"
zasuwa kombinacyjna ISO
POM DN 1" ze złączem ISO
obudowa teleskopowa
skrzynka uliczna
H14
W78-H54
12
121,0
nawiertka Ø110/1"
zasuwa kombinacyjna ISO
POM DN 1" ze złączem ISO
obudowa teleskopowa
skrzynka uliczna
H15
W78-H54
338/28
7
28,5
nawiertka Ø110/1"
zasuwa do przył.dom. POM
DN 1" z obustronnym złączem
ISO dla rur PE
obudowa teleskopowa
skrzynka uliczna
kolano z gwintem zew.Ø32
H20
W78-H54
Dąbrowy
112/38
9
20,5
nawiertka Ø110/1"
zasuwa do przył.dom. POM
DN 1" z obustronnym złączem
ISO dla rur PE
obudowa teleskopowa
skrzynka uliczna
kolano z gwintem zew.Ø32
H22
W78-H54
9
Dąbrowy
443/38
-
15,0
nawiertka Ø110/1"
zasuwa do przył.dom. POM
DN 1" z obustronnym złączem
ISO dla rur PE
obudowa teleskopowa
skrzynka uliczna
kolano z gwintem zew.Ø32
H23
W78-H54
10
Dąbrowy
444/38
-
1,5
nawiertka Ø110/1"
H28
W78-H54
11
Dąbrowy
256/39
16
12,5
nawiertka Ø110/1"
H29
W78-H54
12
Dąbrowy
257/39
18
13,5
nawiertka Ø110/1"
H30
W78-H54
13
Gołębia
243/40
20
3,5
nawiertka Ø110/1"
H32.1
H32-H32.16
14
Gołębia
253/39
6
38,5
nawiertka Ø110/1"
H32.2
H32-H32.16
15
Gołębia
244/40
5
10,5
nawiertka Ø110/1"
H32.3
H32-H32.16
L.p.
Ulica
Właściciel
Nr działki
1
Dąbrowy
119/21
2
20,0
2
Dąbrowy
123/21
4
18,0
3
Dąbrowy
391/22
-
1,5 (Ø40)
4
Dąbrowy
239/28
3
27,0
5
Dąbrowy
191/30
10
6
Dąbrowy
334/30
7
Dąbrowy
8
nawiertka Ø110/1"
obudowa teleskopowa
zasuwa kombinacyjna ISO
skrzynka uliczna
łącznik
POM DN 1" ze złączem ISO
żeliwny Ø32
zasuwa kombinacyjna ISO
obudowa teleskopowa
POM DN 1" ze złączem ISO
skrzynka uliczna
zasuwa kombinacyjna ISO
obudowa teleskopowa
POM DN 1" ze złączem ISO
skrzynka uliczna
obudowa teleskopowa
zasuwa do przył.dom. POM
skrzynka uliczna
DN 1" z obustronnym złączem
ISO dla rur PE
kolano z gwintem zew.Ø32
zasuwa kombinacyjna ISO
obudowa teleskopowa
POM DN 1" ze złączem ISO
skrzynka uliczna
zasuwa do przył.dom. POM
obudowa teleskopowa
DN 1" z obustronnym złączem
skrzynka uliczna
ISO dla rur PE
kolano z gwintem zew.Ø32
Tab. VI 2
Budowa kanalizacji sanitarnej, tłocznej i grawitacyjnej, kanalizacji deszczowej i przebudowy sieci wodociągowej w Borowej Wsi I i II, Paniowach I i
Śmiłowicach. ZADANIE 28B
ZESTAWIENIE PROJEKTOWANYCH PRZYŁĄCZY WODOCIĄGOWYCH, ULICA DĄBROWA, ULICA GOŁĘBIA - ZADANIE 28B
Długość
Nr domu przyłącza Ø32
[m]
Rodzaj nawiertki
Armatura
Kształtki
Nr
włączenia
Wodociąg
20,5
nawiertka Ø110/1"
zasuwa do przył.dom. POM
DN 1" z obustronnym złączem
ISO dla rur PE
obudowa teleskopowa
skrzynka uliczna
kolano z gwintem zew.Ø32
H32.5
H32-H32.16
16
9,0
nawiertka Ø110/1"
zasuwa do przył.dom. POM
DN 1" z obustronnym złączem
ISO dla rur PE
obudowa teleskopowa
skrzynka uliczna
kolano z gwintem zew.Ø32
H32.6
H32-H32.16
161/40
6
12,5
nawiertka Ø110/1"
zasuwa do przył.dom. POM
DN 1" z obustronnym złączem
ISO dla rur PE
obudowa teleskopowa
skrzynka uliczna
kolano z gwintem zew.Ø32
H32.7
H32-H32.16
Gołębia
198/39
20
9,0
nawiertka Ø110/1"
zasuwa do przył.dom. POM
DN 1" z obustronnym złączem
ISO dla rur PE
obudowa teleskopowa
skrzynka uliczna
kolano z gwintem zew.Ø32
H32.9
H32-H32.16
20
Gołębia
234/39
28
20,5
nawiertka Ø110/1"
zasuwa do przył.dom. POM
DN 1" z obustronnym złączem
ISO dla rur PE
obudowa teleskopowa
skrzynka uliczna
kolano z gwintem zew.Ø32
H32.10
H32-H32.16
21
Gołębia
399/40
wb
8,5
nawiertka Ø110/1"
zasuwa do przył.dom. POM
DN 1" z obustronnym złączem
ISO dla rur PE
obudowa teleskopowa
skrzynka uliczna
kolano z gwintem zew.Ø32
H32.11
H32-H32.16
obudowa teleskopowa
skrzynka uliczna
kolano z gwintem zew.Ø32
łącznik żeliwny Ø32
H32.13
H32-H32.16
L.p.
Ulica
Właściciel
Nr działki
16
Gołębia
226/39
12
17
Gołębia
224/39
18
Gołębia
19
22
Gołębia
250/39
-
1,0
nawiertka Ø110/1"
zasuwa do przył.dom. POM
DN 1" z obustronnym złączem
ISO dla rur PE
23
Gołębia
301/39
32
19,0
nawiertka Ø110/1"
zasuwa kombinacyjna ISO
POM DN 1" ze złączem ISO
obudowa teleskopowa
skrzynka uliczna
H32.14
H32-H32.16
24
Gołębia
373/40
18
2,5
nawiertka Ø110/1"
zasuwa do przył.dom. POM
DN 1" z obustronnym złączem
ISO dla rur PE
obudowa teleskopowa
skrzynka uliczna
kolano z gwintem zew.Ø32
łącznik żeliwny Ø32
H32.15
H32-H32.16
25
Dąbrowy
348/40
22
14,0
nawiertka Ø110/1"
zasuwa kombinacyjna ISO
POM DN 1" ze złączem ISO
obudowa teleskopowa
skrzynka uliczna
H35
W78-H54
26
Dąbrowy
246/42
-
21,0
nawiertka Ø110/1"
W78-H54
Dąbrowy
305/43
24
13,5
nawiertka Ø90/1"
H38.1
W78-H54
28
Dąbrowy
261/43
26
6,5
nawiertka Ø90/1"
obudowa teleskopowa
skrzynka uliczna
kolano z gwintem zew.Ø32
obudowa teleskopowa
skrzynka uliczna
kolano z gwintem zew.Ø32
obudowa teleskopowa
skrzynka uliczna
kolano z gwintem zew.Ø32
H36
27
zasuwa do przył.dom. POM
DN 1" z obustronnym złączem
ISO dla rur PE
zasuwa do przył.dom. POM
DN 1" z obustronnym złączem
ISO dla rur PE
zasuwa do przył.dom. POM
DN 1" z obustronnym złączem
ISO dla rur PE
H38.2
H38-H38.6
29
Dąbrowy
330/43
30
8,0
nawiertka Ø90/1"
zasuwa do przył.dom. POM
DN 1" z obustronnym złączem
ISO dla rur PE
obudowa teleskopowa
skrzynka uliczna
kolano z gwintem zew.Ø32
H38.3
H38-H38.6
Tab. VI 3
Budowa kanalizacji sanitarnej, tłocznej i grawitacyjnej, kanalizacji deszczowej i przebudowy sieci wodociągowej w Borowej Wsi I i II, Paniowach I i
Śmiłowicach. ZADANIE 28B
ZESTAWIENIE PROJEKTOWANYCH PRZYŁĄCZY WODOCIĄGOWYCH, ULICA DĄBROWA, ULICA GOŁĘBIA - ZADANIE 28B
Właściciel
Nr działki
Długość
Nr domu przyłącza Ø32
[m]
Nr
włączenia
Wodociąg
H38.4
H38-H38.6
obudowa teleskopowa
skrzynka uliczna
kolano z gwintem zew.Ø32
H40
W78-H54
zasuwa do przył.dom. POM
DN 1" z obustronnym złączem
ISO dla rur PE
obudowa teleskopowa
skrzynka uliczna
kolano z gwintem zew.Ø32
H44.1
H44-H44.6
nawiertka Ø90/1"
zasuwa do przył.dom. POM
DN 1" z obustronnym złączem
ISO dla rur PE
obudowa teleskopowa
skrzynka uliczna
kolano z gwintem zew.Ø32
H44.5
H44-H44.6
35,5
nawiertka Ø110/1"
zasuwa do przył.dom. POM
DN 1" z obustronnym złączem
ISO dla rur PE
obudowa teleskopowa
skrzynka uliczna
kolano z gwintem zew.Ø32
H52
W78-H54
102,0
nawiertka Ø110/1"
zasuwa do przył.dom. POM
DN 1" z obustronnym złączem
ISO dla rur PE
obudowa teleskopowa
skrzynka uliczna
kolano z gwintem zew.Ø32
H56
W78-H54
Rodzaj nawiertki
Armatura
L.p.
Ulica
30
Dąbrowy
329/43
32
1,0
nawiertka Ø90/1"
31
Dąbrowy
229/42
23
9,5
nawiertka Ø110/1"
zasuwa do przył.dom. POM
DN 1" z obustronnym złączem
ISO dla rur PE
32
Dąbrowy
248/47
25
5,5
nawiertka Ø90/1"
33
Dąbrowy
332/48
7
7,0
34
Dąbrowy
195/6
35
35
Dąbrowy
187/6
41
Kształtki
obudowa teleskopowa
zasuwa kombinacyjna ISO
skrzynka uliczna
łącznik
POM DN 1" ze złączem ISO
żeliwny Ø32
UWAGI:
nawiertka Ø110/1" firmy Hawle, nr. kat. 5250
nawiertka Ø110/1 1/2" firmy Hawle, nr. kat. 5250
nawiertka Ø90/1" firmy Hawle, nr. kat. 5250
zasuwa do przył.dom. POM DN 1" z obustronnym złączem ISO dla rur PE firmy Hawle, nr. kat. 2630
zasuwa do przył.dom. POM DN 1 1/2" z obustronnym złączem ISO dla rur PE firmy Hawle, nr. kat. 2630
zasuwa kombinacyjna ISO POM DN 1" firmy Hawle, nr. kat. 2681
obudowa teleskopowa firmy Hawle, nr. kat. 9601 ze skrzynką uliczną firmy Hawle, nr. kat. 1850
kolano z gwintem zew. Ø32 firmy Hawle, nr. kat. 6460
łącznik żeliwny firmy Hawle, nr. kat. 6300