Oświadczenie majątkowe kierowników przedszkoli nr 12-15

Transkrypt

Oświadczenie majątkowe kierowników przedszkoli nr 12-15
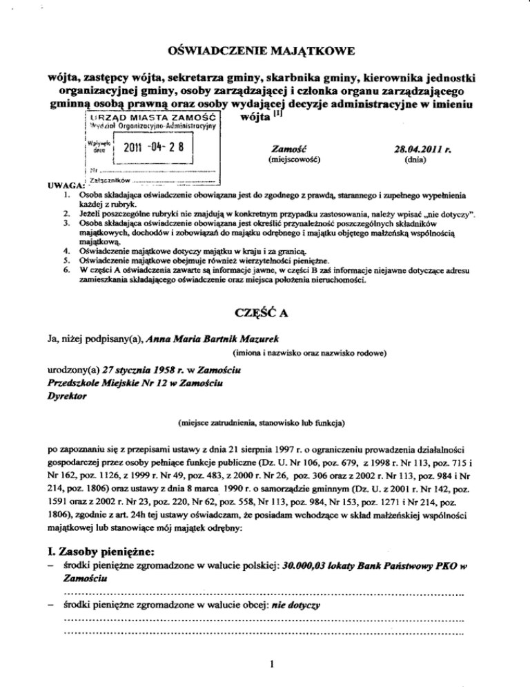
oŚ$lADCZf,ME MAJĄTKoWE
wójts' zastępcy wójta' sekretarza gminy' skarbnika gminy, kierownika jednostki
organiz:cyjnej gminy, osoby zarądzqjącej i czlonka organu zarządzającego
ydającej decyzje administracyjne w imieniu
oraz osoby wydającej
IlI
t 'ĘzĄD lutlA5TA zAMośc
wóita
rl
'ł v./ol 0roonl7o(yina
l,]n!nl!n0ry'ny
zamość
28.1N.2011
(dnh)
(miejscowość)
n
1.
osoba składają.a oświadczenie obowiąz9naj€sl
2.
3.
każdei z rubr}&.
Jeże|i posŻcŻególrc rubryki ni€ aajdują w konl(etlym pr4ipadku zastosowania' należy *pisać ,'nie dotyczy'''
osoba skdadsjqpa oświadczenie obowiązanajesl olc€ślić pr4ynalehość Poszczególnych składników
mają*owych, dochodów i zobowiązŹń do mają|ku odębn€go i majątku objętogo małŻńską łspó|nością
do €odnego
z
prBwą
starannego i ZlP€łrcBo wwełnienia
mają&ową
4.
J.
6.
ośrłiadczeniśmajątlov'e dotyczy mająlku w łraju i z. gra c4
oiwiadczenie majątlov'e obcjmuje ró\ł!ież wi€rŻ}tchości piqriężt..
w cz6ci A oó\łiadczenia zaw&te Śą informacje jawne' w częściB zaśinfo.macje niejawne dogcąpe adresu
zmi€szkmia skłrdająccgo oświsdcze ie onz miejsca Położ.trie nigruchomoś.i'
CzĘscA
Ją niżej podpisany(a), Anna Maria Barhrih Mazurek
(imiona i nazwisko oraz Drzwisko .odowe)
strcaria 1958 r. w Zamo:ścia
Pne.lszkoL Mi.jski. Nr 12 N, zanościa
Dyrektot
ldrodz{,ny(l') 27
(miejsce
utrudnienŁ stanowisko lub funkcja)
d
2l sierpnia 1997 r. o ograniczeniu prowadzenia działalności
gospodarczej przez osoby pełriącłfunkcje publiczre @z U. Nr 106' poz' 679, z 1998 r. Nr 113, poz.715 i
Nr |a'pL1126, Ż 1999 r. Nr 49' poz 4t3, z 2000 r. Nr 2ó, !'oz.30ó oraz z 2002 r. Nr 113, poz.984 i Nr
214'poz. l806) oraz Usławy z dnia 8 mafca l990 r. o sanorądzi€ gmimym (Dr. U. z 2001 r.Nr l42, poz.
1591 oraz z 2002 .. Nr 23 wŻ.220'Nr 62, m.z' 55E, Nr l13, poz. 984' Nr I53, rŃ,z. |27l iNt 214' wŻ.
'
po zapozaaniu się z przepisami usta\ły z
ia
l80ó), zgodnie z arł. 24h tej ustaily oświadczam, że posiod.łr wchodąpe w skłrd matŻńskiej wspólności
majątkowej lub stanowi€€
inój msj{et odĘbny:
I. Zasoby pieniężne:
_
środki pieniężne zg.omądzone w rłalucie polskiej:- 30.0lN,03 lokoty Bank PalĘstlłow PKo lł'
Zamościu
_
środki pienięźne zgromadzone w walucie
obcq nic dotycq,
_
papiery wariościowę|nie dolyczy
na
kvotę:
II.
Dom o powię.zchni: 100'00 ta, o wartości]. 300 0lfi'M d EĄlt pra*'rLy:. wspiłt,aosność
p'avłny. nie dotlcł)
Mieszkanie o powięrzf,l][.,i']. nie dołc4, rr'2, o w?ftości]. nie doucł
3. Gospoda6two rolne: rodzaj gospoda$twa: fie do|yc4,po.c..tetzłtnie]. nie dotycą!|
o wattości''nie doĘcq rcózaj za6ńo*"y: łie dotycął
1'
2.
wł
t',tl].ł r'awny'. ,rie
doucłl
dołcąy
Z tego tytrrfu osiągĘem(ęłam) w roku ubiegłym przychód i doch& w wysokości:
'ie
4. lnne nieruchomości|powitrz.,luia]. rkiąlka złbudowąąg domem o powiełzłhni ó69,00 m2
o wartuści: 30 000'00 d
Ęłułptawny : współtłasnaść
I.
Posiadalrr
udziĄ
w społkach handlowych - latężry podać
liczĘ
i ęrritaĄt^udzialów:. nie dotlcął
udziały te stanowią pakiet więksą niz |fflo ldziełów w spaco. ,,ie dolycry
Z tęgo t}.tułu osiągndem(ęłam) w roku ubiegĘm dochód w wysokości: ,rie
rv.
Posiadam akcję w społkach handlowych - nalężry podać
liczĘ
.lorycł
i emitęnta a.kcji'.
rie.Iorycł
akcie te stanowiąpakięt większy niż l0% akcjiw spćłc&: nie dorycą|
z
t€go
v.
otułu osiągtrdem(ęłam) w roku ubiegł}m dochft w wysoko$t nie .rolycłl
Nabyłem(am) (nabył mój małżoneŁz wyłqpzeniem mienia przynależnego do jego nrajątku
odębnego) od Skarbu Panstwą irmej palstwowej osoby prawnej, jednostek samorŻqdu
ter}tońaln€go, ich zwią'zków lub od komunalnej osoby prawnej nastg'ująsł mienie, które
podlegało zbyciu w drodze plzqtarg! - nale4 podać opis mienia i datę rrabycią od kogo: ził
doacł
2
\aI.
l. Plowadzę działalrpśćgospodarĘ2] 1nłeży podaó fonnę
prawną i przEdniot działa'ności):
.torycry
-
''r€
osobiśqięnie dotycłl
wspólnie z innymi osobami nie dolycąy
Z tęgo t}'tułu osiąg!ąłem(ęłam)w roku ubiegłym przychód i dochód w uysokości; nie dotycq
2.
ZĄrzdzAm dzidd^ością gospodarczą lub jestem przędstawicielern' pełnomocnikiem takiej
działalności(naleĄ podap folmę pra\ł!ą i przedmiot działalności):
_
ofr'obiwię
_
wspólnie z innyni owballlJ nic
e
dolyca
dotycł
Z tego t}tufu osiągnąłem(ęłam) w roku ubiegłym dochód w wysokości: nie dolycął
VTI.
1.
W spółkach handlowych (nazwą siedziba spółł''r:. nie dor'cł)
_
jęśem cżonkiem zĄrzĄdl! (oĄkiedy): nie dotycry
_
jestem człoŃiem rady nadzorcz€j
_
jeslem członkiem komisji rewĘjnej (odkiedy) nie
(od kiedy nie
dorrcry
dolycł
Z tego tyfułu osiągndem(ęłam) w roku ubiegłym dochód w wysokośct]. nie.lołcoł.
2. W spćłdziehiach:. nie dot1lcqł
_
jesteo cztonlden ?aftdu (oĄ kiety).i nk doryc4,
_
jestem cżonkietn rady nadzorczejt3] 1od kiedy): nie doryczJ,,
Z tęgo tyfułu oŚi€n{.m(ęł'rn)
w roku ubiegłym dochód w rłysokości:'nic dorycą)
3. W fundacjach
powadzących działalnośćgospoóafiz+ nic dor!|c4
_
jęstęm cźonkiem z 741J(odkedy)| nic
_
jęstęm członkiem rady nadzorczej (od kieĄy): nie
_
jestem człoŃięm komisji rewizyjnej (od ki.dy)| ,'ie doacry
tlołcq
.lolyca
Z tęgo Ę.h'u osiągnąłem(ęłam)w roku ubiegłym dochód w wysokob| niŁ doryc?
VIII.
Inne dochody osiqgałe z tytułu zatrudnienia lub irurej działa|mścizarobkowej lub zajęć, z
o*-:: *::
*:: *'
":o-''i:l :
:
KT#::
jj fri.',ii,
\*
I"
.
Ix.
składniki mienia ruchomego o wańości povyzej 10 000 złotych (w prz}padku pojazdów
mechaaiczrrych naleźy podać markę, mode| i rok produkcji)| nie .tolycą!
X
Zobowigłnia pienięźne o \łaltościpowyżFj l0 000 złotycĘ w tym zaciągnięte ked}ty i
pożryczki oraz warunki, najakich zostdy u<lzielone (wobec kogo, w zwigktl zjakim zdarzeniem, w
jakiej wysokości): kred}t hipotęczny w wysokości
193911 ,80 d w PKo BP w zamościu
'll
oŚwrłoczglrrn MAJĄTKowE
''arin#,&-.,&ź{r.
2 7
t,,.......... .. .........
U$r'dga:
..
...:.:............
i
ó.lii.r.ł"a.;n". ;ś.i'ó"l"'i" "b".Ę''naje6t
i zupeŁrego wgtehieni& kaźd€j z rubrTk
do
zgodlego z prawdŁ staraBnĘo
'
z. ,reżai po"zczęol"e rubryki nie znajdują w lłonLłthym prz1padku zastosowani',
nalgł wpisać ''nie dotyczyl''
3' osoblł skladająca oświadczeqie obowią'zala j€lt określićprłTalqiIość
poszczególnych skłłdEikó}v t!'ajłtkowycb' dochodów i zobowiązari do maj4tku
odrębn€go i majątLu objęt€go lnałż€ńsĘ wspóbością majątkową
4. oś,wiadczenie majątkowe dotyczy Bajątku w haju i zr granicą.
5. oświadczeDie Eajątkowe obejEuje rówdicż wieruyt€Llości pieEięź!€.
6. w częściA oświadczenia zawańe 3ą informacje jawne, w częściB zaśinformacje
niejawne dotyczące adresu zamieszkrni. skladającego oświadczenie oraz miejsca
polożenia Ei€ruchoBości.
czĘśĆA
Ją niżej podpisaly(a)'
rniejsce zatrudnienią stanowisko lub fuokcja)
po zepożlaniu się z przepisami ustawy z dnia 21 sierpnia 1997Ł o ogrrniczłliu
prowadzenia dzialalności gospodarczęj przez osoby pelniące frrnkcje publicrme
(Dz. U. Nr 106, poz. 679, z 1998 r' Nr 113' poz. 715 i Nr 162' poz- 1!26' 27999
poŁ 483, z 2000 r. Nr 26, poz.
oraz usta''vy Ż dEia 8
306' óraz,1'!p02.
r.Nr !9,
i- Nr 113, poz. 984 i Nr 214''p'oa t806)
lilrcł 1990 'ri,:: s1moĘą{kie gllriltnyB
@z- U- z 2001 r. Nr 142'
poz.I59L orzz 22002 r. Nr 23, poz-220' Nr 62' poz.558' Nr 113' poz- 984' Nr 153'
poz- IŻ7'l' i Nt z|4, poz' 18p6)' zgoduie
z
Lrr. 24h tp: ustawy oświadgaE, że posiadala
wchodzącc w skład małżrńskie| qspótrości majątkowej lub staEowiąc€]
oalrębny:
Eój Eajątek
l
.Prowadzę działaldośćeospodarc4 (n^rŻy
z
i prŻedmiot działajności:
pravmą
i
tego qłufu osiąE!ąłeB(ęł.m) vr'
dochód
w
wysokości:
Ż' ZArządatL dŻjńa|nościągospodalczą lub jestem przedstawicielerrr pełoomocnikiem takiej
dżałalności(naIezypodać formę prawną
i
VTT.
1-
w
spółkach handlowych (nazwą siodzibp
sŃłki
-jestem człookieB zarŻ4du (od kiedy): ...........
-
_
jestem człoŃiem rady nadzorczej (od kiedy): ............
iestem członkiem rady nadzorczej' 1od kiedy):
3. W ńmdacjach prowadzących działalność
._'' ''
':
..---'' -''
'- - ' -
-.
-'
rx.
(w prz'nadlu Pojazców
Skiadniki mienia ruchomego o waltości powyzej 10.000 złotych
męchanicalych na\eżf pod'ć markę, modęl i lok plodukcji): """""
x.
1o'ooo złotych' w tym zaciąnięte kedj'fy i
Żiu*r^e^,ru pięniężne o wartości powyżej
'udzielonę
(wobec kogo' w zwią'zku z jatim
o.-'**-ti, na jakich żostał
".j*rLj
zdar'zeniem,
w
laklej wysoKoscl):
oŚWIADcZENIE MAJĄTKoWE
wójta' zastępcy wójta, s€kr€tarZa gminy' skarbtrika gminy' kier0łnika jednostki
organizacyjnej gminy, osoby zarządzaiące: i członka organu zarządzającego
gminną osobą prawną oraz osoby wydającej decyzje administracyjne w imieniu
wójtaI1]
itlr,ffioror;rł "*łl..*' łj.a|Lź'|l1ł
ilili*;ą
i---_----_'
(niejsc0wość)
rv" ', ii"i 1
uwłcł:
ies,*l;;ńńl-m;'ilJ,ini',''ol"ł'**"l*,ao
_' .
żtrł*irrqługł_l:_:-'-:-:'
ugodne8o, prawdą slarannego izupeInego Nypelnieni!
z''_Iizili
3'
4.
5'
ó'
poszczego]oe rublykl nle zna]duJąw konkretnym plzypadku Żastosowanja. naleąV wpjsać..nie dotYcŻy"'
osoba składajq!l} oświ!dc,eoie obowiąŻana jest okleś1ić pr?ynaleaośó posŻczegóInych sk}adnilóu
najątkowych' doc}odós izobołjązań do majątku odrębne8o imająlku objęlego małż,ńskąvspólnością
0świadcrenie majątkowe dotyczy mająlLLl s'I(laju iza glanicą
ośviadczenie majątko{e obeJmuje !ównieŻwierzytelnościpieniębe.
w częściA oświadczenja zawalte sąinforfilacje jawne' w częściB zaśinfornacje niejavne dolycŻące adlesu
zamieszkania składaiącego oświadczenie ora, miejsca połozrnia nieruchomości.
cZĘsc A
urodzony(a)
(miejsce Żatrudnienia' staiowls].o lirb lunkcja)
po zapoznaniu się z prze!isami ustawy Ż dnia 21 sielpnia 1997 r' o ograniczeniu prowadzenia dzialalności
gospodarczejprzezosobypelniącefunkcjcpubliczle(Dz'U'N.l0ó.!oz'679,zl998r.Nr113,poz']15i
Nr162,poz. 1l2ó'r 1999 r' Nr 49, poz' 483, z 20U0 r Nt 26. !oŻ ]0oora7 z 2002 t'Nr]1].po7.984iNt
2l4' poz' 180ó) oraz ustawy z dnia 8 nalca 1990 r' o samorządzie gninnym (Dz' U' z 2001 r' Nr l42' lou 1591 oraz z 2002 r. Nr 23, poz. 220, Nr 62, poz. 558, Nr I 11, poz. 984, Nr 153, por' 127I i Nr 214, poz
l806), zgodnie z a!1. 24i tej nStawy ośwjadczam' Że posiadam wchodzące \ł sklad małż-eńsłiej wspó]ności
maj{kowcj lub stanowiące mój mająiek odrębn}i
-
srodki pieniężnc zgrom aJ/one \L 'łdlJcle obccJ' ''' ''' '''
'''^Li''' ''
'
nt'T
II.
Dom o powierzchni: ........y'
Mieszkanie o powierzchni; .^N.
3. Gospodarstwo rolne: rodŻaj
1.
q tul prau ny:
Z tego tytułu osiągnąłem(ęłam
III.
Posiadam udziały w spółkach handlow}ch - na]eży podać liczbę i emitenta
:i:it::::i::"1::::t:::t::::t:til::::'i:-::::::
udziałó\ł:
ll
::::'::::::::::i::1:]:.:l:'"::::::11'":":l':-."]:"i"::t
łĄ'l
^t
Y-i
rv'l
^
lv.
Posiadam akcje w spółkach handlowych
"
należy podać 1iczbę iemirenta akcji: '.' 'łż.'''. '"l',1,
akcje te stanowiąpakiet większy niż l0% akcji w
r1"ł
spółce:
,o.
Z tego tytułu osiągnąłem (ęłam ) w loku ubiegłym dochód w wysokości: ''- '''
\.
dĄj
''',-.ł
d7.'1,r,
t
Nabyłem(am) (nabył mój małżonek, z wyłączeniem mieDia przynależnego do jęgo majątku
odrębnego) od Skarbu Państwa, inncj państwowej osoby prawnej, jednostck samoIządu
lcrytorialnego, ich związków lub od komunalnej osoby prawnej nasJępujące mienie. którę
podlegało zbyciu w drodzę przętargu - należy podać opis nienia i da|ę nabycia' od kogo: ''. ''. ''''. ''' '-l,Ę ''' ''' 'ÓąĄlł!a
t/ l
vI.
] l|l]1i1l
-
-
j"l'|lll::::::1i:::d-1
osobiścic ''''' ' '
l:::fi ::':&1ł:i::"
'''.\'' ' {ń,'"l'
''' '''
'''.''
Jt
ttspó]niezinn)mio,obami l.'1''''''.,.k''''''di,.^l'
"']
:]1]'' i] 11]l]ll]]jlil''
''''''''''''''''''
Z lego l)lułu o:iągnąlemtełam1u loku ubiegł}m prr1ch{d/do.łod w u1.okości:'''''''''."-.'',;l,,,
......t
2. Zarządzam działalnościągospodarcząlubjestemprzedstawicielem,pełnomocnikiemtakiej
dlialalności Dale^ podać iolm e p na l plzedm.oI d/idlalno.c'':
"s
- o5obiście'.. '.' '.. ''' ''. 'ł}'' ''' ' 'c{l.'!,r,
'
{
-
rl
wspólnie z innyniosobami .'' ''. '.. '..
'''lłĄ ,l#/"i
Z tego tytułu osiągnąłęm(ęłam)wroku ubiegłym docbód w wysokości: .''..'...... ',t{. '''
VII.
l. W spółkach handlou1ch ll.a,/\łd. lledŻioa
.'.:'\'''''
'
"polkil:
*I!1ł:,
)t
rt
-
'ieslem c/lonkiem '7arlądu Lod k'ędy)''''
'
jestem członkiem lady nadzorczej (od kicdy):'.' .'' ..' .'' ''' '.' ',,:'^..'' ..'
*l
l::l:':":::l:ll:'l"l::"l'l:"l:" illI
q:7
Z tego tytułu osiągnąłem(ęłam) w roku ubiegłym dochód w wysokości: '-' '-'
::::':11:l:l::1111"'l"'fllll
-
^
*^l
::':':':]']:.":::] :i:1]::] ' ]:::]li]' '' '' '
^' Ą1
1".:'.:'l:::::'::''::ll::-l:"::l:i:ilil'
: :::
''lY'''.''
"*
d'{Fl
:::::::]-":]:'|o:']''|" :l ":1'' :::::: : :]::::::]''']o
3' W fundacjach prowadzących działalnośćgospodarczą;
Ą'1
^\1
r*'"1
/
-
jeŚl€m
-
je\tem cŻłonkiem lad} nad/orcZej
-
c7łonkiem Zarlądu lod
t ied1
l:
''' ''' 'l.\' .''
{Ud
"ifoyl|
ieslem c/łonkiem lom isji rerł iz1 jnej rod tle,l.
'' ''.j''! '''
'
ld-{'4'
1,,1,
l:'.''.' 1ll\'''' o-r'Ę
Z tego tytułu osiągna_łem(ęłam) w roku ubiegłyn dochód
VIII.
tl
rł'Ą"lł
I
'v
wysokoścj: .''.''.'' '.,,rt!'.' ''.
Inne dochody osiąganę z tytułu zatrudnienia lub innej działalnościzarobkowej Iub zajęć, z
podaniem kwot uzyskiwar]ych z każde8o tytułuj ''. '.. ''.
olc\ Ć,
(1'-{
ńt\
J*'.'L{Ł.l'
''..'. ''' ''. ''
5.ę'.5.3'5)Bt'' 'E
$"lu'rn
IX. Składniki mienia
ruchomego o wartości powyżej 10 000 złolych (w
mechanicznych oależf podać m&rkę' model i rok produkcji): ''.''.'..'....
fęnn-łr-ł-A.'' (.\^,:'
x.
-.,tQl
:
pru
ypadku pojazdów
''Jó'(:C
Zobowiązania pieniężne o wartości powyżej ] 0 000 złotych, w 1ym zaciągniętc kI€dyty i
pożyczki oraz warunki, na jakich zostały udZielon. (wobec kogo, w Żwiązkx z jakim zdarzenicm. w
jakle1 ł 1'oIoś.'r):
ośwnDczEillEilfuĄTKoWE
cdonka zar.ądu woie{vództw'a, skańnika woielvodztwa, kierownika Yroiewodzkiei samorządofrgi
ŹaŻądzalągogj lojettńdzĘ o6obą
iodnostki oĘanizacyingi, o€oby zanądzaiącei i cŹonka oĘanu
prav'ną oraz
docyzio administncyine w imieniu maBzałka woievr&ńrar
'..'.'.''Janno.ii'''''.'.', onia'.'ł'ł,.9!t,lł'!4r.
iiFi3l'"'j6łlut'ólj1ffifi
l.i*L;41
(mi€isco{ość)
jął do zgodn€go
2.
3.
ł
5.
ó.
prłidł!t
ranncgo
i zupdnąo Y'yp.hi€nia
konkretryn prrypadku ża'tocowanio, nal€ł Yq'iaać
w
Jeżeli poaŹcŻ.góln. rubryłi nb
z
'nailuią
o!ob. sl&d.iąg' o&viedc'ani. obowi*.B l't olrcÓlić prłn Lżncśćpffi€gólryań .łhdniłów
ne![ko y6h, dochodów i zobovi*Erń do m.idku odĘbnego i naiąik! objętego małź€{ń.ką vńŃlnoią
"nia dowczv".
m'htkolĘ.
mrltło{e dovrŹy
oóvJirdcze$le
ohri€d.zeib
w
majątl(u w
mliąd(oYe obejmuie
|nościpi€n(ń''
intormlct iawne, w czsici B zrśinłormrc|'
za'forri ą
-ć"i A ;śfiłi'*nlr
!*hdair.go oówiad.zrnb
zamklrk'nia
łraju i ża gEni(ą
órni.ż {hr.yt
o.e mi.i..a położfiia nkłuŃomoćci'
ni'i'vfi€
dołycŻące ad'€B!
..'.'''.'.''.'.'siłdiłi#lł''.'..':'tuąśV^Y:'Ńi''.'^5.:;'{jiińp.ii'J;.:.:..''
(mLłscs zfilfii€nia'
Do
4lomanru 99
7
EząBami Unaq
7
dna 21 sigpnia 199i
i-..
ganołisło h'b funl(je)
l o oqr
c7eniu proładŻe'ia dzelalności gospcdarPel
pŻ& coby peł'i#
i-ii*'irrr.*io'UŃ106'mz.'679'z1s€8r'Nl113poz71ilM16?poz'11m'71gB9rM19'ooz'183'720mr'M26'ooz'306
o samorzqeie'łqeriodzlwa {Dz' u l2001 l' M 142'
;#T'ffi;lj;łi ; rs;i'ń'ził'' ń' laml "-'"t*y. dniapoz'5 cze{wc;1998 rpoz'
1806) @m z at 27c Ę uge"y 6rłeeatn'
1z1
i
ih
211'
isr'
;;;,ł,fi*; ffin;i.
ń Ń, ó, li" soo' lt,
maiąbh
odtęony:
mo|
Iub
śanołic
'"
mei4korcj
$póho&'
maż€
ń
cdq
L p*ił* *r'ooąę
"
t.
zasoby
"ro"o
pienĘżne:
-
sroaii bieniizne ąromadzone
_
papiery wańościowe:
w walucie polskiei:
ń
J
""'""'''''"""'l*łł
...
'4"\*1
lt"
z tego Mdu osiągnąłem(ęłam) w roku ubiegłym
4. Inne nieruchomoici:
l[.
Posiadam udŻały w społkań handlowych - należy pgdać
liczĘ
t*} d"-\Ę
*:'"''
: ::::*1'::"] ::::ii":
akc,ie te stanowią pakiet większy
i
emitenta udziałóv':
::ł'f::-i:ffi
nź 10%
akc.ii w
sńhe:
r
'''' ""''_'"'"""'^/'łt*'""''dę':Ę!A4ą'""'""
z tego Mułu osiągĘłem(ętam) w roku ubiebłm docłod w lYńokości|
.'.''.
ł\..ć
Nabyłem(am) (nab' mój małźonek,z Wytągzeniem mienia pąnależt]ąo do iego maiąt(u odĘbnąo) 0d
skatbu Państwa, innej państvto,,,/ej osoby prawnej, iednostek samonądu teModalnego, ich zwią?ków lub
od komunalnej o6oby prawnej następojące mienie, ktorc podlegało ńyciu 'ł drcdze przetargu - należy
''::::'::::]::::':]i|*]''."'l*l'''.'''''
' Ad-:'
t))
'
ł;'.^'{.-\ '''
''''.':'''':'''
'
"oe
vt.
'1
Prcviadzę działalnośćgospodarcz*
.
(mleł pq'ać
-mobiście.''''.''.'''''.''.'''.. .....t
visŃlnie z innymi osobami
-
Ęo tlulu
csi€nąłem(ętam)w
'
'...
'
-.
'.-.
-1 :
q-b. ;1&$)
i.
.d'k
z tego tytułu o6ią9nąłem(ęłam) w roku ubegtyrn
z
formę praYiną i pęedmiot dzialalności): ... '.....
ffi;ód ilhód ;-ys*.ó"| ..r^^i.-_Ą.'-"\
roku utĘ]łym dochod w wysokosci; ...'.'.+^aŁ
-
- _ "*\3''''-'-'
_ń!ó'ćJJ,in*"lvilffi;t"di#ii'..''.'.''...'''.'M^t'''.'.'.ó.Ą*1'.'......'....'.'.....'....'.''
_
jestem cżonkiem rady nadzorczei3 (od kiedy):
.'.''.'.'..''^l+Ł.'.'..'.dol'sklĄ..'.'...''.'.'.'''.''.'.'..'''.'''.''.
ń'óń.ińńińńtóńisjirewizyjnei(odkiedy):'...''
zt
JJ
;'."/-...d*Ę*+
_
_
dffi";1ąr'ą"'(ę#Ń;ililiąłń;ńil;"y";i#;.'''..'.'.''.t-"Ł'.'../'\1ł.rą
]J
*
' "]::]iT:*"o*:"::*::*',Try:* *ł, . .. .ł*r.**
!)
'..'
v
t.
osi{ane z tyt'U zatrudnbnia lub
uzYskiwanvch z kżdeoo Mułu:''.''.''''.'.'.' .
lnne dochody
__]l'''''_'''1l'ai*'o,-_a'l_:J
innej działalnościzatobko\ł,ej lub zaięc, z podaniem kv{ot
''''i;ł'"];''' '''ePł'*J;*-;ia.'''''.--_''r'slzż_'_'.3_'E_','5-'''''''
'''.''''''''''.dF.d+}d'.'''r'.'.'.sd"*s}vrairir''.'rł\łłęxvłrł.*lłę'i.'.ęsoh)sg*.=.':''$9E','a9'ń
.''.''''''''''.'''.''.'.'..'i.r.xe''''.'t.ddlrc*.'''..'.'.'''.''. .
.
'(,)_
'.
.
.
.J
)'.
'
-_''.'
'.1tB'/8dh.'ł'.
IX
sktadniki mienia ruchomąo o Mńości powyżej 10'000 złotyęh (w plzypadku pojazdow mechanienych
należy podać markę, model irok produkcij)| .'..'''.. .
' . . ć-}.'. .d"_'.!'*D
.
x.
zobowią'zania pieniężne o,,vartoćci powy'żej 10'000 zbtych' w tym zeiągnięte kredyty ipoż}czki ofaz
*::::
:: ]1" '*"'' :*::':
(-'*
:ru
*T*
liĄ'll^l*]
: ]::::1'*_:'::*]'