Przykłady normalizacji formuł rachununku zdań i rachunku

Transkrypt

Przykłady normalizacji formuł rachununku zdań i rachunku
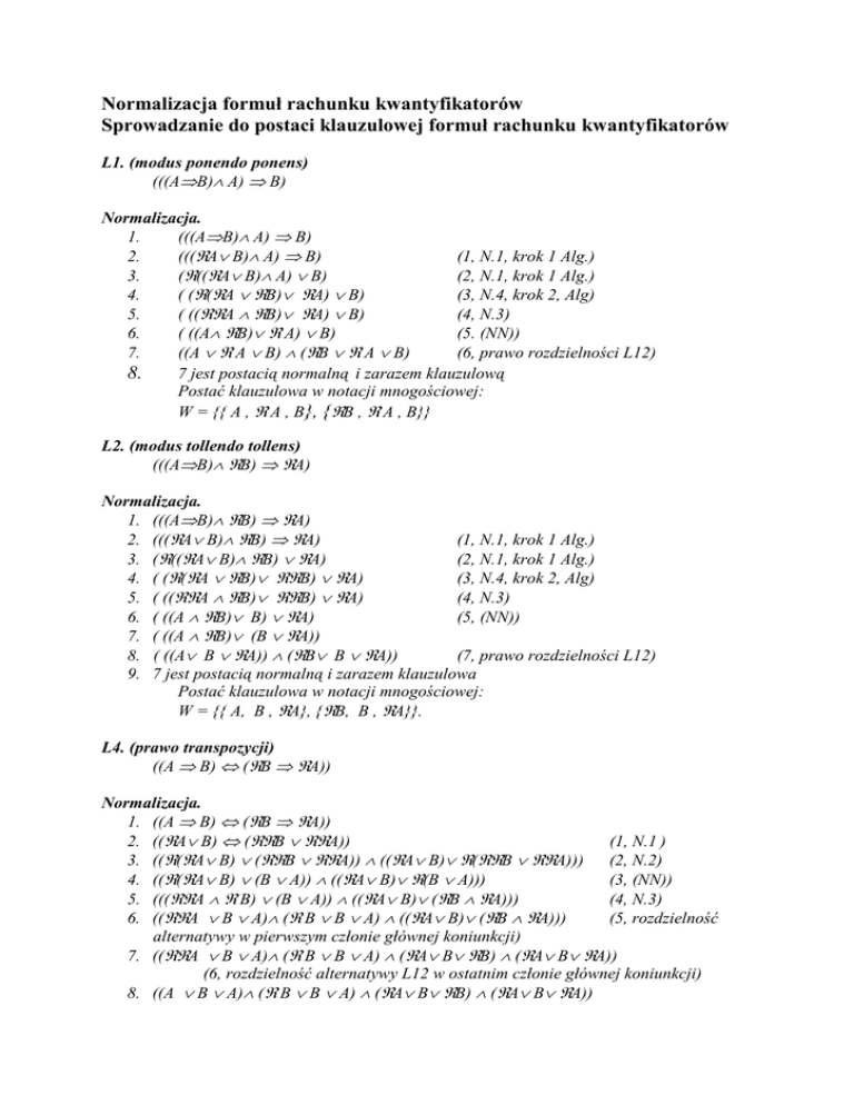
Normalizacja formuł rachunku kwantyfikatorów
Sprowadzanie do postaci klauzulowej formuł rachunku kwantyfikatorów
L1. (modus ponendo ponens)
(((A⇒B)∧ A) ⇒ B)
Normalizacja.
1.
(((A⇒B)∧ A) ⇒ B)
(1, N.1, krok 1 Alg.)
2.
(((¬A∨ B)∧ A) ⇒ B)
3.
(¬((¬A∨ B)∧ A) ∨ B)
(2, N.1, krok 1 Alg.)
(3, N.4, krok 2, Alg)
4.
( (¬(¬A ∨ ¬B)∨ ¬A) ∨ B)
5.
( ((¬¬A ∧ ¬B)∨ ¬A) ∨ B)
(4, N.3)
6.
( ((A∧ ¬B)∨ ¬ A) ∨ B)
(5. (NN))
7.
((A ∨ ¬ A ∨ B) ∧ (¬B ∨ ¬ A ∨ B)
(6, prawo rozdzielności L12)
8.
7 jest postacią normalną i zarazem klauzulową
Postać klauzulowa w notacji mnogościowej:
W = {{ A , ¬ A , B}, {¬B , ¬ A , B}}
L2. (modus tollendo tollens)
(((A⇒B)∧ ¬B) ⇒ ¬A)
Normalizacja.
1. (((A⇒B)∧ ¬B) ⇒ ¬A)
2. (((¬A∨ B)∧ ¬B) ⇒ ¬A)
(1, N.1, krok 1 Alg.)
3. (¬((¬A∨ B)∧ ¬B) ∨ ¬A)
(2, N.1, krok 1 Alg.)
(3, N.4, krok 2, Alg)
4. ( (¬(¬A ∨ ¬B)∨ ¬¬B) ∨ ¬A)
5. ( ((¬¬A ∧ ¬B)∨ ¬¬B) ∨ ¬A)
(4, N.3)
6. ( ((A ∧ ¬B)∨ B) ∨ ¬A)
(5, (NN))
7. ( ((A ∧ ¬B)∨ (B ∨ ¬A))
8. ( ((A∨ B ∨ ¬A)) ∧ (¬B∨ B ∨ ¬A))
(7, prawo rozdzielności L12)
9. 7 jest postacią normalną i zarazem klauzulowa
Postać klauzulowa w notacji mnogościowej:
W = {{ A, B , ¬A}, {¬B, B , ¬A}}.
L4. (prawo transpozycji)
((A ⇒ B) ⇔ (¬B ⇒ ¬A))
Normalizacja.
1. ((A ⇒ B) ⇔ (¬B ⇒ ¬A))
2. ((¬A∨ B) ⇔ (¬¬B ∨ ¬¬A))
(1, N.1 )
3. ((¬(¬A∨ B) ∨ (¬¬B ∨ ¬¬A)) ∧ ((¬A∨ B)∨ ¬(¬¬B ∨ ¬¬A))) (2, N.2)
4. ((¬(¬A∨ B) ∨ (B ∨ A)) ∧ ((¬A∨ B)∨ ¬(B ∨ A)))
(3, (NN))
5. (((¬¬A ∧ ¬ B) ∨ (B ∨ A)) ∧ ((¬A∨ B)∨ (¬B ∧ ¬A)))
(4, N.3)
6. ((¬¬A ∨ B ∨ A)∧ (¬ B ∨ B ∨ A) ∧ ((¬A∨ B)∨ (¬B ∧ ¬A)))
(5, rozdzielność
alternatywy w pierwszym członie głównej koniunkcji)
7. ((¬¬A ∨ B ∨ A)∧ (¬ B ∨ B ∨ A) ∧ (¬A∨ B∨ ¬B) ∧ (¬A∨ B∨ ¬A))
(6, rozdzielność alternatywy L12 w ostatnim członie głównej koniunkcji)
8. ((A ∨ B ∨ A)∧ (¬ B ∨ B ∨ A) ∧ (¬A∨ B∨ ¬B) ∧ (¬A∨ B∨ ¬A))
9. 8 jest postacią normalną i zarazem klauzulową
Postać klauzulowa w notacji mnogościowej:
W = {{ A , B , A },{ ¬ B , B , A }, {¬A, B, ¬B }, {¬A, B, ¬A }}.
L14. (prowo de Morgana dla kwantyfikatora generalnego)
(¬∀xA(x) ⇔ ∃x(¬A(x)))
Normalizacja.
1.
(¬∀xA(x) ⇔ ∃x(¬A(x)))
2.
((¬¬∀xA(x) ∨ ∃x(¬A(x))) ∧ (¬∀xA(x) ∨ ¬∃x(¬A(x))))
3.
((∀xA(x) ∨ ∃x(¬A(x))) ∧ (∃x ¬A(x) ∨ ∀x (¬¬A(x))))
4.
((∀xA(x) ∨ ∃x(¬A(x))) ∧ (∃x ¬A(x) ∨ ∀x A(x)))
5.
(∃x1 ∀x2 (A(x2) ∨ ¬A(x1))) ∧ ∃x3 ∀x4 (¬A(x3) ∨ A(x4)))
(w normalizowanej
formule zamieniamy zmienne związane kwantyfikatorami na róŜne od siebie
zmienne i wyciągamy kwantyfikatory przed alternatywy, jako pierwsze wyciągamy
kwantyfikatory egzystencjalne )
∃x1 ∃x3∀x2∀x4 ((A(x2) ∨ ¬A(x1))) ∧ (¬A(x3) ∨ A(x4)))
(wyciągamy
6.
kwantyfikatory przed koniunkcję, jako pierwsze wyciągamy kwantyfikatory
egzystencjalne)
7.
6 jest postacią normalną
8.
∀x2∀x4 ((A(x2) ∨ ¬A(c1))) ∧ (¬A(c3) ∨ A(x4)))
(EX)
9.
8 jest postacią klauzulową
Postać klauzulowa w notacji mnogościowej:
W = {{ A(x2) , ¬A(c1)}, {¬A(c3) , A(x4)}}.
Normalizacja negacji formuły.
1. ¬(¬∀xA(x) ⇔ ∃x(¬A(x)))
2. ¬((¬¬∀xA(x) ∨ ∃x(¬A(x))) ∧ (¬∃x(¬A(x))∨ ¬∀xA(x)))
3. ¬((∀xA(x) ∨ ∃x(¬A(x))) ∧ (∀x (¬¬A(x))∨ ∃x ¬A(x)))
4. ¬((∀xA(x) ∨ ∃x(¬A(x))) ∧ (∀x A(x)∨ ∃x ¬A(x)))
5. (¬ (∀xA(x) ∨ ∃x(¬A(x))) ∨ ¬ (∀x A(x)∨ ∃x ¬A(x)))
6. ( (¬∀xA(x) ∧ ¬∃x(¬A(x))) ∨ (¬∀x A(x)∧ ¬∃x ¬A(x)))
7. ( (∃x (¬A(x)) ∧ ∀x (¬¬A(x))) ∨ (∃x (¬ A(x))∧ ∀x (¬ ¬A(x)))
8. ( (∃x (¬A(x)) ∧ ∀x A(x)) ∨ (∃x (¬ A(x))∧ ∀x A(x))
9. ( (∃x1 (¬A(x1)) ∨ (∃x2 (¬ A(x2))∧ ∀x3 A(x3))) ∧ (∀x4 A(x4) ∨ (∃x5 (¬ A(x5))∧ ∀x6
A(x6))))
10. ∃x1 ∃x2∃x5 ∀x3∀x4 ∀x6 ( (¬A(x1) ∨ (¬ A(x2)∧ A(x3))) ∧ (A(x4) ∨ (¬ A(x5)∧ A(x6))))
11. ∀x3∀x4 ∀x6 ( (¬A(c1) ∨ (¬ A(c2)∧ A(x3))) ∧ (A(x4) ∨ (¬ A(c5)∧ A(x6))))
12. ∀x3∀x4 ∀x6 ( (¬A(c1) ∨ ¬ A(c2))∧ (¬A(c1) ∨ A(x3)) ∧ (A(x4) ∨ ¬ A(c5))∧ (A(x4) ∨
A(x6)))
Postać klauzulowa w notacji mnogościowej:
W = {{ ¬A(c1) , ¬ A(c2)}, {¬A(c1) , A(x3)}, { A(x4) , ¬ A(c5)}, { A(x4) , A(x6)}}.
L15. (prawo de Morgana dla kwantyfikatora egzystencjalnego)
(¬∃xA(x) ⇔ ∀x(¬A(x)))
Normalizacja do postaci klauzulowej.
1.
(¬∃xA(x) ⇔ ∀x(¬A(x)))
2.
((¬∃xA(x) ∨ ¬∀x(¬A(x))) ∧ (¬¬∃xA(x) ∨ ∀x(¬A(x)))
3.
((∀x ¬A(x) ∨ ∃x (¬¬A(x)))∧ (∃xA(x) ∨ ∀x(¬A(x)))
4.
((∀x1 ¬A(x1) ∨ ∃x2 A(x2))∧ (∃x3 A(x3) ∨ ∀x4 (¬A(x4)))
5.
∃x2∃x3 ∀x1 ∀x4 ((¬A(x1) ∨ A(x2))∧ (A(x3) ∨ (¬A(x4)))
6.
∀x1 ∀x4 ((¬A(x1) ∨ A(c2))∧ (A(c3) ∨ (¬A(x4)))
7.
6 jest postacią klauzulową
Postać klauzulowa w notacji mnogościowej:
W = {{ ¬A(x1) , A(c2)}, { A(c3) ∨ (¬A(x4)}}.
L18. (pierwsze prawo rozkładu kwantyfikatora generalnego na implikację)
(∀x(A(x) ⇒ B(x)) ⇒ (∀xA(x) ⇒ ∀xB(x)))
Normalizacja.
1.
(∀x(A(x) ⇒ B(x)) ⇒ (∀xA(x) ⇒ ∀xB(x)))
2.
(¬∀x (¬A(x) ∨ B(x)) ∨ (¬∀x A(x) ∨ ∀x B(x)))
3.
(∃x ¬ (¬A(x) ∨ B(x)) ∨ (∃x ¬ A(x) ∨ ∀x B(x)))
4.
(∃x ¬ (¬A(x) ∨ B(x)) ∨ ∃x1∀x2 (¬ A(x1) ∨ B(x2)))
5.
∃x∃x1∀x2 (¬ (¬A(x) ∨ B(x)) ∨ (¬ A(x1) ∨ B(x2)))
6.
5 jest postacią normalną
L19. (drugie prawo rozkładu kwantyfikatora generalnego na implikację)
(∀x(A(x) ⇒ B(x)) ⇒ (∃xA(x) ⇒ ∃xB(x)))
Normalizacja negacji formuły do postaci klauzulowej
1. ¬(∀x(A(x) ⇒ B(x)) ⇒ (∃xA(x) ⇒ ∃xB(x)))
2. ¬(¬∀x(¬A(x) ∨ B(x)) ∨ (¬∃xA(x) ∨∃xB(x)))
3. ¬(¬∀x (¬A(x) ∨ B(x)) ∨ (∀x (¬A(x)) ∨∃xB(x)))
4. (¬¬∀x (¬A(x) ∨ B(x)) ∧ ¬ (∀x (¬A(x)) ∨∃xB(x)))
5. (∀x (¬A(x) ∨ B(x)) ∧ (¬∀x (¬A(x)) ∧ ¬∃xB(x)))
6. (∀x (¬A(x) ∨ B(x)) ∧ (∃x (¬¬A(x)) ∧ ∀x (¬B(x))))
7. (∀x (¬A(x) ∨ B(x)) ∧ (∃x A(x) ∧ ∀x (¬B(x))))
8. (∀x1 (¬A(x1) ∨ B(x1)) ∧ (∃x2 A(x2) ∧ ∀x3 (¬B(x3))))
9. ∃x2∀x1∀x3 ( (¬A(x1) ∨ B(x1)) ∧ (A(x2) ∧ (¬B(x3))))
10. ∀x1∀x3 ( (¬A(x1) ∨ B(x1)) ∧ A(c2) ∧ ¬B(x3))
Postać klauzulowa w notacji mnogościowej:
W = {{ ¬A(x1) , B(x1)}, { A(c2) }, { ¬B(x3)}}.
L35. (prawo przestawiania kwantyfikatora egzystencjalnego z generalnym)
(∃x∀yA(x,y) ⇒ ∀y∃xA(x,y))
Normalizacja negacji formuły do postaci klauzulowej.
1. ¬(∃x∀yA(x,y) ⇒ ∀y∃xA(x,y))
2. ¬(¬∃x∀yA(x,y) ∨ ∀y∃xA(x,y))
3. (¬¬∃x∀yA(x,y) ∧ ¬∀y∃xA(x,y))
4. (∃x∀yA(x,y) ∧ ∃y ∀x (¬ A(x,y)))
5. (∃x1∀x2 A(x1,x2) ∧ ∃x3 ∀x4 (¬ A(x4,x3)))
6. ∃x1 ∃x3 ∀x2 ∀x4 (A(x1,x2) ∧ (¬ A(x4,x3)))
7. ∀x2 ∀x4 (A(c1,x2) ∧ (¬ A(x4,c3)))
Postać klauzulowa w notacji mnogościowej:
W = {{ A(c1,x2)}, {¬ A(x4,c3)}}.