budynek poszkolny UDORPIE do BIP\374

Transkrypt

budynek poszkolny UDORPIE do BIP\374
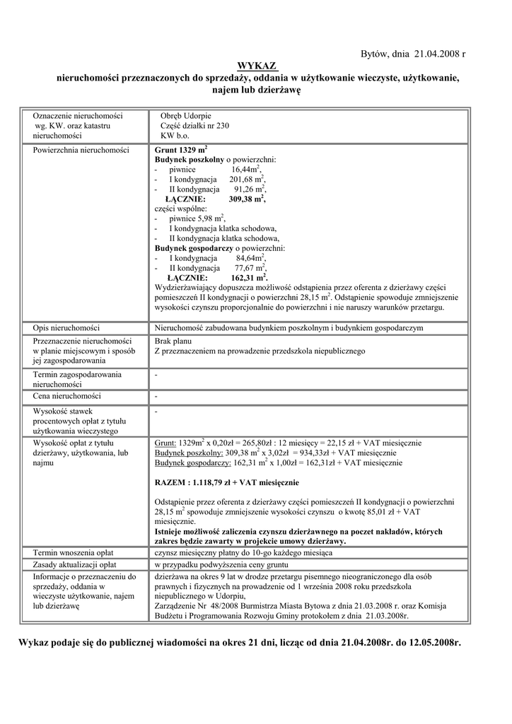
Bytów, dnia 21.04.2008 r
WYKAZ
nieruchomości przeznaczonych do sprzedaŜy, oddania w uŜytkowanie wieczyste, uŜytkowanie,
najem lub dzierŜawę
Oznaczenie nieruchomości
wg. KW. oraz katastru
nieruchomości
Powierzchnia nieruchomości
Obręb Udorpie
Część działki nr 230
KW b.o.
Grunt 1329 m2
Budynek poszkolny o powierzchni:
- piwnice
16,44m2,
- I kondygnacja
201,68 m2,
- II kondygnacja
91,26 m2,
ŁĄCZNIE:
309,38 m2,
części wspólne:
- piwnice 5,98 m2,
- I kondygnacja klatka schodowa,
- II kondygnacja klatka schodowa,
Budynek gospodarczy o powierzchni:
- I kondygnacja
84,64m2,
- II kondygnacja
77,67 m2,
ŁĄCZNIE:
162,31 m2.
WydzierŜawiający dopuszcza moŜliwość odstąpienia przez oferenta z dzierŜawy części
pomieszczeń II kondygnacji o powierzchni 28,15 m2. Odstąpienie spowoduje zmniejszenie
wysokości czynszu proporcjonalnie do powierzchni i nie naruszy warunków przetargu.
Opis nieruchomości
Nieruchomość zabudowana budynkiem poszkolnym i budynkiem gospodarczym
Przeznaczenie nieruchomości
w planie miejscowym i sposób
jej zagospodarowania
Brak planu
Z przeznaczeniem na prowadzenie przedszkola niepublicznego
Termin zagospodarowania
nieruchomości
Cena nieruchomości
-
Wysokość stawek
procentowych opłat z tytułu
uŜytkowania wieczystego
Wysokość opłat z tytułu
dzierŜawy, uŜytkowania, lub
najmu
-
Grunt: 1329m2 x 0,20zł = 265,80zł : 12 miesięcy = 22,15 zł + VAT miesięcznie
Budynek poszkolny: 309,38 m2 x 3,02zł = 934,33zł + VAT miesięcznie
Budynek gospodarczy: 162,31 m2 x 1,00zł = 162,31zł + VAT miesięcznie
RAZEM : 1.118,79 zł + VAT miesięcznie
Termin wnoszenia opłat
Zasady aktualizacji opłat
Informacje o przeznaczeniu do
sprzedaŜy, oddania w
wieczyste uŜytkowanie, najem
lub dzierŜawę
Odstąpienie przez oferenta z dzierŜawy części pomieszczeń II kondygnacji o powierzchni
28,15 m2 spowoduje zmniejszenie wysokości czynszu o kwotę 85,01 zł + VAT
miesięcznie.
Istnieje moŜliwość zaliczenia czynszu dzierŜawnego na poczet nakładów, których
zakres będzie zawarty w projekcie umowy dzierŜawy.
czynsz miesięczny płatny do 10-go kaŜdego miesiąca
w przypadku podwyŜszenia ceny gruntu
dzierŜawa na okres 9 lat w drodze przetargu pisemnego nieograniczonego dla osób
prawnych i fizycznych na prowadzenie od 1 września 2008 roku przedszkola
niepublicznego w Udorpiu,
Zarządzenie Nr 48/2008 Burmistrza Miasta Bytowa z dnia 21.03.2008 r. oraz Komisja
BudŜetu i Programowania Rozwoju Gminy protokołem z dnia 21.03.2008r.
Wykaz podaje się do publicznej wiadomości na okres 21 dni, licząc od dnia 21.04.2008r. do 12.05.2008r.