Zasady rekrutacji - Zsckr Nowosielce

Transkrypt

Zasady rekrutacji - Zsckr Nowosielce
Zasady rekrutacji
do Zespołu Szkół Centrum Kształcenia Rolniczego im. II Czechosłowackiej Brygady
Spadochronowej w Nowosielcach
w roku szkolnym 2014/2015
§1
1. ZSCKR objęty jest systemem elektronicznego naboru kandydatów
2. ZSCKR nie ustala limitu punktów pozwalających na przyjęcie do szkoły.
§2
Sposób przeprowadzania rekrutacji
1. Gimnazja objęte systemem elektronicznego naboru same rejestrują swoich uczniów.
2. W przypadku braku dostępu do systemu rejestracji, kandydat może jej dokonać w Punkcie
Naboru ZSCKR, jeżeli ZSCKR w Nowosielcach jest jego szkołą pierwszego wyboru.
3. Terminy poszczególnych etapów rekrutacji są zgodne z harmonogramem ustalonym przez
Podkarpackiego Kuratora Oświaty oraz systemu elektronicznego, który obejmuje ZSCKR.
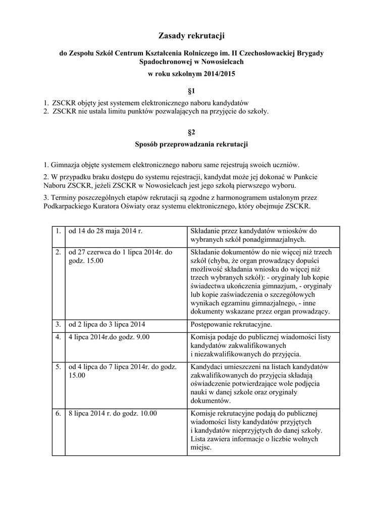
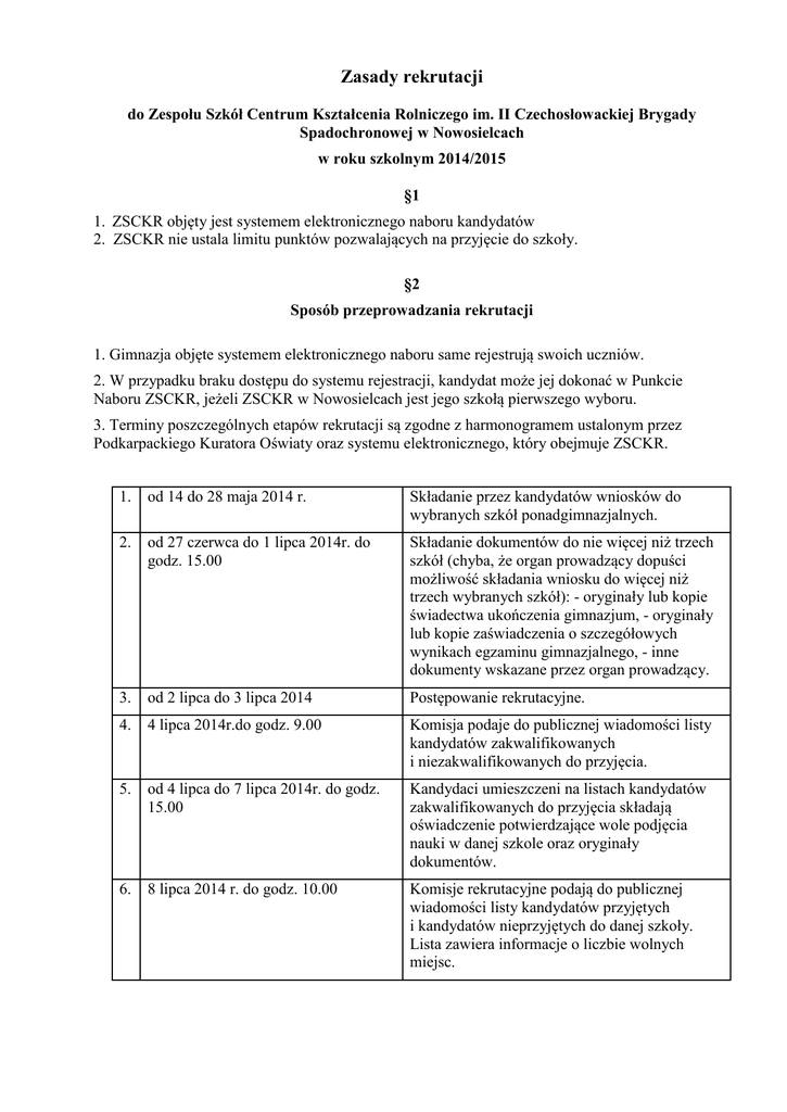
1.
od 14 do 28 maja 2014 r.
Składanie przez kandydatów wniosków do
wybranych szkół ponadgimnazjalnych.
2.
od 27 czerwca do 1 lipca 2014r. do
godz. 15.00
Składanie dokumentów do nie więcej niż trzech
szkół (chyba, że organ prowadzący dopuści
możliwość składania wniosku do więcej niż
trzech wybranych szkół): - oryginały lub kopie
świadectwa ukończenia gimnazjum, - oryginały
lub kopie zaświadczenia o szczegółowych
wynikach egzaminu gimnazjalnego, - inne
dokumenty wskazane przez organ prowadzący.
3.
od 2 lipca do 3 lipca 2014
Postępowanie rekrutacyjne.
4.
4 lipca 2014r.do godz. 9.00
Komisja podaje do publicznej wiadomości listy
kandydatów zakwalifikowanych
i niezakwalifikowanych do przyjęcia.
5.
od 4 lipca do 7 lipca 2014r. do godz.
15.00
Kandydaci umieszczeni na listach kandydatów
zakwalifikowanych do przyjęcia składają
oświadczenie potwierdzające wole podjęcia
nauki w danej szkole oraz oryginały
dokumentów.
6.
8 lipca 2014 r. do godz. 10.00
Komisje rekrutacyjne podają do publicznej
wiadomości listy kandydatów przyjętych
i kandydatów nieprzyjętych do danej szkoły.
Lista zawiera informacje o liczbie wolnych
miejsc.
§3
Kryteria przyznawania punktów.
1. Ubiegając się o przyjęcie do ZSCKR w Nowosielcach kandydat może otrzymać maksymalnie
200 punktów:
1) do 100 punktów z egzaminu gimnazjalnego,
2) do 80 punktów za oceny z czterech przedmiotów,
3) do 20 punktów za dodatkowe osiągnięcia,
4) Za ukończenie gimnazjum z wyróżnieniem - 6 punktów.
W każdym oddziale punktowane będą następujące przedmioty:
Zawód
Przedmioty
Technik agrobiznesu
język polski
matematyka biologia geografia
Technik architektury krajobrazu
język polski
matematyka biologia plastyka
Technik hodowca koni
język polski
matematyka biologia chemia
Technik mechanizacji rolnictwa
język polski
matematyka biologia fizyka
Technik rolnik
język polski
matematyka biologia chemia
Technik rybactwa śródlądowego
język polski
matematyka biologia chemia
Technik turystyki wiejskiej
język polski
matematyka biologia geografia
Technik weterynarii
język polski
matematyka biologia chemia
Technik żywienia i usług gastronomicznych
język polski
matematyka biologia chemia
Technik urządzeń i systemów energetyki
odnawialnej
język polski
matematyka biologia fizyka
Rolnik
język polski
matematyka biologia chemia
Kucharz
język polski
matematyka biologia chemia
Mechanik – operator pojazdów i maszyn
rolniczych
język polski
matematyka biologia fizyka
3. Przy obliczaniu sumy punktów za oceny z w/w przedmiotów obowiązuje następująca zasada:
- celujący
- bardzo dobry
- dobry
- dostateczny
-20 pkt,
-16 pkt,
-12 pkt,
- 8 pkt,
4. Za szczególne osiągnięcia odnotowane na świadectwie ukończenia gimnazjum kandydat może
uzyskać łącznie, co najwyżej 14 punktów, w tym za:
1) uzyskanie tytułu finalisty konkursów organizowanych przez kuratora oświaty – 5 punktów,
2) uzyskanie więcej niż jednego tytułu finalisty – 8 punktów,
3) uzyskanie wysokiego miejsca - nagrodzonego lub określonego zwycięskim tytułem
w zawodach: wiedzy, artystycznych lub sportowych, organizowanych co najmniej na szczeblu
powiatowym przez inne podmioty działające na terenie szkół – do 3 punktów,
- I miejsce (tytuł laureata) - 3 punkty,
- II miejsce (tytuł finalisty) - 2 punkty,
- III miejsce (wyróżnienie) - 1 punkt.
4) Za osiągnięcia w zakresie aktywności społecznej, w tym na rzecz środowiska szkolnego,
w szczególności w formie wolontariatu - do 3 punktów.
5) Laureaci konkursów organizowanych dla uczniów gimnazjów przez Podkarpackiego
Kuratora Oświaty przyjmowani są niezależnie od ustalonych kryteriów rekrutacji.
§4
Kryteria ex quo
1. W przypadku równorzędnych wyników uzyskanych na pierwszym etapie postępowania
rekrutacyjnego, na drugim etapie postępowania rekrutacyjnego przyjmuje się kandydatów:
a) sieroty, osoby przebywające w placówkach opiekuńczo – wychowawczych oraz osoby
umieszczone w rodzinach zastępczych,
b) kandydaci o ukierunkowanych i udokumentowanych zdolnościach, którym ustalono
indywidualny program lub tok nauki,
c) z problemami zdrowotnymi, ograniczającymi możliwości wyboru kierunku kształcenia ze
względu na stan zdrowia, potwierdzonymi opinią publicznej poradni psychologicznopedagogicznej, w tym publicznej poradni specjalistycznej,
d) z wyższą oceną z zachowania,
e) wynik sumaryczny z egzaminu gimnazjalnego.
2. W przypadku równorzędnych wyników uzyskanych na drugim etapie postępowania
rekrutacyjnego lub jeżeli po zakończeniu tego etapu dana szkoła nadal dysponuje wolnymi
miejscami, na trzecim etapie postępowania rekrutacyjnego są brane pod uwagę łącznie kryteria,
o których mowa w art.20c ust.2. ustawy o systemie oświaty:
a) wielodzietność rodziny kandydata;
b) niepełnosprawność kandydata;
c) niepełnosprawność jednego z rodziców kandydata;
d) niepełnosprawność obojga rodziców kandydata;
e) niepełnosprawność rodzeństwa kandydata;
f) samotne wychowywanie kandydata w rodzinie;
g) objęcie kandydata pieczą zastępczą;
4. Wybór oddziału.
Uczeń wskazuje preferowane przez siebie oddziały, podczas potwierdzania woli nauki (po
zakwalifikowaniu się do ZSCKR).