Rozkaz L6 - 2012 z dnia 08 czerwca 2012r.

Transkrypt

Rozkaz L6 - 2012 z dnia 08 czerwca 2012r.
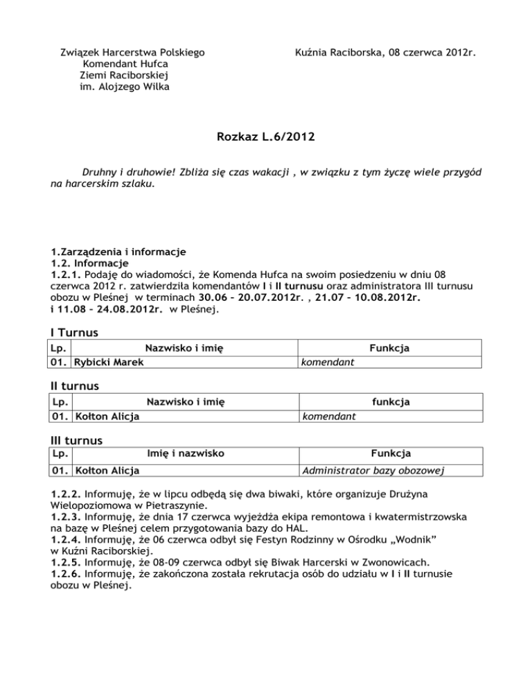
Związek Harcerstwa Polskiego
Komendant Hufca
Ziemi Raciborskiej
im. Alojzego Wilka
Kuźnia Raciborska, 08 czerwca 2012r.
Rozkaz L.6/2012
Druhny i druhowie! Zbliża się czas wakacji , w związku z tym życzę wiele przygód
na harcerskim szlaku.
1.Zarządzenia i informacje
1.2. Informacje
1.2.1. Podaję do wiadomości, że Komenda Hufca na swoim posiedzeniu w dniu 08
czerwca 2012 r. zatwierdziła komendantów I i II turnusu oraz administratora III turnusu
obozu w Pleśnej w terminach 30.06 – 20.07.2012r. , 21.07 – 10.08.2012r.
i 11.08 – 24.08.2012r. w Pleśnej.
I Turnus
Lp.
Nazwisko i imię
01. Rybicki Marek
Funkcja
komendant
II turnus
Lp.
Nazwisko i imię
01. Kołton Alicja
funkcja
komendant
III turnus
Lp.
01. Kołton Alicja
Imię i nazwisko
Funkcja
Administrator bazy obozowej
1.2.2. Informuję, że w lipcu odbędą się dwa biwaki, które organizuje Drużyna
Wielopoziomowa w Pietraszynie.
1.2.3. Informuję, że dnia 17 czerwca wyjeżdża ekipa remontowa i kwatermistrzowska
na bazę w Pleśnej celem przygotowania bazy do HAL.
1.2.4. Informuję, że 06 czerwca odbył się Festyn Rodzinny w Ośrodku „Wodnik”
w Kuźni Raciborskiej.
1.2.5. Informuję, że 08-09 czerwca odbył się Biwak Harcerski w Zwonowicach.
1.2.6. Informuję, że zakończona została rekrutacja osób do udziału w I i II turnusie
obozu w Pleśnej.
2. Hufiec
2. Powołanie i rozwiązanie sztabów, komisji, komend kursów
2.1. Powołuję z dniem 08 czerwca 2011 r. sztab HAL 2011 „Bądź Gotów Na Przygodę”
w składzie:
01. phm. Marek Rybicki
– szef sztabu
02. phm. Alicja Kolton
– członek
03. phm. Luiza Wieczorek
– członek
04. pwd. Barbara Kowal
– członek
05. dh. Joanna Wramba
– członek
12. Pochwały
12.1. Udzielam szczególnej pochwały phm. Alicji Kołton za wzorowe przygotowanie
Festynu Rodzinnego oraz biwaku harcerskiego w Zwonowicach.
12.2. Udzielam szczególnej pochwały dh. Joannie Wramba za wzorowe przygotowanie
Festynu Rodzinnego oraz biwaku harcerskiego w Zwonowicach.
12.3. Udzielam pochwały phm. Luizie Wieczorek za wzorowe przygotowanie Festynu
Rodzinnego.
12.4. Udzielam pochwały phm. Barbarze Kowal za wzorowe przygotowanie Festynu
Rodzinnego.
12.5. Udzielam pochwały pwd. Tadeuszowi Zawada za pomoc w przygotowaniu Festynu
Rodzinnego.
12.8. Udzielam pochwały dh. Kamili Grobelny za pomoc w przygotowaniu festynu
Rodzinnego.
12.9. Udzielam pochwały dh. Przemysławowi Gaj za pomoc w przygotowaniu festynu
Rodzinnego.
12.10. Udzielam pochwały dh. Krzysztofowi Paryskowi za pomoc w przygotowaniu
festynu Rodzinnego.
12.11. Udzielam pochwały dh. Monice Grobelny za pomoc w przygotowaniu festynu
Rodzinnego.
12.12. Udzielam pochwały dh. Iwonie Stęmpniak za pomoc w organizacji rajdu
harcerskiego do Zwonowic.
12.13. Udzielam pochwały dh. Dorota Michalicka za pomoc w organizacji rajdu
harcerskiego do Zwonowic.
12.14. Udzielam pochwały dh. Agata Kilar za pomoc w organizacji rajdu harcerskiego do
Zwonowic.
12.15. Udzielam pochwały dh. Piotr Kołek za pomoc w organizacji rajdu harcerskiego
do Zwonowic.
CZUWAJ!
hm. Marek Rybicki