Sposoby płatności

Transkrypt

Sposoby płatności
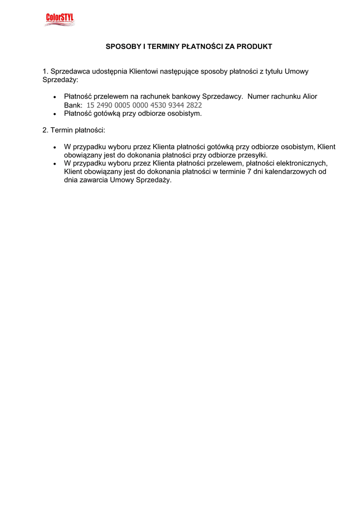
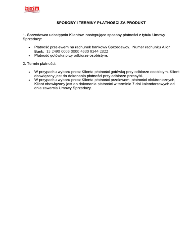
SPOSOBY I TERMINY PŁATNOŚCI ZA PRODUKT
1. Sprzedawca udostępnia Klientowi następujące sposoby płatności z tytułu Umowy
Sprzedaży:


Płatność przelewem na rachunek bankowy Sprzedawcy. Numer rachunku Alior
Bank: 15 2490 0005 0000 4530 9344 2822
Płatność gotówką przy odbiorze osobistym.
2. Termin płatności:


W przypadku wyboru przez Klienta płatności gotówką przy odbiorze osobistym, Klient
obowiązany jest do dokonania płatności przy odbiorze przesyłki.
W przypadku wyboru przez Klienta płatności przelewem, płatności elektronicznych,
Klient obowiązany jest do dokonania płatności w terminie 7 dni kalendarzowych od
dnia zawarcia Umowy Sprzedaży.